新煤网移动版

主页 > 技术资料 > 科技论文

加载速率影响下裂隙细砂岩力学特性试验研究

★ 科技与工程 ★

加载速率影响下裂隙细砂岩力学特性试验研究

于利强1,2 邓 亮2 回新冬2 曹志国1 周保精1

(1.国家能源集团煤炭开采水资源保护与利用国家重点实验室,北京市昌平区,102211;2.中国矿业大学煤炭资源与安全开采国家重点实验室,江苏省徐州市,221116)

摘 要 天然岩石含多种原生缺陷,受工程扰动影响易促使载荷速率发生变化,为确保岩体工程的稳定性,需对加载速率及裂隙影响下的岩石力学特性进行研究。以均质细砂岩试样为研究对象,试样中央预制0°~90°贯通裂隙,通过单轴压缩试验和声发射试验研究加载速率影响下的裂隙砂岩力学性质变化规律。结果表明:相同裂隙倾角下,试样的抗压强度、峰值应变以及弹性模量均与加载速率呈正相关关系;加载速率对岩石力学性质的强化效应具有区间性,低数量级时加载速率的作用程度明显高于高数量级时。砂岩试样的力学性质受控于裂隙倾角α,随着α的增加,试样峰值强度先增加后减小,并在α=15°时达到最低值。声发射计数特征能够准确反映砂岩试样的破坏过程,岩石加载过程中,声发射计数经历“剧烈-平静-剧烈”的过程,且随着加载速率的增加,加载前期尤其是峰值强度前记录到的明显声发射事件数降低。

关键词 加载速率 裂隙倾角 单轴压缩 力学性质 声发射

岩石属于典型的脆性材料[1],天然状态下含有各种宏观和微观的缺陷[2]。在工程岩体中,受天然地应力及施工扰动的影响,岩石内部或表面裂隙开始起裂、扩展直至贯通出现宏观裂纹,弱化岩石的力学性质,导致工程岩体的失稳破坏[3]。此外,工程施工、荷载、构造挤压等诱发的岩石载荷速率的变化[4-5],也对裂隙岩石的强度特征、微裂纹扩展等产生重要的影响。因此,研究加载速率影响下的预制裂隙岩石力学性质变化特征,对于全面了解岩石的力学性能,优化相关岩石力学实验参数及研究岩体工程破坏失稳机制等具有重要意义。

在岩石力学及岩石地质领域中,岩石的加载速率效应一直是研究热点之一[6],众多国内外学者对此进行了广泛研究。试验研究方面,Chong K P等[7]对细砂岩、凝灰岩和油页岩在不同应变率下进行了加载观测;Lajtai E Z[8]等研究了石灰石和盐岩强度的加载速率效应;李永盛[9]和Martin C D等[10]通过单轴压缩试验研究,发现随着加载速率的升高,岩石的抗压强度增加;王笑然[11]等研究了砂岩的加载特征,发现岩样弹性模量随加载速率的增大呈先增大后减小的趋势;Wasantha PLP[12]等对砂岩在单轴压缩下的加载速率敏感性进行了分析;周子龙[13]等研究了花岗岩在不同加载速率下的红外辐射效应。理论研究方面,戚承志[14]等对脆性岩石的应变率依赖机理进行研究,推导出脆性材料强度-应变率依赖模型;MS Alam[15]等则提出了将动态增加因子与施加的应变速率相关联的经验方程。诸多成果为岩石力学特性的加载速率效应的研究奠定了基础。

声发射是指材料在载荷作用下为释放应变能而产生并快速传播的弹性波 [16],能够实时、动态、连续地监测煤岩体内部裂纹产生和扩展过程[17],在裂缝无损检测和损伤评估中已被广泛应用[18-19]。曹安业[20]等研究了不同加载速率下砂质泥岩的损伤演化规律及其声发射参量特征,发现高加载速率下声发射撞击能量有大幅增加;Lavrov A[21]、陈勉[22]、张茹[23]等通过分析岩石在不同加载速率下的声发射演化特征,进一步研究岩石强度破坏特征及内部损伤机理;Liu Q S等[24]采用声发射震源定位技术,明确了单轴压缩条件下类岩石材料试件的裂纹萌生、扩展、聚结和贯通失效的过程。由此可见,声发射可作为反映岩石裂隙发育及损伤程度信息的有效工具之一[25]

现有国内外文献对于岩石加载速率效应的研究多是考虑加载速率对于完整标准煤岩体试样力学性质的影响,而对于裂隙岩石却鲜有研究。笔者以岩体工程中常见的细砂岩为研究对象,以15°倾角为角度梯度,在砂岩试样中央预制0°~90°范围的贯通裂隙。利用WDW-300型微控电子万能试验机及PCI-II型声发射监测仪对岩样进行不同加载速率条件下的单轴压缩及声发射试验,分析和探讨加载速率和裂隙倾角影响下的砂岩试样的力学性质变化及其声发射演化特征。

1 试验方案

1.1 试验材料和试样制备

试验材料采用岩体工程中常见的细砂岩,原岩样品根据国际岩石力学学会试验规范[26]和《岩石物理力学性质试验规程》DZ/T0276.25-2015[27]的要求,加工成120余块50 mm×50 mm×100 mm的标准长方体试样,试样中央预制1条贯通裂隙,结构面之间无填充。参考RHC Wong[28]及鲁祖德[3]等裂隙制作方法,单预制裂隙的几何形状由3个参数定义:裂隙长度2a、裂隙倾角α和裂隙宽度d,如图1所示。

图1 裂隙试样参数

在本研究中,裂隙长度、裂隙宽度均保持不变:2a=10 mm,d=1 mm。裂隙倾角以15°为增加梯度,在0°~90°范围内α分别取0°、15°、30°、45°、60°、75°、90°。完整岩样用C表示。

1.2 试验材料和试样制备

根据岩石物理力学性质试验规程DZ/T 0276.2-2015[27]的要求,首先进行烘干。采用鼓风干燥箱(上海仪器厂,101-2型)对岩样进行干燥,干燥温度设置为105℃,烘干12 h,试样内部的游离水被蒸发,而结合水不受影响,确保在促使所有试样含水率相同的前提下最大程度地降低干燥过程对试样内部结构的损伤。加载系统采用微控电子万能试验机(长春科新试验仪器有限公司,WDW-300 型)对岩样进行单轴压缩试验,位移加载速率分别设置为0.01 mm/s、0.05 mm/s、0.10 mm/s、0.50 mm/s、1.00 mm/s。岩样压缩过程中,采用声发射监测系统(美国声学物理公司PAC,PCI-II型)对其声发射信号进行监测,为不影响观察试样破坏过程,声发射探头布置在试样的左右两个表面,测试系统如图2所示。

图2 岩石力学及声发射试验系统

2 裂隙砂岩的加载速率效应

2.1 加载速率影响下的裂隙砂岩应力-应变曲线

不同加载速率影响下的裂隙岩石试样的应力-应变曲线如图3所示。其中,图3(a)~(c)反映了相同裂隙倾角下,加载速率对裂隙岩样(α=30°,90°)和完整岩样的影响,图3(d)则反映了相同加载速率下(v=0.05 mm/s),裂隙倾角对试样应力-应变曲线的影响。

由图3可知,试样的应力-应变曲线均经历了压密、弹性、屈服以及峰后破坏4个阶段,符合经典岩石力学应力-应变曲线特征。裂隙压密阶段,在轴向荷载作用下,试样内部原有孔隙被压密,加载前期随着时间增加,试样应变增长,但应力无明显变化,曲线呈近似水平的波动形式。根据试验观察,本阶段被压密的仅为试样内部的微孔隙,而预制的贯通裂隙并未压密闭合。随着应力增加,试样进入弹性变形阶段。该阶段内,应力随应变增加稳定增长,曲线呈现符合广义胡克定律的直线型增长;随着应力进一步增加,试样压缩过程转入屈服阶段,应力增加速度降低,曲线呈现“上凸”的形式,试样的变形由弹性变形逐渐转换为弹塑性混合变形[29]。同时,试样内部开始积聚弹性能,当其能量及塑性变形量超过试样的极限值,微裂纹贯通整个试样,表面出现宏观裂纹,试样的应力骤降,发生整体的失稳破坏。此时,应力-应变曲线进入峰后破坏阶段。

由图3可知,不同加载速率影响下的裂隙岩样应力-应变曲线,在峰前阶段均呈现近似线性;而经历峰值后,则呈现出骤降特征,试件短时间内丧失承载力,释放大量能量,具有典型的脆性破坏特征。根据试验现场观察,加载速率为0.01 mm/s时,试样表面并没有形成显著的裂纹,破坏以试样内部损伤为主;随着加载速率的增加,尤其是当加载速率为0.10~0.50 mm/s时,试样表明尤其是预制裂隙尖端开始形成宏观裂纹,逐渐贯通试样上下边界,最终导致破坏;当加载速率增加到1.00 mm/s时,试样表面宏观裂纹的出现、扩展以及贯通过程极为迅速。此外,由于加载速率较大,试样积累能量过高,试样整体的失稳破坏发生在一瞬间,往往不能保持其原有形状及完整性,并伴随着较大的爆裂声。不同加载速率下试样的破裂特征如图4所示。

图3 不同加载速率及裂隙倾角下的试样应力-应变曲线

图4 不同加载速率下试样的破裂特征

2.2 加载速率影响下的裂隙砂岩强度特征

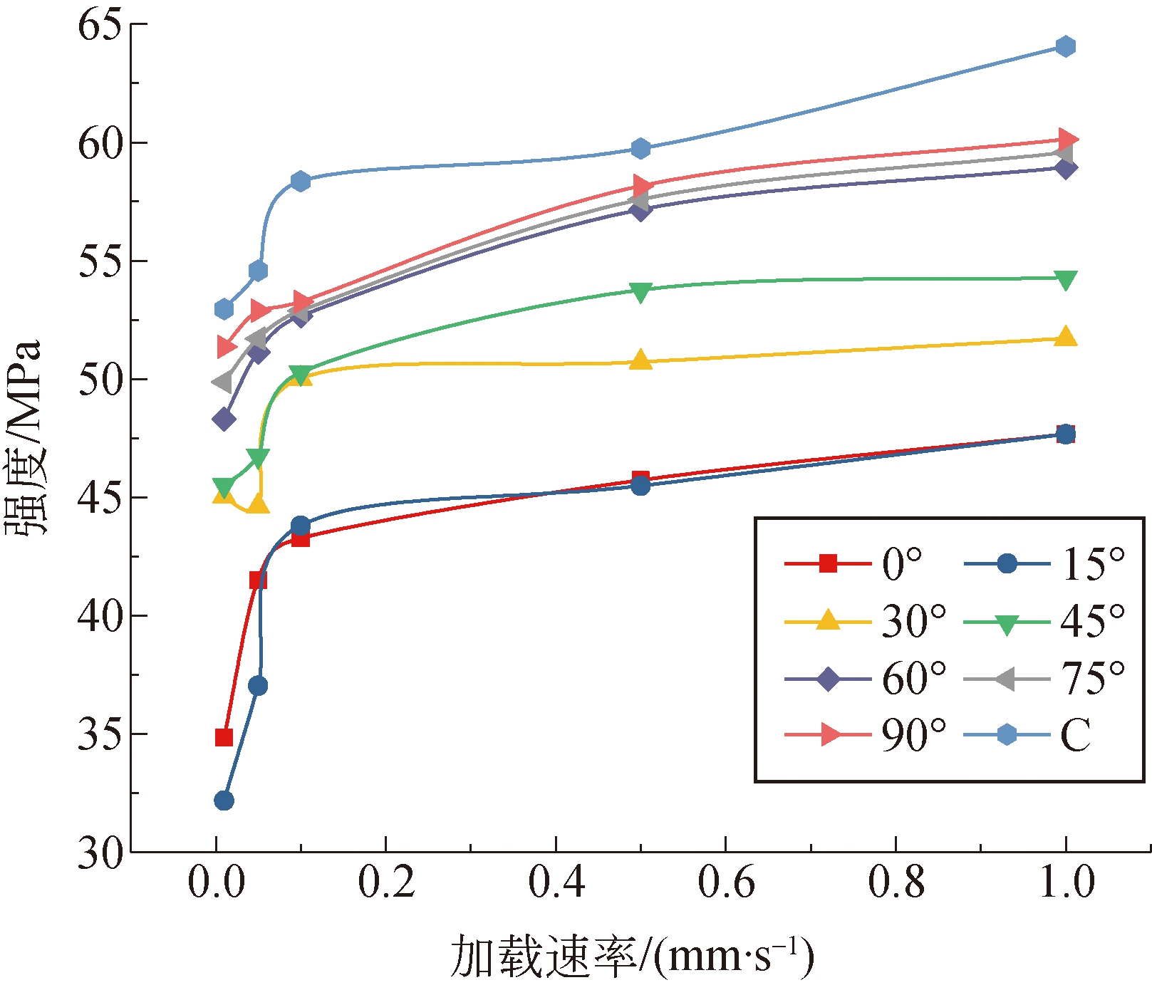
不同裂隙倾角的砂岩试样峰值强度与加载速率的关系曲线如图5所示。由图5可知,不同裂隙倾角砂岩试样的峰值强度在加载速率影响下,均表现出相似的加载速率强化效应。随着加载速率的增加,试样的峰值强度逐渐增大。值得注意的是,峰值强度的变化并非线性,随着加载速率的增加,砂岩试样峰值强度的强化效应逐渐降低。以45°裂隙倾角砂岩试样为例,加载速率由0.05 mm/s增至1.00 mm/s的过程中,试样峰值强度分别为45.51 MPa、46.76 MPa、50.27 MPa、53.76 MPa、54.29 MPa,强度分别增加1.25 MPa、3.51 MPa、3.49 MPa、0.53 MPa,增幅分别为2.75%、7.51%、6.94%、0.98%,强化效应主要体现在0.05~0.10 mm/s范围内,总体呈减弱趋势。

图5 加载速率与抗压强度关系曲线

不同加载速率下的砂岩试样峰值强度与裂隙倾角的关系曲线如图6所示。预制裂隙能够显著降低砂岩试样的强度,而裂隙倾角则是影响试样力学性质的主要因素之一。由图6可知,在0°~90°范围内,随着裂隙倾角α的增大,峰值强度呈现出先减弱后增加的趋势,并在α=15°时出现最低值,这与众多学者之前的研究结果相吻合[34]

本次试验所有试样的峰值强度如表2所示。由表2可知,完整岩样在0.01~1.00 mm/s范围内,峰值强度分别为52.96 MPa、54.58 MPa、58.36 MPa、59.74 MPa、64.06 MPa。以0.01 mm/s加载速率条件为例,随着α增大,裂隙砂岩试样峰值强度逐渐趋于完整试样,尤其是α=75°和α=90°,峰值强度分别为49.88 MPa、51.36 MPa,相对于完整试样,强度仅降低5.82%和3.01%。由此可见,α越大,对试样力学性质的弱化程度越小,当α=90°时,最接近完整试样。

图6 裂隙倾角与抗压强度关系曲线

2 不同加载速率和裂隙倾角砂岩试样的峰值强度 MPa

0°15°30°45°60°75°90°C0.01 mm/s34.8532.1945.0545.5148.3149.8851.3652.960.05 mm/s41.5137.0444.6346.7651.1451.7152.8954.580.10 mm/s43.2743.8050.0250.2752.6752.8953.2658.360.50 mm/s45.7345.4950.7253.7657.1557.5858.1559.741.00 mm/s47.6647.6751.7154.2958.9459.5760.1364.06

2.3 加载速率影响下的裂隙砂岩峰值应变及弹性模量特征

不同裂隙倾角砂岩试样峰值应变与加载速率的关系曲线如图7所示。由图7可知,峰值应变与加载速率呈正相关性,即随着加载速率的增加,试样达到峰值强度时所发生的应变量增大。加载速率由0.01 mm/s增至0.10 mm/s时,曲线处于激增阶段,0°~90°裂隙倾角砂岩试样峰值应变分别增长0.181%、0.255%、0.114%、0.205%、0.285%,增幅分别为7.76%、9.86%、4.38%、4.22%、7.51%、10.37%。而当加载速率大于0.10 mm/s时,曲线斜率降低,试样峰值应变增长速度变缓,且与加载速率呈近似线性正相关关系,进一步说明了加载速率的区间性。综合对比前人研究成果,本节与吴明静等[31]得出的结论十分吻合,而与罗可等[32]的试验结果存在差异。笔者推测,这主要是由于本次试验所采取的位移加载的加载方式与罗可等采取的应力加载的加载方式的不同造成的。此外,加载速率效应的区间性明显,但由于本次试验加载速率仅设置为0.01 mm/s、0.05 mm/s、0.10 mm/s、0.50 mm/s、1.00 mm/s这5个水平,为更全面、准确地获取加载速率效应区间性的特征,日后应增加加载速率变量范围来进行深入探讨。

图7 加载速率与峰值应变关系曲线

不同裂隙倾角砂岩试样峰值应变与裂隙倾角的关系曲线如图8所示。

图8 裂隙倾角与峰值应变关系曲线

根据本次试验数据,完整试样C(未在图中显示)在不同加载速率下的峰值应变量分别为3.298%、3.018%、3.166%、3.355%、3.205%,普遍大于含预制裂隙的试样,由此可见,峰值应变量显著受控于裂隙倾角α。据图8可知,随着裂隙倾角α的增加,试样峰值应变量具有一定的离散性,但总体趋势为随α的增加而增大。相同加载速率下,α=75°和α=90°时,峰值应变最接近于完整试样。

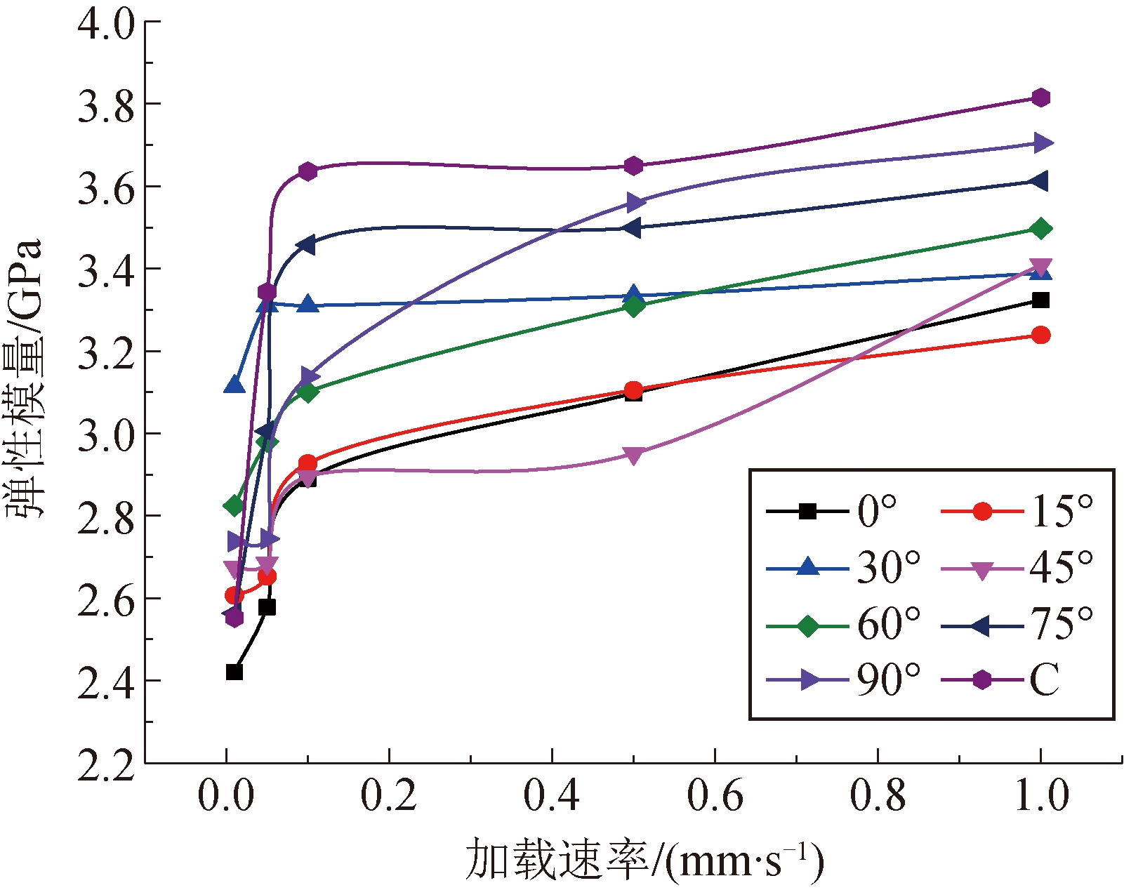
不同裂隙倾角砂岩试样弹性模量与加载速率的关系曲线如图9所示。

由图9可以看出,裂隙砂岩试样的弹性模量与加载速率的变化规律较为一致,均受到强化作用,其变化规律亦呈现出低加载速率阶段变化大、高加载速率阶段变化小的趋势。完整试样C的弹性模量曲线位于其他曲线上方,这说明预制裂隙同样对试样的弹性模量产生影响。同时,α=45°和α=90°试样变化规律呈现出差异性,这可能与岩样自身的均质性以及试验误差有关。

不同裂隙倾角砂岩试样弹性模量与裂隙倾角的散点关系如图10所示。

图9 加载速率与弹性模量关系曲线

图10 裂隙倾角与弹性模量关系曲线

由图10中散点分布规律可知,试样的弹性模量与裂隙倾角呈正相关关系,且根据图中所绘拟合曲线,弹性模量的增长规律呈近似线性。加载速率0.01~1.00 mm/s范围内,拟合曲线斜率分别为0.00137、0.00208、0.00380、0.00512、0.00477,试样弹性模量增加速度先增长后降低,并于0.50 mm/s时达到最高值。

3 加载速率影响下裂隙砂岩损伤演化及声发射特征

试验过程中,砂岩试样受到载荷作用发生损伤破坏,但岩石的破坏很难实时观测。因此,声发射技术就成为研究岩石破坏过程的重要监测手段。通过研究声发射的参数特征,如声发射计数、累计计数演化规律,可以进一步了解岩石的破坏过程。

裂隙砂岩试样(α=0°,v=0.05 mm/s)和完整砂岩试样在压缩过程中的应力-声发射计数-应变曲线如图11所示。裂隙砂岩试样(α=0°,v=0.05 mm/s)的表面裂纹变化情况如图12所示。

由图11(a)可知,裂隙砂岩试样加载过程中,声发射计数主要经历“剧烈-稳定-剧烈”的变化过程,据此可将岩石的破坏过程分为压密、弹性变形、屈服、破坏4个阶段。砂岩试样加载前的状态如图12(a)所示,随着加载时间的增加,声发射计数的第1个“剧烈期”出现,这主要是由于砂岩试样内部缺陷及预制裂隙被压密,释放少量能量。值得注意的是,该阶段裂隙的压密主要针对于试样内部的微裂隙,而试样表面中央的预制裂隙并未被完全压密,如图12(b)所示。随后声发射计数进入“平静期”,由于试样进行弹性变形,内部基本无破坏发生,表面无裂纹出现,因此声发射事件较少甚至没有。当应力加载到36.74 MPa(图11(a)中B点),第2个声发射计数“剧烈期”出现,砂岩试样由弹性变形转为塑性破坏,表面出现微裂纹,如图12(c)所示。声发射计数事件频繁出现,但计数值较低。随着加载时间延长,试样表面裂纹扩展,如图12(d)所示。当应力逐渐达到试样峰值强度,声发射计数值突然增高,达到高峰值,伴随较大的爆裂声,试样发生整体失稳破坏,改变其原有形态,如图12(e)所示。

综合图11(a)和图11(b)可知,完整岩样在应力达到峰值强度并发生整体失稳破坏前,未发现有明显的声发射事件;而裂隙岩样在峰值强度之前即可观测到大量的声发射计数事件。这意味着相对于完整岩样,裂隙岩样在峰值强度前内部损伤程度更高,这也是岩石力学性质受控于预制裂隙的原因。

图11 试样应力-应变-声发射计数曲线

图12 试样裂隙发育图

裂隙砂岩试样(以α=30°为例)在不同加载速率下(0.01~1.00 mm/s)的声发射(AE)计数及声发射累计计数的分布特征如图13所示。

从图13(a)~(e)可以看出,不同加载速率导致声发射计数与应变/时间的曲线存在明显差异。加载速率为0.01~0.05 mm/s时,试验能够记录到试样在峰值强度之前较多的声发射计数事件,随着加载速率的增加,尤其是当加载速率为1.00 mm/s时,如图13(e)所示,试验记录到的声发射事件数降低,甚至峰值强度之前基本无明显的声发射事件。结合前人研究成果,笔者认为这应归因于载荷作用下试样的裂隙扩展与颗粒重新排列导致的体积变形,而裂隙的形成和颗粒重新排列需要时间的积累。低加载速率下,试样内部缺陷以及预制裂隙有足够的时间来进行缓慢地扩展,试样内部较大和较小的裂隙都会发生错动和扩展,发育得较为充分,损伤量较大,因此记录到的声发射事件较多;而高加载速率下,裂隙的发育与颗粒重排列时间减少,试样内部缺陷及预制裂隙来不及进行充分发育,只有较大的裂缝才会发生错动和扩展,损伤量降低,因此接收到的声发射信号较少[22,33]。这也进一步体现在不同加载速率下裂隙砂岩试样声发射累计计数的分布特征上:相同时刻下,尤其是加载前期,低加载速率试样的声发射累计计数往往高于高加载速率试样,如图13(f)所示。

图13 不同加载速率下裂隙试样(α=30°)应力-声发射计数-应变曲线

4 结论

以预制裂隙细砂岩试样为研究对象,通过单轴压缩和声发射试验,研究了加载速率和裂隙倾角影响下的砂岩试样力学性质变化规律及声发射演化特征。

(1)砂岩试样具有显著的加载速率效应。相同裂隙倾角条件下,试样的抗压强度、峰值位移以及弹性模量与加载速率均呈正相关关系。

(2)加载速率对岩石力学性质的强化效应具有明显的区间性,抗压强度、峰值位移以及弹性模量在加载速率为0.01~0.10 mm/s时的增长速度明显大于加载速率为0.10~1.00 mm/s时。

(3)砂岩试样的力学性质受控于裂隙倾角α。裂隙岩样的强度明显小于完整岩样。相同加载速率条件下,随着α的增加,试样峰值强度先增加后减小,并在α=15°时达到最低值。弹性模量和峰值应变分别与α呈近线性正相关和非线性正相关关系。

(4)声发射计数特征能够准确反应砂岩试样的破坏过程。岩石加载过程中,声发射计数经历“剧烈-平静-剧烈”过程,且随着加载速率的增加,加载前期尤其是峰值强度前记录到的明显声发射事件数降低。

参考文献:

[1] Mouthereau F, Fillon C, Ma K F. Distribution of strain rates in the Taiwan orogenic wedge[J]. Earth and Planetary Science Letters, 2009, 284(3-4):0-385.

[2] Lajtai E Z, Duncan E J S, Carter B J. The effect of strain rate on rock strength[J]. Rock Mechanics and Rock Engineering, 1991, 24(2):99-109.

[3] 鲁祖德. 裂隙岩石水-岩作用力学特性试验研究与理论分析[D]. 武汉:中国科学院研究生院(武汉岩土力学研究所), 2010.

[4] 黄达, 黄润秋, 张永兴. 粗晶大理岩单轴压缩力学特性的静态加载速率效应及能量机制试验研究[J].岩石力学与工程学报,2012,31(2):245-255.

[5] Qi C, Wang M, Qian Q. Strain-rate effects on the strength and fragmentation size of rocks[J]. International Journal of Impact Engineering, 2009, 36(12):1355-1364.

[6] 黄靥欢, 刘春, 张晓宇, 等. 加载速率对岩石单轴压缩试验影响的数值模拟研究[J]. 高校地质学报, 2019, 25(3):423-430.

[7] Chong K P, Boresi A P. Strain rate dependent mechanical properties of new albany reference shale[J]. International Journal of Rock Mechanics & Mining Science & Geomechanics Abstracts, 1990, 27(3):199-205.

[8] Lajtai E Z, Duncan E J S, Carter B J. The effect of strain rate on rock strength[J]. Rock Mechanics and Rock Engineering, 1991, 24(2):99-109.

[9] 李永盛. 加载速率对红砂岩力学效应的试验研究[J]. 同济大学学报(自然科学版), 1995, 23(3):265-269.

[10] Martin C D. The strength of massive Lac du Bonner granite around underground openings[D]. Manitoba, Canada: Department of Civil and Geological Engineering, University of Manitoba,1994.

[11] 王笑然, 王恩元, 刘晓斐,等. 含雁行裂纹砂岩静态加载速率效应实验研究[J]. 煤炭学报, 2017, 43(10):96-105.

[12] Wasantha PLP, Ranjith P G, Zhao J, et al. Strain Rate Effect on the Mechanical Behaviour of Sandstones with Different Grain Sizes[J]. Rock Mechanics and Rock Engineering, 2015, 48(5):1883-1895.

[13] 周子龙, 常银, 蔡鑫. 不同加载速率下岩石红外辐射效应的试验研究[J]. 中南大学学报(自然科学版), 2019, 50(5):1127-1134.

[14] 戚承志,钱七虎. 岩石等脆性材料动力强度依赖应变率的物理机制[J].岩石力学与工程学报,2003,22(2):177-181.

[15] Alam M S, Chakraborty T, Matsagar V, et al. Characterization of kota sandstone under different strain rates in uniaxial loading[J]. Geotechnical and Geological Engineering, 2015, 33(1):143-152.

[16] 陈宇龙,张玉.加载速率对不同岩性岩石Kaiser效应影响[J].煤炭学报,2018,43(4):959-966.

[17] 赵兴东, 李元辉, 袁瑞甫, 等. 基于声发射定位的岩石裂纹动态演化过程研究[J]. 岩石力学与工程学报, 2007, (5):944-950.

[18] Ohno K, Ohtsu M. Crack classification in concrete based on acoustic emission[J]. Construction & Building Materials, 2010, 24(12):2339-2346.

[19] Aggelis D G. Classification of cracking mode in concrete by acoustic emission parameters[J]. Mechanics Research Communications, 2011, 38(3):153-157.

[20] 曹安业, 井广成, 窦林名, 等.不同加载速率下岩样损伤演化的声发射特征研究[J].采矿与安全工程学报,2015,32(6):923-928,935.

[21] Lavrov A . Kaiser effect observation in brittle rock cyclically loaded with different loading rates[J]. Mechanics of Materials, 2001, 33(11):669-677.

[22] 陈勉, 张艳, 金衍,等. 加载速率对不同岩性岩石Kaiser效应影响的试验研究[J]. 岩石力学与工程学报, 2009, 28(S1):2599-2599.

[23] 张茹, 谢和平, 刘建锋, 等. 单轴多级加载岩石破坏声发射特性试验研究[J]. 岩石力学与工程学报, 2006, 25(12) :2584-2588.

[24] Liu Q S, Jie X, Liu X W, Jiang J D, et al. The role of flaws on crack growth in rock-like material assessed by AE technique[J]. International Journal of Fracture, 2015, 193(2):99-115.

[25] Shkuratnik V L, Filimonov Y L, Kuchurin S V. Regularities of acoustic emission in coal samples under triaxial compression[J]. Journal of Mining Science, 2005, 41(1): 44-52.

[26] Muralha, Jose, Grasselli G, Tatone B, et al. ISRM Suggested Method for Laboratory Determination of the Shear Strength of Rock Joints: Revised Version[J]. Rock Mechanics and Rock Engineering, 2014, 47(1):291-302.

[27] 中华人民共和国国土资源部. DZ/T0276.25-2015岩石物理力学性质试验规程[S].北京:中国标准出版社,2015.

[28] Wong, R. H C, Chau, et al. Analysis of crack coalescence in rock-like materials containing three flaws-part I: experimental approach[J]. International Journal of Rock Mechanics & Mining Sciences, 2001, 38(7):909-924.

[29] 蒲诚, 陈蕴生, 周冲, 等. 岩石室内单轴压缩试验位移加载速率的研究[J]. 水利与建筑工程学报, 2018, 16(03):161-164.

[30] Yang S Q , Huang Y H , Tian W L, et al. Effect of High Temperature on Deformation Failure Behavior of Granite Specimen Containing a Single Fissure Under Uniaxial Compression[J]. Rock Mechanics and Rock Engineering, 2019, 52:2087-2107.

[31] 吴明静,平琦,张号.高温状态下加载速率对砂岩动态力学特性影响的实验研究[J].科学技术与工程,2018,18(24):281-287.

[32] 罗可, 招国栋, 曾佳君, 等. 加载速率影响的含裂隙类岩石材料破断试验与数值模拟[J]. 岩石力学与工程学报, 2018, 37(8):62-71.

[33] Pincus H J, Yamamuro J A, Lade P V. Effects of Strain Rate on Instability of Granular Soils[J]. Geotechnical Testing Journal, 1993, 16(3):10.

Experimental study on mechanical properties of fractured fine sandstone under the influence of loading rate

Yu Liqiang1,2, Deng Liang2, Hui Xindong2, Cao Zhiguo1, Zhou Baojing1

(1. State Key Laboratory of Water Resource Protection and Utilization in Coal Mining, China Energy Investment Corporation, Changping, Beijing 102211, China;2. State Key Laboratory of Coal Resources and Safe Mining, China University of Mining and Technology, Xuzhou, Jiangsu 221116, China)

Abstract Natural rock contains many kinds of primary defects, which can easily change the loading rate under the influence of engineering disturbance. In order to ensure the stability of rock engineering, it is necessary to study the mechanical properties of rock under the influence of loading rate and fractures. In this paper, homogeneous fine sandstone sample with prefabricated through fractures of 0°~90° dip angle in the center were taken as the research object, the uniaxial compression test and acoustic emission test were used to study the mechanical properties of fractured sandstone under the influence of loading rate. The results showed that the compressive strength, peak strain and elastic modulus were positively correlated with the loading rate at the same fracture dip angle. The strengthening effect of the loading rate on the mechanical properties of rock was divisional, and the loading rate at low order of magnitude was obviously higher than that at high order of magnitude. The mechanical properties of sandstone sample was controlled by fracture dip angle α, with the increase of α, the peak strength of the samples firstly increased and then decreased, and reached the minimum value when the α was 15°. Acoustic emission counting characteristics could accurately reflect the failure process of sandstone samples. During rock loading, acoustic emission counting experienced a process of "fierce-calm-fierce", and with the increase of loading rate, the number of acoustic emission significant events recorded at the earlier stage of loading process decreased, especially before the time of peak intensity.

Key words loading rate, fracture dip angle, uniaxial compression, mechanical property, acoustic emission

中图分类号 TD313

文献标识码 A

基金项目:煤炭开采水资源保护与利用国家重点实验室开放基金(SHGF-16-18),国家自然科学基金项目(51874283)

移动扫码阅读

引用格式:于利强,邓亮,回新冬,等. 加载速率影响下裂隙细砂岩力学特性试验研究[J]. 中国煤炭,2020,46(7):103-112.

Yu Liqiang, Deng Liang, Hui Xindong, et al. Experimental study on mechanical properties of fractured fine sandstone under the influence of loading rate[J]. China Coal,2020,46(7):103-112.

作者简介:于利强(1996-),男,内蒙古赤峰人,博士研究生,主要从事岩石力学方面研究工作。E-mail: yuliqiangcumt@163.com。

(责任编辑 郭东芝)

(责任编辑:admin)