新煤网移动版

主页 > 技术资料 > 科技论文

水平裂缝对坚硬顶板失稳破断的影响规律研究

★ 科技与工程 ★

水平裂缝对坚硬顶板失稳破断的影响规律研究

王海洋1 周宴民1 孙 凯2 夏彬伟3 李寿龙4 刘成武5

(1.重庆交通大学土木工程学院,重庆市南岸区,400074;2.山东省煤炭泰山疗养院,山东省泰安市,271000;3.重庆大学煤矿灾害动力学与控制国家重点实验室,重庆市沙坪坝区,400030;4.安徽省职业病防治院职业卫生技术服务中心,安徽省合肥市,230022;5.陕西煤业化工集团孙家岔龙华矿业有限公司,陕西省榆林市,719314)

摘 要为了研究水力压裂形成水平裂缝后坚硬顶板的失稳破断规律,基于材料力学和关键层相关理论,结合数值模拟,对含水平裂缝坚硬顶板的变形破坏特征和失稳破断机制进行了研究。结果表明:当坚硬顶板存在水平贯穿裂缝时,无论上位与下位岩层是否发生同步运动,坚硬顶板的破断步距均小于其初始极限跨距。存在水平贯穿裂缝的坚硬顶板及其上覆岩层,会形成拉压复合破坏区,更易于发生失稳破坏。坚硬顶板块体咬合点区域的拉压复合破坏作用是造成块体局部失稳、回转加剧和整体破断的主要原因。

关键词 水力压裂 坚硬顶板 水平贯穿裂缝 破断步距 裂缝面

采场上覆坚硬顶板的破断规律及控制问题一直是采矿安全领域的研究热点[1]。坚硬顶板一般具有强度高、厚度大、整体性好等特点,难以随工作面回采而自然、及时垮落,容易形成悬空顶板[2],使工作面的支护和顶板管理压力倍增,同时悬空顶板一旦突然垮落,将会造成工作面压架事故,诱发冲击气流[3]、冲击地压[4]、煤与瓦斯突出等灾害,对工作面的安全生产构成严重威胁。

我国约1/3的煤层上覆存在坚硬顶板,如晋城、枣庄、大同等矿区均存在坚硬顶板问题[5],随着矿井开采强度和深度的增大,由坚硬顶板带来的安全问题也与日俱增。目前在煤矿应用较多的坚硬顶板控制方法主要有水力致裂弱化技术[6]和爆破强制放顶技术[7],前者主要利用高压水对岩体的压裂和软化作用,使坚硬顶板产生单层或多层裂缝,从而达到弱化坚硬顶板、缩短来压步距的目的;而后者则是利用炸药爆炸后产生的爆炸应力波的动力作用及爆生气体的膨胀作用,使坚硬顶板出现大的裂缝或直接发生断裂。

在坚硬顶板的破断机理及规律方面,钱鸣高等[8]研究了不同支承条件下基本顶岩层的初次破断形式;于斌等[9]研究了厚层坚硬顶板的临界失稳条件、失稳方式、影响失稳的因素以及失稳的机理;刘长友等[10]对多采空区破断顶板群结构的失稳规律及其对工作面来压的影响进行了研究;秦广鹏等[11]基于薄板理论对工作面上覆双层硬厚岩层的破断规律进行了分析;史红等[12]提出了综放采场上覆厚层坚硬岩层的运动和破坏规律的力学判断准则;王金安等[13]研究了房柱式和条带式采矿工程中,坚硬顶板在不同阶段的破断模式与突变失稳的力学过程。

水力压裂作为一种安全高效的技术手段,已在煤矿、石油工程领域得到广泛应用[14],对岩石进行水力压裂,可在岩石中形成水压裂缝和次生裂纹,进而破坏其完整性,降低其整体强度。将水力压裂技术应用于坚硬顶板的弱化和控制,可有效减小坚硬顶板的破断步距,缓解由坚硬顶板导致的强矿压显现。

基于水力压裂技术的优越性,结合大同矿区坚硬顶板的赋存特征,以塔山煤矿二盘区上覆坚硬顶板岩层为研究对象,就水力压裂形成水平贯穿裂缝后对坚硬顶板失稳破断的影响规律进行了研究。

1 工程背景

1.1 塔山煤矿开采现状

塔山煤矿的主采煤层为石炭系太原组3-5#煤层,属特厚煤层,平均可采厚度11.48 m,采用综采放顶煤一次采全高采煤方法。该煤层埋深400~600 m,上覆存在多层结构完整的坚硬顶板岩层,强度高达70~113 MPa,基本为砂质岩层,主要包括砂砾岩、砂岩、粉砂岩、砂质泥岩等。该煤层的直接顶厚度为2~8 m,基本顶厚度平均为20 m,岩性基本为粗粒砂岩以及砂砾岩。

1.2 坚硬顶板破坏特征及矿压显现规律

塔山煤矿的坚硬顶板是国内外最具代表性的厚层坚硬难冒顶板,坚硬顶板的破坏特征及矿压显现规律呈现以下特点:

(1)基本顶初次来压和周期来压十分强烈;

(2)基本顶自稳能力强,来压步距大,极限采空悬顶面积大;

(3)坚硬顶板冒落岩石块度大、冒落高度大;

(4)在基本顶初次来压和周期来压阶段,坚硬顶板下沉量和支架载荷会迅速增加。

2 水平裂缝对坚硬顶板破断的影响机制

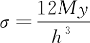
当采煤工作面的基本顶为难垮落坚硬顶板时,基本顶的初次来压可以简化为两端固支梁模型,坚硬顶板任意点处的正应力为:

(1)

式中:σ——坚硬顶板的正应力,MPa;

M——该点所在断面的弯矩,kN·m;

y——该点离断面中性轴的距离,m;

h——基本顶高度,m。

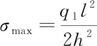
最大弯矩发生在梁的两端:

(2)

式中:Mmax——梁的最大弯矩,MPa;

q1——坚硬顶板所承受的单位面积垂向载荷(包括自重),MPa;

l——基本顶长度,m。

该处的最大拉应力为:

(3)

式中:σmax——梁所受拉应力的最大值,MPa。

当拉应力达到岩石抗拉强度极限时,岩层将在该处发生拉伸破坏,进而得出坚硬顶板的极限跨距为:

(4)

式中:lmax——梁所受拉应力的最大值,MPa;

RT——岩石的抗拉强度极限,MPa。

2.1 水平贯穿裂缝对坚硬顶板运动特征的影响

当坚硬顶板所处应力环境中水平应力大于垂直应力,则水力压裂后会形成水平裂缝,认为形成的裂缝为水平贯穿型裂缝,如图1所示,其高度为h1(0<h1<h)。因要讨论预制裂缝后上位、下位岩层是否发生同步运动,所以该部分的分析认为顶板发生运动前水压裂缝已闭合。

图1 坚硬顶板中的水平贯穿裂缝

采用基本顶岩层梁所承受载荷法,分析预制裂缝后坚硬顶板上位、下位岩层的运动特征。下位岩层独立运动所承受的载荷为:

(q1)1=γh1

(5)

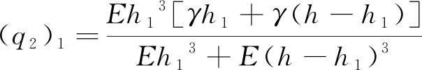
上位岩层与下位岩层同步运动时所承受的载荷为:

(6)

式中:E——坚硬顶板的弹性模量,MPa;

γ——坚硬顶板的容重,kN/m3

当(q2)1<(q1)1,下位岩层将独立于上位岩层运动,上位与下位岩层将产生离层,此时0<h1<h/2;当(q2)1≥(q1)1,下位岩层、上位岩层将同步运动,两岩层在某一层发生断裂前不会产生离层,此时h/2≤h1<h

2.2 产生水平贯穿裂缝后的初次破断步距

2.2.1 上位与下位岩层发生离层

上位与下位岩层发生离层运动时,下位岩层不受上覆岩层载荷作用,垂直方向只受岩层自重作用,得出下位岩层的极限跨距为:

(7)

上位岩层的极限跨距为:

(8)

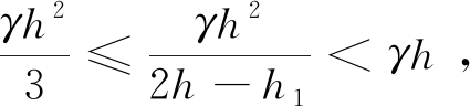
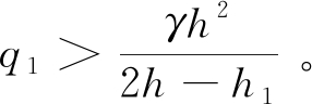
可得故当q1<2时,l11<lmax,此时下位岩层的破断步距小于坚硬顶板的初始极限跨距。

可得q1>γh,故l12总是小于lmax,即上位岩层的破断步距总是小于坚硬顶板的初始极限跨距。

2.2.2 上位与下位岩层同步运动

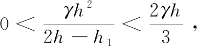
当下位岩层与上位岩层同步运动时,下位岩层的极限跨距为:

(9)

可知,l21<lmax,故下位岩层的破断步距总是小于坚硬顶板的初始极限跨距。

上位岩层的失稳破断要滞后于下位岩层,故上位岩层的极限跨距为:

(10)

可得:

得:q1>γh,故l22总是小于lmax,即上位岩层的破断步距同样小于坚硬顶板的初始极限跨距。

3 水压裂缝对坚硬顶板垮落破断影响的数值模拟

3.1 塔山煤矿二盘区坚硬顶板概况

塔山煤矿主采煤层石炭系3-5#煤层为近水平煤层,埋深474 m,其上覆存在两层高强度煌斑岩层,上、下层煌斑岩层厚度分别为20 m和4 m,其中上层煌斑岩层难以随工作面推进及时垮落,属于典型的坚硬难垮落顶板岩层,对工作面的安全生产构成了一定威胁。对该矿二盘区采煤工作面的现场观测结果显示,在未采取干预措施的情况下,下层煌斑岩层的初次垮落步距为35~40 m,初次破断后能够随工作面推进基本实现随采随冒,对工作面的影响不大;而上层煌斑岩层的初次垮落步距达70~80 m,在周期来压阶段的垮落步距也达到了40~50 m,上层煌斑岩层破断前后的矿压显现强烈,特别是初次来压阶段。

3.2 物理模型及参数选取

以二盘区8212采煤工作面为研究对象,该工作面上覆岩层分布如表1所示。

1 工作面上覆岩层分布

序号名称厚度/m岩性描述1砂质泥岩20.002泥岩3.803粉砂岩7.904泥岩12.405山4#煤层3.31煤,不稳定,受煌斑岩侵入、分层,局部变质为变质煤、硅化煤及煌斑岩的混合体6粉砂岩6.69以粉细砂岩为主,斜层理,局部见中砂岩或泥岩、高岭岩7上层煌斑岩20.00以煌斑岩为主,局部为炭质泥岩、粉砂岩82#煤层4.009下层煌斑岩4.00以灰白色煌斑岩为主,局部可见泥岩、炭质泥岩伪顶,已蚀变103-5#煤层12.00煤,黑色,半光量型,中上部有煌斑岩侵入11细砂岩32.20以细砂岩为主,局部为粗、中砂岩

根据关键层理论,结合工作面上覆岩层的分布情况,确定上层煌斑岩为关键层,其控制范围向上可至厚度为20 m的砂质泥岩层,控制高度为54.1 m,而下层煌斑岩仅可控制2#煤层的运动,控制高度为4 m。为此,建立如图2所示的该工作面的简化物理模型,模型分为4层,从下到上依次为煤层底板、煤层和直接顶岩层、坚硬顶板关键层(上层煌斑岩)、受关键层控制的上覆岩层,其厚度分别为32.2 m、20 m、20 m和54.1 m,将受关键层控制的这部分岩层视为一层。设定坚硬顶板关键层的悬顶距为60 m,两侧的煤体均为30 m,未考虑遗煤和垮落后的直接顶在采空区的堆积。采用3DEC数值模拟软件进行了水压裂缝对坚硬顶板垮落破断影响的数值模拟,数值模拟采用的煤岩层力学参数如表2所示,根据文献[15],确定层理面参数为:法向刚度2.5 GPa、切向刚度1.8 GPa、内摩擦角16°,抗拉强度和粘聚力均为0。该部分暂不考虑地应力分布对水压裂缝扩展的影响。

图2 物理模型

3.3 水平贯穿裂缝对坚硬顶板破断的影响规律

在关键层中预制水平贯穿裂缝,该裂缝为闭合裂缝,位于坚硬顶板关键层的中部,如图3所示。在关键层无水压裂缝与有水平贯穿裂缝时,关键层及其上覆岩层的变形破坏特征及破坏区域分布分别如图4、图5所示。

2 煤岩层力学参数

岩层密度/( kg·m-3)体积模量/GPa剪切模量/GPa内摩擦角/(°)粘聚力/MPa受关键层控制岩层267836.331.2281.550上层煌斑岩280044.141.6304.570煤层、直接顶14502.71.2251.347煤层底板280060.054.4281.970

由图4可知,在无水压裂缝时,关键层发生了一定的弯曲下沉变形,其整体结构仍处于稳定状态,在关键层变形稳定后,其中间下部M点的下沉位移为5.23 m;而在关键层中部预制了水平贯穿裂缝后,关键层发生了失稳破断,同时水压裂缝面、关键层与上覆岩层的交界面产生了轻微离层。

由于裂缝面的存在,关键层开始会发生明显的弯曲下沉变形,随着其下沉量的增加,在关键层两侧支座的上端发生断裂,同时关键层的中间底部发生开裂,形成相向运动的两大块体,块体在水平挤压力作用下咬合在一起,当咬合点的挤压力超过该接触面处的强度极限,块体会继续回转,最终失稳破断。无论关键层有无水压裂缝,关键层与上覆岩层均会发生同步运动,进一步体现了关键层对其上部岩层运动的控制作用。在水平贯穿裂缝位于关键层中部时,裂缝面的上位岩层与下位岩层同步运动,并且破断步距明显小于关键层的初始极限跨距,与理论分析的结果一致。

图3 水平裂缝位置示意图

图4 上覆岩层的变形破坏特征

由图5可知,通过分析上覆岩层的破坏区域分布可以发现,关键层中的水压裂缝对上覆岩层的破坏区域分布具有显著影响。在无水压裂缝时,关键层及其上覆岩层中的破坏区以拉伸破坏为主,在关键层的中下部出现一个拉伸破坏的集中区域,并在该区域外围形成了一个剪切破坏区,在关键层的端头产生了拉剪复合破坏,说明该区域发生了一定的滑移错动。关键层的上覆岩层形成层状分布的拉剪复合破坏区,但是层间的剪切滑移不明显;在预制了水压裂缝后,关键层及其上覆岩层的破坏范围和破坏程度明显增大,形成了整体的拉剪复合破坏区,岩层的中部以拉伸破坏为主,两侧靠近端头的区域以剪切破坏为主,在水压裂缝面、关键层与上覆岩层交界面及上覆岩层内部产生了明显的滑移错动。关键层块体的咬合点区域在局部应力集中作用下,进入塑形状态,该区域的拉压复合破坏作用是造成块体局部失稳、回转加剧从而导致整体破断的主要原因。

图5 上覆岩层的破坏区域分布图

4 结论

(1) 若水平贯穿裂缝位于坚硬顶板的中下部,则上位与下位岩层将发生离层运动,上位岩层的破断步距始终小于坚硬顶板的初始极限跨距,而当q<2时,下位岩层的破断步距才小于坚硬顶板的初始极限跨距。

(2)若水平贯穿裂缝位于坚硬顶板的中上部,坚硬顶板的上位与下位岩层将发生同步运动,此时上位、下位岩层的破断步距均始终小于坚硬顶板的初始极限跨距。

(3)在关键层中预置了水平裂缝后,随着关键层块体的回转变形直至关键层的失稳破断,会在关键层及其上覆岩层中形成拉压复合破坏区,而关键层块体咬合点区域的拉压复合破坏作用正是造成块体局部失稳、回转加剧,从而导致整体破断的主要原因。

参考文献:

[1] 李国营, 张呈祥. 坚硬顶板工作面采空区见方阶段动压显现规律及防治技术[J]. 中国矿业, 2018, 44(4): 41-45.

[2] 赵宁, 戴广龙, 黄文尧等. 我国煤矿顶板管理现状及防治对策[J]. 中国安全生产科学技术, 2014, 10(4): 38-42.

[3] 严国超, 息金波, 宋选民等. 采场冲击气浪的灾害模拟[J]. 辽宁工程技术大学学报(自然科学版), 2009, 28(2): 177-180.

[4] 谭云亮, 张明, 徐强等. 坚硬顶板型冲击地压发生机理及监测预警研究[J]. 煤炭科学技术, 2019, 47(1): 166-172.

[5] 于斌. 大同矿区特厚煤层综放开采强矿压显现机理及顶板控制研究[D]. 徐州: 中国矿业大学, 2014.

[6] 黄小朋, 张鹏鹏, 闫耀飞. 矿井坚硬顶板定向水力压裂技术研究[J]. 中国煤炭, 2017, 43(7): 55-57.

[7] 祝凌甫. 坚硬顶板预裂爆破的数值模拟研究[J]. 中国煤炭, 2018, 44(2): 59-63.

[8] 钱鸣高, 朱德仁, 王作棠. 老顶岩层断裂型式及对工作面来压的影响[J]. 中国矿业学院学报, 1986, (2): 9-18.

[9] 于斌, 刘长友, 杨敬轩等. 坚硬厚层顶板的破断失稳及其控制研究[J]. 中国矿业大学学报, 2013, 42(3): 342-348.

[10] 刘长友, 杨敬轩, 于斌等. 多采空区下坚硬厚层破断顶板群结构的失稳规律[J]. 煤炭学报, 2014, 39(3): 395-403.

[11] 秦广鹏, 蒋金泉, 张培鹏等. 硬厚岩层破断机理薄板分析及控制技术[J]. 采矿与安全工程学报, 2014, 31(5): 726-732.

[12] 史红, 姜福兴. 采场上覆大厚度坚硬岩层破断规律的力学分析[J]. 岩石力学与工程学报, 2004, 23(18): 3066-3069.

[13] 王金安, 尚新春, 刘红等. 采空区坚硬顶板破断机理与灾变塌陷研究[J]. 煤炭学报, 2008, 39(3): 850-855.

[14] Huang, B X, Cheng Q Y, Chen S L, et al. Phenomenon of methane driven caused by hydraulic fracturing in methane-bearing coal seams [J]. International Journal of Mining Science and Technology, 2016, 26(5): 919-927.

[15] 董鹂宁. 基于3DEC的多节理顶底板失稳过程分析及应力重新分布研究[J]. 煤矿安全, 2017, 48(12): 187-190.

Study on the influence law of horizontal crack on the instability and breaking of hard roof

Wang Haiyang1, Zhou Yanmin1, Sun Kai2, Xia Binwei3, Li Shoulong4, Liu Chengwu5

(1. School of Civil Engineering, Chongqing Jiaotong University, Nan'an, Chongqing 400074, China; 2.Shandong Taishan Coal Sanatorium, Taian, Shandong 271000, China; 3.State Key Laboratory of Coal Mine Disaster Dynamics and Control, Chongqing University, Shapingba, Chongqing 400030, China; 4. Occupational Health Technical Service Center, Anhui Occupational Disease Prevention Hospital, Hefei, Anhui 230022, China; 5. Sunjiacha Longhua Mining Industry Co., Ltd., Shaanxi Coal and Chemical Industry Group, Yulin, Shaanxi 719314, China)

Abstract To study the instability and breaking laws of hard roof with horizontal penetrating crack formed by hydraulic fracturing, the characteristics of transformation and failure and the mechanism of instability and breaking of hard roof with horizontal penetrating crack were studied based on the theories of material mechanics and key strata and combined with numerical simulation. The results showed that when there was horizontal penetrating crack in the hard roof, whether the upper and the lower strata moved synchronously or not, the breaking span of hard roof was shorter than its initial limited span. A tension-compression destructive zone formed in the hard roof with horizontal penetrating crack and its overlying strata was more likely to cause roof failure. The tension-compression destructive effect in the biting point area of hard roof blocks was the main reason of local buckling, gyration intensification and roof breaking.

Key words hydraulic fracturing, hard roof, horizontal penetrating crack, breaking span, crack face

中图分类号 TD313

文献标识码 A

基金项目:国家自然科学基金项目(51804058),重庆市教委科学技术研究项目(KJQN201800729),重庆交通大学校内科学基金项目(18JDKJC-B005)

引用格式:王海洋,周宴民,孙凯等. 水平裂缝对坚硬顶板失稳破断的影响规律研究[J]. 中国煤炭,2020,46(4):77-82.

Wang Haiyang, Zhou Yanmin, Sun Kai, et al. Study on the influence law of horizontal crack on the instability and breaking of hard roof[J]. China Coal, 2020, 46(4):77-82.

作者简介:王海洋(1988-),男,山东淄博人,博士,讲师,从事工程灾害预测与防治方面的研究工作。E-mail:wanghaiyang12@yeah.net。

(责任编辑 郭东芝)

(责任编辑:admin)