当前的位置:主页 > 技术资料 > 科技论文

基于灰色模型的美国煤炭生产与消费预测

时间:2022-02-07 来源:中国煤炭杂志官网 分享:

★ 世界煤炭 ★

基于灰色模型的美国煤炭生产与消费预测

吴大明

(应急管理部信息研究院,北京市朝阳区,100029)

摘 要 通过对美国煤炭生产和消费发展和现状的分析,发现自2001年以来美国煤炭生产、进口和消费量整体呈逐年下降趋势,煤炭出口量呈整体逐年上升趋势。应用灰色模型,对美国煤炭生产、进口、出口、商业消费、工业消费和电力消费量进行预测,结果显示,到2025年,预计美国煤炭产量为67642万t、进口量为705万t、出口量为14171万t、商业消费量为85万t、工业消费量为3722万t、电力消费量为56389万t。

关键词 灰色模型 煤炭产量 煤炭出口量 煤炭进口量 煤炭消费

美国是世界煤炭生产和消费大国,数据显示,2018年美国煤炭的生产和消费仅次于中国和印度[1]。由于煤炭的生产和消费与经济社会发展具有一定联系,因此,研究分析美国煤炭的生产和消费趋势,对于了解和掌握美国能源经济发展具有重要意义[2-4]。此外,通过对美国煤炭生产和消费变化的研究,还可为深入分析美国煤炭安全生产管理政策变化提供一定的借鉴[5]。笔者应用灰色理论模型,结合历史数据,对美国煤炭生产和消费进行预测,可为我国政府和煤炭企业相关政策制定以及煤炭生产提供参考。

1 美国煤炭生产消费发展现状

1.1 煤炭生产与进出口现状

煤炭生产方面,2018年,美国煤炭产量为68540万t,同比减少1731万t、下降2.46%,见表1和图1。从历史数据来看,自2001年以来,美国煤炭产量在2008年出现最大值,产量为106305万t,在2016年出现最小值,产量为66076万t。与2008年的煤炭产量最高峰相比,2018年的煤炭产量下降了35.53%。

1 2001-2018年美国煤炭生产与进出口量情况 万t

年份产量进口量出口量2001102302179544152002992721531359320039722822723902200410088824754354200510264827634531200610548332884504200710402132975367200810630531037395200997515205453612010983721756741320119939411879730201292212831114072013893438081067420149072310308823201581369102767092016660768945468201770271706879520186854054010490

图1 2000-2018年美国煤炭产量变化

煤炭进出口方面,2018年,美国煤炭进口540万t,同比减少166万t、下降23.51%;煤炭出口10490万t,同比增加1695万t、增长19.27%。从历史数据来看,自2001年以来,美国煤炭进口量在2007年出现最大值,达到3297万t,2018年达到最小值;煤炭出口量在2012年出现最大值,达到11407万t,在2002年出现最小值,出口量为3593万t。整体来看,美国煤炭进口量呈逐年下降趋势,而煤炭出口量则呈逐年上升趋势。

1.2 煤炭消费现状

2018年,美国煤炭消费总量62353万t,同比减少2679万t、下降4.12%,见表2。从趋势来看,自2001年以来,煤炭消费整体呈下降趋势。从煤炭消费领域来看,电力消费始终占比最大,2018年其消费占比为92.61%。

2 2001-2018年美国煤炭消费量情况 万t

年份商业工业电力总计200135382878749296132200235576578867896690200333477579118399274200441877909219410040220053947600941191021132006266747893135100879200728871979481410229920083186937944001016552009291550184697904892010280638588455951202011253613984594909862012186576974711806662013177585477833838642014171582877256832552015136527766991724042016107465761557663212017964609603276503220188845235774262353

2 研究方法与模型选取

2.1 研究方法

根据美国煤炭生产与消费的历史统计数据,笔者有针对性地选择了预测方法和预测模型。目前,数据预测的常见方法及其特点如下所述。

(1)定性预测法。定性预测法是依据人工观察与分析能力,加之经验判断和逻辑推理来开展的预测分析方法,它依据当前所掌握的情况和以往实践的经验对目标进行主观判断,一般也称为调查研究预测法。定性预测法侧重事物发展性质的预测,具有较大的灵活性,易于充分发挥人的主观能动性,且简单便捷,一般用于短、中、长期的数据预测,尤其是对历史统计数据较少或趋势即将发生变化的事件预测具有较大优势。

(2)回归分析预测。回归分析是当前广泛使用的定量预测方法,它是在分析历史数据变化的基础上,按照一定方法建立的反映数据关系的数学模型,然后根据自变量的发展变化来进行数据计算,从而实现对事物未来发展趋势的预测。该预测方法的关键是建立回归模型,进而开展分析和预测结果。此外,若因变量和自变量的相关性不足以建立回归方程,那么该方法不适宜应用。

(3)灰色预测法。20世纪80年代,我国学者邓聚龙教授提出了灰色系统理论[6-7]。该理论是解决信息不全面系统的数学方法,它将控制论的观点和方法延伸到复杂的大系统中,通过将自动控制与运筹学的数学方法相结合,为客观世界中具有不确定性问题预测的研究提供了更加科学的方法。一般情况下,如果研究中的部分信息已知、部分信息未知,那么采用该方法分析研究较为适宜。

2.2 模型选取

根据常见预测方法的优劣及数据选取情况,采用灰色预测法对美国煤炭生产与消费趋势进行预测[8-10]。由于煤炭生产和消费数量在时间上存在关联性,在一定时间范围内,系统发展过程中相对变化基本一致,因此,可以采用灰色模型的累加生成方式建立GM(1,1)模型,即根据已知的煤炭数据情况来预测其未来发展变化。

借助DPS统计软件,根据近年的统计数据,对煤炭生产和消费量进行预测。构建GM(1,1)模型及具体计算步骤如下:

(1)原始非负序列:

X(0)={x(0)(1),x(0)(2),…x(0)(n)}

(1)

对式(1)作一次累加生成,得到:

X(1)={x(1)(1),x(1)(2),…x(1)(n)}

(2)

其中,

(3)

(2)构造累加矩阵和常数向量:

(4)

(3)最小二乘法解灰参数:

(5)

(4)对公式(3)建立微分方程模型,并得出对应的时间响应函数,将灰参数代入该函数,得到:

(6)

(5)还原得到:

(7)

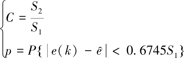
(6)模型诊断。为了分析模型的可靠性,对模型进行诊断,目前较通用的诊断方法是对模型进行后验差检验,即计算观察数据离差S1及残差的离差S2

(8)

再计算均方差比值及小误差概率:

(9)

根据Cp对模型进行诊断,结果见表3。

3 精度检验参照表

模型精度等级均方差比值C范围小误差概率p范围一级(好)C≤0.35p≥0.95二级(合格)0.35 <0.95三级(勉强)0.5 <0.80四级(不合格)C>0.65p<0.70

3 预测分析

3.1 煤炭产量与进出口量预测

根据美国2001-2018年煤炭产量与进出口量数据,应用DPS数据处理系统进行灰色计算预测。

(1)将2001-2018年煤炭产量输入DPS数据处理系统,通过软件计算,得出煤炭产量预测值如表4所示。

(2)将2001-2018年煤炭进口量输入DPS数据处理系统,通过软件计算,得出煤炭进口量预测值如表5所示。

(3)将2001-2018年煤炭出口量输入DPS数据处理系统,通过软件计算,得出煤炭出口量预测值如表6所示。

3.2 煤炭消费预测

根据美国2001-2018年煤炭消费数据,应用DPS数据处理系统进行灰色计算预测。

(1)将2001-2018年煤炭商业消费量输入DPS数据处理系统,通过软件计算,得出煤炭商业消费量预测值如表7所示。

(2)将2001-2018年煤炭工业消费量输入DPS数据处理系统,通过软件计算,得出煤炭工业消费量预测值如表8所示。

(3)将2001-2018年煤炭电力消费量输入DPS数据处理系统,通过软件计算,得出煤炭电力消费量预测值如表9所示。

4 美国煤炭产量DPS模型参数及预测

序号观察值/万t拟合值/万t误差/万t误差比/%预测值/万tX(2)102302109699-7396.95-7.2305X(t+1)=76332.92167X(3)99272107511-8239.03-8.2994X(t+2)=74810.47418X(4)97228105366.7-8138.74-8.3708X(t+3)=73318.39165X(5)100888103265.2-2377.22-2.3563X(t+4)=71856.06846X(6)102648101205.61442.3921.4052X(t+5)=70422.91106X(7)10548399187.086295.9215.9687X(t+6)=69018.33776X(8)10402197208.816812.1916.5489X(t+7)=67641.77843X(9)106305952701103510.3805X(10)9751593369.854145.1494.2508X(11)9837291507.66864.3956.978X(12)9939489682.59711.4999.7707X(13)9221287893.84318.2024.6829X(14)8934386140.773202.2293.5842X(15)9072384422.716300.2936.9445X(16)8136982738.91-1369.91-1.6836X(17)6607681088.7-15012.7-22.7203X(18)7027179471.4-9200.4-13.0927X(19)6854077886.35-9346.35-13.6363

5 美国煤炭进口量DPS模型参数及预测

序号观察值/万t拟合值/万t误差/万t误差比/%预测值/万tX(2)17952736.9874-941.9874-52.4784X(t+1)=989.34070X(3)15312586.5525-1055.5525-68.9453X(t+2)=934.96291X(4)22722444.3861-172.3861-7.5874X(t+3)=883.57391X(5)24752310.0337164.96636.6653X(t+4)=835.00945X(6)27632183.0658579.934220.9893X(t+5)=789.11426X(7)32882063.07641224.923637.2544X(t+6)=745.74165X(8)32971949.68221347.317840.865X(t+7)=704.75295X(9)31031842.52051260.479540.6213X(10)20541741.2488312.751215.2264X(11)17561645.5434110.45666.2902X(12)11871555.0983-368.0983-31.0108X(13)8311469.6244-638.6244-76.8501X(14)8081388.8484-580.8484-71.8872X(15)10301312.5122-282.5122-27.4284X(16)10271240.3717-213.3717-20.7762X(17)8941172.1963-278.1963-31.1182X(18)7061107.7681-401.7681-56.9077X(19)5401046.8811-506.8811-93.8669

6 美国煤炭出口量DPS模型参数及预测

序号观察值/万t拟合值/万t误差/万t误差比/%预测值/万tX(2)44154424.391-9.3913-0.2127X(t+1)=10592.95585X(3)35934644.278-1051.28-29.2591X(t+2)=11119.41164X(4)39024875.092-973.092-24.9383X(t+3)=11672.03159X(5)43545117.378-763.378-17.5328X(t+4)=12252.11601X(6)45315371.705-840.705-18.5545X(t+5)=12861.02985X(7)45045638.671-1134.67-25.1925X(t+6)=13500.20590X(8)53675918.906-551.906-10.2833X(t+7)=14171.14814X(9)73956213.0671181.93315.9829X(10)53616521.848-1160.85-21.6536X(11)74136845.976567.02447.6491X(12)97307186.2122543.78926.1438X(13)114077543.3573863.64333.8708X(14)106747918.2512755.74925.8174X(15)88238311.778511.22215.7942X(16)67098724.862-2015.86-30.0471X(17)54689158.476-3690.48-67.4922X(18)87959613.64-818.64-9.308X(19)1049010091.43398.57463.7996

7 美国煤炭商业消费量DPS模型参数及预测

序号观察值/万t拟合值/万t误差/万t误差比/%预测值/万tX(2)353420.0544-67.0544-18.9956X(t+1)=126.25641X(3)355392.9187-37.9187-10.6813X(t+2)=118.10017X(4)334367.5359-33.5359-10.0407X(t+3)=110.47083X(5)418343.792974.207117.7529X(t+4)=103.33436X(6)394321.583772.416318.3798X(t+5)=96.65890X(7)266300.8092-34.8092-13.0862X(t+6)=90.41468X(8)288281.37676.62332.2997X(t+7)=84.57384X(9)318263.199654.800417.2328X(10)291246.196844.803215.3963X(11)280230.292349.707717.7527X(12)253215.415337.584714.8556X(13)186201.4994-15.4994-8.333X(14)177188.4824-11.4824-6.4872X(15)171176.3063-5.3063-3.1031X(16)136164.9168-28.9168-21.2624X(17)107154.2631-47.2631-44.1711X(18)96144.2976-48.2976-50.31X(19)88134.9759-46.9759-53.3817

8 美国煤炭工业消费量DPS模型参数及预测

序号观察值/万t拟合值/万t误差/万t误差比/%预测值/万tX(2)82878420.1928-133.1928-1.6073X(t+1)=4564.96238X(3)76578138.6179-481.6179-6.2899X(t+2)=4412.30802X(4)77577866.4589-109.4589-1.4111X(t+3)=4264.75850X(5)77907603.4011186.59892.3954X(t+4)=4122.14309X(6)76007349.14250.863.3008X(t+5)=3984.29681X(7)74787103.3815374.61855.0096X(t+6)=3851.06017X(8)71976865.8413331.15874.6013X(t+7)=3722.27902X(9)69376636.2445300.75554.3355X(10)55016414.3256-913.3256-16.6029X(11)63856199.8277185.17232.9001X(12)61395992.5027146.49732.3863X(13)57695792.1108-23.1108-0.4006X(14)58545598.4201255.57994.3659X(15)58285411.2064416.79367.1516X(16)52775230.253346.74670.8859X(17)46575055.3513-398.3513-8.5538X(18)46094886.2981-277.2981-6.0164X(19)45234722.8982-199.8982-4.4196

9 美国煤炭电力消费量DPS模型参数及预测

序号观察值/万t拟合值/万t误差/万t误差比/%预测值/万tX(2)8749299056.0814-11564.0814-13.2173X(t+1)=64918.06272X(3)8867896757.7661-8079.7661-9.1114X(t+2)=63411.82325X(4)9118394512.7766-3329.7766-3.6518X(t+3)=61940.53180X(5)9219492319.8758-125.8758-0.1365X(t+4)=60503.37750X(6)9411990177.8553941.1454.1874X(t+5)=59099.56828X(7)9313588085.53375049.46635.4217X(t+6)=57728.33047X(8)9481486041.75888772.24129.2521X(t+7)=56388.90835X(9)9440084045.403910354.596110.9689X(10)8469782095.36882601.63123.0717X(11)8845580190.57878264.42139.3431X(12)8459478329.98386264.01627.4048X(13)7471176512.5587-1801.5587-2.4114X(14)7783374737.30193095.69813.9774X(15)7725673003.23494252.76515.5048X(16)6699171309.4019-4318.4019-6.4462X(17)6155769654.8696-8097.8696-13.1551X(18)6032768038.7259-7711.7259-12.7832X(19)5774266460.0803-8718.0803-15.0983

3.3 模型检验

(1)煤炭产量预测的均方差比值和小误差概率为:C=0.6171,p=0.6667,模型精度等级介于三级和四级之间,可勉强对系统进行预测;

(2)进口量预测的均方差比值和小误差概率为:C=0.7841,p=0.6667,模型精度等级为四级,不能对系统进行预测;

(3)出口量预测的均方差比值和小误差概率为:C=0.7116,p=0.7222,模型精度等级介于三级和四级之间,可勉强对系统进行预测;

(4)商业消费预测的均方差比值和小误差概率为:C=0.4441,p=0.8333,模型精度等级为二级,可对系统进行预测;

(5)工业消费预测的均方差比值和小误差概率为:C=0.2736,p=0.9444,模型精度等级介于一和二级之间,可对系统进行预测;

(6)电力消费预测的均方差比值和小误差概率为:C=0.5535,p=0.6111,模型精度等级介于三级和四级之间,可勉强对系统进行预测。

3.4 预测结果

根据预测,未来7年,美国煤炭产量与消费量变化趋势见表10。

10 2019-2025年美国煤炭生产与消费变化预测 万t

年份产量进口量出口量商业消费量工业消费量电力消费量20197633398910593126456564918202074810935111191184412634122021733188841167211042656194120227185683512252103412260503202370423789128619739845909920246901874613500903851577282025676427051417185372256389

4 结论

根据计算分析,到2025年,在煤炭生产及进出口方面,美国煤炭产量将为67642万t、进口量将为705万t、出口量将为14171万t;在煤炭消费方面,美国煤炭商业消费量将为85万t、工业消费量将为3722万t、电力消费量将为56389万t。从模型检验结果来看,煤炭商业和工业消费量的预测最为可靠,其次为煤炭产量、出口量和电力消费量,煤炭进口量预测结果误差最大,在下一步研究中,将采取其他方法予以深入研究。

参考文献:

[1] Administration U E I. Monthly energy review [E/OL]. https://www.eia.gov/totalenergy/data/monthly/previous.php, 2019-06-25.

[2] 彭成. 美国煤炭工业发展趋势[J]. 中国煤炭, 2005, 31(10):73-77.

[3] 葛振华. 2006年美国煤炭供需形势[J]. 国土资源情报, 2007(3):35-39.

[4] 杨瑾娣. 煤炭工业的前途在于技术创新——对美国煤炭工业的考察报告[J]. 中国煤炭, 2001, 27 (1):50-52,55.

[5] 吴大明. 美国矿山分级分类监察及其对中国煤矿重大事故防范的借鉴[J]. 中国煤炭, 2017, 43 (12):165-169.

[6] 邓聚龙. 灰色预测模型GM(1,1)的三种性质——灰色预测控制的优化结构与优化信息量问题[J]. 华中工学院学报, 1987, 15 (5):1-6.

[7] 邓聚龙.灰色预测与决策模型研究[M]. 北京:华中工学院出版社,1986.

[8] 许汝福, 张亚萍. 时间序列资料灰色模型综合预测方法及其应用[J]. 中国医院统计, 1997, 4 (3):155-157.

[9] 吴大明. 基于灰色定权聚类的我国产煤省区安全生产水平分析[J]. 煤矿安全, 2017, 48 (11):237-240.

[10] 陈景鹏. 用灰色理论模型预测供电量[J]. 重庆工商大学学报(自然科学版), 2002, 19 (2):9-13.

[11] 朱超, 丁进田, 徐会军. 世界煤炭工业发展现状与趋势[J]. 中国煤炭, 2002, 28(3):58-61.

Prediction of American coal production and consumption based on grey model

Wu Daming

(Information Institute of the Ministry of Emergency Management of the PRC, Chaoyang, Beijing 100029, China)

Abstract Based on the analysis of the development and current situation of coal production and consumption in the United States, it was found that the overall production, import and consumption of coal in the United States had been declining year by year since 2000, while the overall export of coal had been increasing year by year. The grey model was applied to forecast the coal production, import, export, commercial consumption, industrial consumption and power consumption in the United States. The results showed that by 2025, the coal production, import, export, commercial consumption, industrial consumption and electricity consumption of the United States would respectively be 676.42 million tons, 7.05 million tons, 141.71 million tons, 0.85 million tons, 37.22 million tons and 563.89 million tons.

Key words grey model, coal production, coal export, coal import, coal consumption

中图分类号 F224 F426.21

文献标识码 A

引用格式:吴大明. 基于灰色模型的美国煤炭生产与消费预测[J]. 中国煤炭,2019,45(10):117-123.Wu Daming.Prediction of American coal production and consumption based on grey model[J]. China Coal, 2019,45(10):117-123.

作者简介:吴大明(1982-),男,汉族,辽宁盖州人,高级工程师,硕士,从事应急管理和安全生产政策理论研究。E-mail:wdm804@163.com。

(责任编辑 郭东芝)

新煤网