当前的位置:主页 > 技术资料 > 科技论文

不同矿井乏风瓦斯体积分数燃烧特性模拟研究

时间:2022-01-24 来源:中国煤炭杂志官网 分享:

★ 煤矿安全 ★

不同矿井乏风瓦斯体积分数燃烧特性模拟研究

刘 祥1,陈 曦1,邓存宝1,高凤利2

(1.太原理工大学安全与应急管理工程学院,山西省太原市,030024;2.沈阳焦煤股份有限公司红阳二矿,辽宁省沈阳市,110000)

摘 要 采用组分输运模型对矿井乏风与空气混合气体在二维锥形燃烧器的燃烧过程进行了研究,分析了不同体积分数的瓦斯燃烧特性。结果表明:矿井乏风沿着中心轴线方向射入热氛围后遇热,在燃烧器中心轴线方向发生多点自燃现象,瓦斯浓度降低2.67%,燃烧器出口处二氧化碳浓度达到了0.031 9%;随着乏风体积分数提高,燃烧器内氧化性气氛较强,一氧化碳和二氧化碳体积分数生成量显著增加,分别达到867.61%和283.02%;当瓦斯体积分数小于0.1%,氛围温度不会对燃烧器内瓦斯的燃烧反应产生影响,当瓦斯体积分数为0.2%~0.4%,其贫燃温度为400 ℃,随着体积分数进一步提高,贫燃温度逐步降低。表明煤矿乏风超低浓度瓦斯通入燃煤锅炉作为辅助燃料进行氧化增热是可行的。

关键词 矿井乏风;锥形燃烧器;燃烧特性;污染物排放;数值模拟

煤矿作为瓦斯(甲烷)排放的主要来源,全球年排放量约671.5亿m3,其中矿井乏风所包含的甲烷排放总量位居世界之最,仅我国每年通过煤矿乏风进入大气的甲烷总量就达100亿~150亿m3,比西气东输一期工程的120亿m3的天然气还多[1-4]。煤矿乏风具有3个特点:乏风量巨大,一个典型煤矿主排风口的乏风量为60万~100万m3/h;乏风中的瓦斯浓度非常低,一般在0.10%~0.75%范围内;乏风量、瓦斯浓度波动范围大。这些特征决定了乏风超低浓度瓦斯的大规模高效综合利用仍然是一个世界性的难题,这些甲烷长期以来都只能被放置在大气中,造成了巨大的温室气体污染。

国内外对于煤矿乏风瓦斯的利用主要侧重于热逆流氧化技术的研究,并取得了一定进展[5-7]。AUBE F[8]等首先建立了一个用来消除大气污染中煤矿风排低浓度瓦斯气体的数学模型,并对该种直径200 mm和500 mm的反应器装置在不同参数下进行了仿真,所得实际结果与预测结果比较吻合;LITTO R[9]等对低浓度甲烷的氧化和燃烧方法进行了参数优化研究,SALOMONS S[10]等通过新的研究结果表明,当负载甲烷催化浓度约为0.19%时,逆流自热反应催化技术能够有效地达到维持负载甲烷更高的化学转化热效率;王盈[11]等人利用小型逆流反应催化装置对含有负载甲烷贵金属的自热催化剂,进行了一次用较低浓度的负载甲烷自热流向运动变换自热催化和甲烷燃烧的反应试验,结果表明:当负载甲烷的催化浓度大约为0.5%时,该反应装置可以立即甚至连续进行一次自热反应[12-13]。基于此,本文构建了矿井乏风在锥形燃烧器中燃烧的数值计算模型,并针对不同乏风体积分数对燃烧特性和污染物排放情况进行数值模拟,并分析不同体积分数瓦斯的贫燃温度,为矿井乏风瓦斯的高效、大规模利用与节能减排奠定应用基础。

1 几何模型建立及网格划分

锥形燃烧器的几何模型结构如图1所示,在中心区域包含一个小的喷嘴,在模拟锥形燃烧器燃烧的过程中,计算得出这个模型的网格数和数值模拟结果之间有着直接关系,一般来说,随着网格密度的提高,计算精确率就会越来越高,但是当网格数量过于密集时,则会影响CPU计算时间及所需的计算内存;同时,计算的精度与网格密度不一定会呈现出线性关系,在某些场合中,如果当计算出的网格密度达到了特定程度时,继续增加网格密度,计算误差反而可能会增大[14]。因此,本文通过采用Gambit软件的Submap方式对所建立的物理模型进行了四面体的网格划分,其中网格个数为793 518个。网格划分后的物理模型如图2所示。

图1 锥形燃烧器几何模型

图2 网格划分

甲烷具有特有的四面体结构和很大的C-H键能,具有很高的着火温度和较低的火焰传播速度,甲烷燃烧过程中涉及的化学反应如下[15]

CH4+1.5O2→CO+2H2O

CO+0.5O2→CO2

CO2→CO+0.5O2

N2+O2→2NO

2 数值方法

2.1 数学模型

采用组分输运模型研究脉动燃烧器内气体燃烧过程,考虑到燃烧系统的复杂性,做如下假设:

(1)矿井乏风属于多组分气体,混合气体组分仅考虑氮气、氧气、甲烷、二氧化碳,主要可燃气体为甲烷;

(2)混合可燃气体为不可压缩流体;

(3)脉动燃烧器中的流动为二维定常湍流。

基于以上假设,控制方程可以表示如下:

连续方程:

(1)

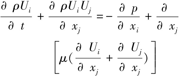
动量方程:

(2)

式中:UiUj——xixj方向的速度,m/s;

ρ——流体密度,kg/m3

Uj——xj方向的速度,m/s;

p——空气压力,Pa;

μ——空气动力黏度,N·S/m2

由于脉动燃烧器进气过程不涉及传热,仅在计算流体密度的过程中考虑流体温度,可认为满足能量守恒。

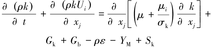
在各种湍流模型中,以K-ε模型最为典型,应用最为广泛,同时,低浓度瓦斯脉动燃烧器的进气可以视为各向同性的均匀湍流,因此选用精度较高且稳定的K-ε模型,控制方程如下:

湍流脉动动能k方程:

(3)

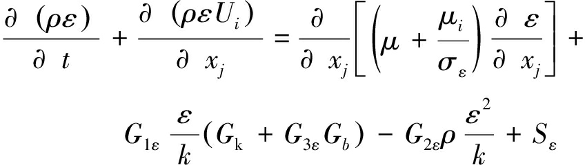
湍流耗散率ε方程:

(4)

式中:k——湍流动能,m2/s2;

μi——分子粘度,kg/(m·s);

Gk——速度梯度引起的应力源项;

Gb——浮力引起的湍流动能k的产生项;

YM——可压缩湍流中的脉动扩张项;

SkSε——自定义源项;

σkσμ——湍流动能k和湍流耗散率ε的普朗特数,分别取1.0、1.3;

GGG——经验常数,分别取1.44、1.92、0.09。

2.2 边界条件设定及求解

本文采用RNGK-ε湍流模型及SIMPLE算法,保持Fluent默认的松弛因子不变,压力采用二阶迎风,动量采用一阶迎风,湍流动能采用一阶迎风,湍流耗散率采用一阶迎风。入口边界条件采用速度入口,湍流强度为0.063,水力直径为0.056 m;出口边界条件采用充分发展的压力出口,湍流强度为0.081,水力直径为0.064 m;壁面采用标准壁面函数。在初始化后,先对冷态场进行计算,冷态场计算收敛后,再进行热态场计算。

3 计算结果和分析

3.1 燃烧器内流场模拟

矿井乏风瓦斯(体积分数为0.75%)以25 m/s速度进入燃烧器,采用稳态模拟方法研究燃烧器热氛围温度为1 000 K时乏风燃烧的发生和发展过程,通过数值计算得到燃烧器内的生成情况,如图3所示。

由图3可以看出,矿井乏风沿着中心轴线方向射入热氛围后,由于遇热在燃烧器中心轴线方向发生多点自燃现象,瓦斯浓度降低2.67%;随着火焰迅速向轴线方向扩散,逐渐形成稳定的轴向火焰;同时,在回流区生成了少量二氧化碳,在燃烧器出口处二氧化碳浓度达到了0.031 9%。

图3 燃烧器内的生成情况

3.2 矿井乏风贫燃极限

乏风瓦斯中的主要成分是氮气、氧气和甲烷,低浓度瓦斯上限约为0.7%,因此,需要不同体积分数瓦斯的贫燃温度极限。分别研究乏风瓦斯体积分数为0.1%、0.2%、0.3%和0.4%时,不同氛围温度下燃烧器内乏风瓦斯减少情况,如图4所示。

由图4可以看出,当乏风瓦斯体积分数小于0.1%时,燃烧器内不会发生燃烧反应;当乏风瓦斯体积分数大于0.4%,燃烧器内氛围温度达到200 K时,燃烧器内瓦斯体积分数减少量增加。

图4 不同乏风瓦斯体积分数、氛围温度下
甲烷减少体积分数

3.3 乏风瓦斯体积分数对燃烧特性影响

为了分析乏风瓦斯体积分数对燃烧器内燃烧特性的影响,分别研究乏风瓦斯体积分数为0.30%、0.45%、0.60%和0.75%时,燃烧器热氛围温度为700 K和1 000 K时燃烧器内乏风甲烷减少情况和燃烧器内温度上升情况,如图5和图6所示。

图5 燃烧器内乏风瓦斯减少分数

图6 燃烧器内温度上升幅度

由图5和图6可以看出,当燃烧器的热氛围温度为700 K时,燃烧器内不能形成稳定的燃烧火焰,当入口乏风瓦斯体积分数为0.30%时,燃烧器内甲烷减少体积分数为0.17%,而随着燃烧器内氛围温度上升到1 000 K时,甲烷减少体积分数为4.84%,当随着入口乏风瓦斯体积分数提高到0.75%时,甲烷减少体积分数提高到9.17%;当燃烧器的热氛围温度为700 K时,由于甲烷体积分数较低,燃烧器内出现低温氧化情况,温度上升幅度在0.020%~0.145%;随着燃烧器内氛围温度上升到1 000 K时,气相燃烧发热量增加,燃烧器内温度增加,温度上升幅度在0.333%~1.636%。

3.4 乏风瓦斯体积分数对污染物生成影响规律

根据上文分析可知,在氛围温度为700 K时,燃烧情况较差,相较于1 000 K来说变化较小,所以为了分析入口乏风瓦斯体积分数对燃烧器内污染物生成的影响规律,故研究入口乏风瓦斯体积分数为0.30%、0.45%、0.60%和0.75%,燃烧器热氛围温度为1 000 K时,燃烧器对称轴线上不同位置二氧化碳和一氧化碳的排放情况,如图7所示。

由图7可以看出,矿井乏风进入燃烧器后,一部分甲烷会首先经过分解而生成CH3、CH2和CH等多种碳氢化合物,这些多种类碳氢化合物沿着对称轴方向向前扩散,并在燃烧器内发生大量的燃烧反应,生成少量二氧化碳和少量的一氧化碳;当燃烧器入口乏风瓦斯体积分数为0.30%时,燃烧器对称轴线上二氧化碳生成量的体积分数小于4×10-6%,一氧化碳生成量的体积分数小于9×10-4%;随着燃烧器内乏风体积分数提高,燃烧器内具有的氧化性气氛较强,燃烧器对称轴线上不同位置二氧化碳和一氧化碳生成量也在增高,当燃烧器入口乏风瓦斯体积分数提高至0.75%时,对称轴线上的二氧化碳体积分数生成量增加867.61%,一氧化碳体积分数生成量增加283.02%。

图7 乏风瓦斯体积分数对二氧化碳、
一氧化碳排放影响情况

4 结语

(1)采用组分输运模型对矿井乏风与空气混合气体在二维锥形燃烧器的燃烧过程进行了研究,确定了体积分数为0.75%的瓦斯在燃烧后,瓦斯浓度沿着轴线浓度降低至2.67%,同时在回流区生成了少量二氧化碳,在燃烧器出口处二氧化碳浓度达到了0.031 9%。

(2)当乏风瓦斯体积分数小于0.1%,氛围温度不会对燃烧器内瓦斯的燃烧反应产生影响,当乏风瓦斯体积分数为0.2%~0.4%,其贫燃温度为400 K,随着体积分数进一步提高,贫燃温度降低。

(3)低浓度瓦斯体积分数影响燃烧器内污染物生成情况,随着乏风瓦斯体积分数提高,燃烧器内氧化性气氛较强,一氧化碳和二氧化碳体积分数生成量显著增加。

(4)通过对锅炉中掺烧矿井乏风后的燃烧特性进行数值模拟,确定乏风瓦斯体积分数对锅炉燃烧特性和污染物生成特性的影响。

参考文献:

[1] HERZLER J, NAUMANN C. Shock-tube study of the ignition of methane/ethane/hydrogen mixtures with hydrogen contents from 0% to 100% at different pressures[J]. Proceedings of the Combustion Institute, 2009, 32(1):213-220.

[2] 高杰,蔡晋,乔晓磊,等. 矿井乏风对锅炉燃烧特性影响[J]. 热力发电,2018,47(10):120-126.

[3] 高杰. 矿井乏风用于某2027t/h煤粉锅炉的数值模拟研究[D].太原:太原理工大学,2018.

[4] 宋纯龙,栾世健,于景泽. 矿井乏风作为大型燃煤锅炉助燃风的应用分析[J]. 锅炉制造,2017(5):4-6.

[5] 赵路正. 煤矿乏风中的甲烷利用技术经济分析[J]. 煤炭工程,2017,49(7):97-99.

[6] NAGUYEN D N, ISHIDA H, SHIOJI M. Ignition delay and combustion characteristics of gaseous fuel jets[J]. Journal of Engineering for Gas Turbines & Power, 2010, 132(4):41-48.

[7] 王菁. 燃煤锅炉高效燃烧与低氮排放耦合技术研究[D].太原:山西大学,2017.

[8] AUBE F,SAPOUNDJIEV H.Mathematical model and numerical simulations of catalytic flow reversal reactors for industrial plications[J].Computers and Chemical Engineering, 2000,24:2623-2632.

[9] LITTO R, HAYES R E. Optimization of a flow reversal reactor for the catalytic combustion of lean methane mixtures [J].Catalysis Today,2006,117:536-542.

[10] SALOMONS S,HAYES R E,et a1.Modeling a reverse flow reactor for the catalytic combustion of fugitive methane emissions[J].Computers and Chemical Engineering,2004,28:1599-1610.

[11] 王盈,朱吉钦,李攀,等.低浓度甲烷流向变换催化燃烧的研究[J].燃料化学学报,2005,33(6):760-762.

[12] 冯涛,王鹏飞,郝小礼,等.煤矿乏风低浓度甲烷热逆流氧化试验研究[J].中国安全科学学报,2012,22(10):88-93.

[13] GUO W L, LI H L,JI G L, et al.Ultrasound-assisted production of biodiesel from soybean oil using Bronsted acidic ionicliquid as catalyst[J]. Bioresource Technology,2012,125(12):332-334.

[14] 王保文,王擎,孙键.四角切圆锅炉数值模拟伪扩散的探讨[J].东北电力技术,2004(3):11-14.

[15] BYEON J H, KIM Y W. Ultrasound-assisted copper deposition on apolymer membrane and application for methanol steam reforming[J]. Ultrason Sonochem,2013,20(1):472-477.

Simulation study on combustion characteristics of coal mine ventilation air methane with different gas volume fraction

LIU Xiang1, CHEN Xi1, DENG Cunbao1 , HAO Fengli2

(1. College of Safety and Emergency Management Engineering, Taiyuan University of Technology, Taiyuan, Shanxi 030024 ,China;2.Hongyang No. 2 Mine, Shenyang Coking Coal Co., Ltd., Shenyang, Liaoning 110000, China)

Abstract The combustion process of ventilation air methane (VAM) and air mixture in a two-dimensional conical burner was studied by using component transport model, and the combustion characteristics of gas with different volume fraction were analyzed. The analysis results showed that the VAM was heated when it was injected into the thermal atmosphere along the central axis direction, the multiple spot spontaneous combustion occurred in the central axis direction of the burner, and the gas concentration decreased by 2.67%, while the carbon dioxide concentration at the burner outlet reached 0.031 9%. With the increase of the volume fraction of VAM, the oxidizing atmosphere in the burner was strong, the volume fraction production of carbon monoxide and carbon dioxide increased significantly, reached 867.61% and 283.02%, respectively. When the gas volume fraction was less than 0.1%, the atmosphere temperature would not affect the combustion reaction of the gas in the burner; when the gas volume fraction was 0.2%-0.4%, the lean combustion temperature was 400 ℃. With the further increase of the gas volume fraction, the lean combustion temperature decreased gradually. The results showed that it was feasible to oxidize and heat the coal fired boiler with ultra-low concentration of coal mine VAM as auxiliary fuel.

Key words VAM; conical burner; combustion characteristics; pollutant emission; numerical simulation

移动扫码阅读

引用格式:刘祥,陈曦,邓存宝,等.不同矿井乏风瓦斯体积分数燃烧特性模拟研究[J].中国煤炭,2021,47(12)∶26-31. doi:10.19880/j.cnki.ccm.2021.12.005

LIU Xiang, CHEN Xi, DENG Cunbao, et al.Simulation study on combustion characteristics of coal mine ventilation air methane with different gas volume fraction[J].China Coal, 2021,47(12)∶26-31. doi:10.19880/j.cnki.ccm.2021.12.005

基金项目:国家自然科学基金资助项目(U1810206,52004177)

作者简介:刘祥(1997-),男,山西大同人,硕士研究生,主要研究方向:矿井乏风综合利用。E-mail:1042024122@qq.com

通讯作者:陈曦(1987-),男,辽宁瓦房店人,副教授,主要研究方向:矿井通风与粉尘防治。E-mail:chenxi01@tyut.edu.cn

中图分类号 TD712

文献标志码 A

(责任编辑 张艳华)

新煤网