当前的位置:主页 > 技术资料 > 科技论文

基于熵权TOPSIS法的重庆能源安全研究

时间:2021-12-23 来源:中国煤炭杂志官网 分享:

★ 经济管理 ★

基于熵权TOPSIS法的重庆能源安全研究

孙贵艳1,2 王 胜1 肖 磊3

(1.重庆社会科学院,重庆市江北区,400020;2.西南大学,重庆市北碚区,400715;3.中国城市规划设计研究院西部分院,重庆市渝北区,401121)

从能源供应、能源需求、能源使用三个方面构建区域能源安全评价指标体系,并借助熵权TOPSIS法对2006-2016年重庆的能源安全状况进行评价,再利用灰色关联法探讨各指标与重庆总能源安全、能源供应安全、能源需求安全、能源使用安全的关联程度。研究发现:重庆的能源安全呈曲折上升,从临界安全—较不安全—临界安全的变化态势。其中,能源需求、能源使用呈曲折上升的变化趋势,多处于临界安全状况;能源供应呈现下降—上升—下降的变化趋势,多是处于较不安全状态。生产多样性、市场流动性、城镇化率、非化石能源消费比重分别是与重庆能源综合安全、能源供应安全、能源需求安全、能源使用安全的关联程度最高。

关键词 熵权TOPSIS法 区域能源安全评价 灰色关联分析 重庆市

能源是制约经济社会发展的重要因素,关系着国家安全和可持续发展,目前我国能源的核心问题就是能源安全。近年来,从河北陷入改气困局,山东、陕西、河南等相继出现供气不足,再扩大到重庆、四川等进行限气,引起全国范围内天然气供应紧张,说明区域能源安全对国家能源安全有着不容忽视的影响。因此,有必要深入研究保障区域能源安全的措施与对策,以此来确保国家持续稳定的发展。

国内外学者和机构对国家层面能源安全进行了大量研究,但关于区域能源安全的研究则相对较少,且主要集中在对区域能源安全的内涵、区域能源安全评价、区域供给安全、区域能源安全预警等方面,如刘立涛等(2011)、胡健(2016)在区域能源安全内涵进行界定基础上,分别从能源供应稳定性与使用安全性、能源安全驱动力—压力—状态—影响—响应构建了区域能源安全评价指标体系。孙涵等(2018)从能源供应、使用、经济与环境安全构建了区域能源安全评价指标,并运用熵权TOPSIS进行可实证研究。薛静静等(2015)从能源供给盈余缺口情况、能源供给现状及存在的问题出发,构建了区域能源供给安全综合评价体系,并分别对能源生产大省陕西、能源消费大省广东的能源安全状况进行了实证分析。苏飞等(2008)也利用对外依存度、能源消耗弹性指数、能源储量比、能源生产弹性指数、运输线路长度和人均GDP 6个指标构建了区域能源安全供给性评价指标体系。此外,还有部分学者采用因子分析、熵权、主成分分析等方法对广东、山西、江苏、广西等省份的能源安全形势进行定量评估。鉴于区域能源安全的重要性及关于西南地区能源安全研究的缺乏,在构建普适性区域能源安全评价指标体系的基础上,以西南地区经济发展较为迅速的重庆市为例,探究其能源安全变化趋势,以期为重庆制定能源战略决策提供参考。

1 研究区概括与研究方法

1.1 重庆市能源现状

作为西部大开发的重要战略支点,重庆自直辖以来经济获得高速发展,特别是金融危机后,在全国经济发展低迷的情势下,重庆依然保持强劲的发展势头。在重庆经济快速发展的同时,能源的消费量、能源缺口及能源对外依存度也在不断升高,其中能源消费量由1997年的2030.13万t标准煤增至2016年的8271.97万t标准煤,能源供需缺口由2003年的73.09万t标准煤上升至2016年的4158.61万t标准煤。同时,能源结构也在不断调整,一次电力及其他能源所占的比重在1997-2016年间上升了5.68个百分点。习近平总书记对重庆提出了“两点”“两地”定位要求,而重庆面对难得的发展机遇,要推进高质量发展,创造高品质生活,保障能源这一经济社会发展基础的供需、使用安全就显得尤为重要。

1.2 研究方法

1.2.1 熵权TOPSIS法

TOPSIS法是一种基于评价对象与理想化目标的距离进行排序的评价方法。为了有效地消除评价的内外部环境发生变化产生的影响,本文运用熵值法来确定各评价指标的客观权重,以此使得评价结果具有可比性。

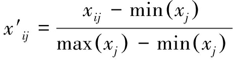
(1)考虑到各指标的量纲、数量级、指标的正负取向有差异,采用极差法对数据进行标准处理。

对于正向指标:

(1)

对于负向指标:

(2)

(2)在能源安全指标体系的测度中,权重的确立是重要的内容。目前确定权重有主观赋值法、客观赋值法,其中客观赋值法是根据各指标提供的信息来决定权重。本文采用客观赋值法中的熵值法,根据熵值大小,也就是各指标的变异程度,确定权重。具体步骤:

首先,计算第i个地区第j项指标值的比重:然后计算指标的信息熵:再计算信息熵冗余度:Dj=1-ej,确定指标的权重:最后得到单项指标评价得分:

(3)确定正理想解和负理想解:

正理想解:其中,

负理想解:其中,

(4)各评价对象到正理想解和负理想解的欧式距离,计算公式为:

(3)

(5)各评价对象与最优解的相对接近度Ci:

(4)

式中:i地区第j项指标标准化后的值;

xij——第i地区第j项评价指标值;

min(xj)、max(xj)——所有地区中第j项指标的最小值和最大值;

m——评价的地区数量;

n——指标数。

Ci∈[0,1],Ci越接近1,该评价对象越接近最优评价水平。

1.2.2 评判标准

参考相关学者的研究成果,结合重庆的实际情况,将接近度划分为5个评判等级,见表1。

1 重庆能源安全评判标准

[0-0.25)[0.25-0.45)[0.45-0.65)[0.65-0.85)[0.85-1.0]安全状况不安全较不安全临界安全较安全安全

1.2.3 灰色关联分析

灰色关联分析是根据数据序列曲线几何形状的相似程度来判断其联系是否紧密,曲线变化趋势越接近,序列之间关联度就越大,反之就越小。考虑到灰色关联分析对指标样本数要求较低,且准确率相对较高,所以利用灰色关联分析来探讨各指标与重庆能源安全状况的灰色关联度。

(5)

(6)

式中: x0——能源安全值标准化值,为参考列;

xi——各指标标准化值,为比较数列;

εi(k)——第k时刻比较曲线与参考曲线相对差值,称为xix0k时刻的关联系数;

β——分辨系数,取值范围为[0,1],通常取0.5。

2 区域能源安全评价体系构建

区域能源安全一般是指以一国次级地域空间(自治区、直辖市)为基本研究单元,在遵从国家能源安全目标、特定时间和一定技术经济条件(合理价格、经济技术可行)下,能够持续、稳定、高效、清洁地满足地域内经济增长、社会进步、居民需求、环境友好等能源需求,即通过区域能源供应的稳定性和使用的安全性等,在总量和结构上保障研究区域内生产生活正常能源所需,同时在能源供应与消费过程中确保环境友好。影响区域能源安全的因素很多,如人口、经济发展水平、产业结构、能源资源储备、能源基础设施等。因此,在考虑到区域能源安全的内涵及影响因素的基础上,从区域能源供应安全、能源需求安全、能源使用安全三个方面来构建区域能源安全评价体系,主要由目标层、维度层、度量层、指标层构成,其中度量层由资源禀赋、可获得程度、技术发展、能源管理、经济社会发展、普惠程度、消费结构、利用效率、环境影响、环境保护组成。能源供应方面,选择能源总储量、能源生产多元化指数、对外依存度、市场流动性、地质勘查投入强度、能源工业投资等指标;能源需求方面,选择人均GDP增速、人口增长率、城镇化率、产业结构、能源消费弹性系数、农村人均用电量、能源价格等指标;能源使用方面,选择消费多元化指数、非化石能源消费比例、单位GDP能耗、人均碳耗、人均废水的排放量、废气排放强度、节能环保投入强度等指标。具体的区域能源安全评价体系与各指标的权重见表2。

3 研究结果

3.1 重庆能源安全整体分析

考虑到数据的可获得性和统一性,对重庆2006-2016年的能源安全状况进行分析。2006-2016年重庆能源安全总体及各子系统安全变化趋势见图1。由图1可知,2006-2016年重庆的能源综合安全呈现曲折上升的趋势,从2006年的0.4219上升至2016年的0.5698,其中2011年的能源综合安全值最低,仅有0.3639。通过灰色关联分析可知,重庆能源综合安全与能源供应、能源需求、能源使用的关联度分别为0.598、0.826、0.477,说明重庆的能源综合安全与能源需求安全的关系相对密切。

重庆能源综合安全与各指标的关联度见图2。由图2可知,关联度较高的8个指标为:生产多样性城镇化率能源消费多样性能源价格工业占GDP比重总储量市场流动性节能环保支出强度,其中生产多样性与重庆能源综合安全的关联程度最高,关联度达到0.9362。

2 重庆能源安全评价体系及权重

目标层维度层度量层指标层定义作用方向权重重庆能源安全能源供应安全能源需求安全能源使用安全资源禀赋可获得程度技术发展能源管理经济社会发展普惠程度消费结构利用效率环境影响环境保护能源总储量各地区煤炭、石油、天然气的总储量+0.0328能源生产多元化指数PDI=-∑ni=1QijlnQij,Qij为j区域内i种能源在能源生产总量中的份额+0.0693对外依存度D=外省区、市()调入量消费量×100%-0.0880市场流动性中国能源供给总量与某区域能源消费量之比+0.0399地质勘查投入强度各地区地质勘查投入占地区生产总值的比重+0.0589能源工业投资-+0.0845人均GDP增速--0.0492人口增长率各地区当年人口增加量占人口总量的比重-0.0404城镇化率--0.0474产业结构各地区工业增加值占地区生产总值的比重-0.0266能源消费弹性系数能源消费总量增长速度与地区经济增长速度的比值-0.0506农村人均用电量农村用电量与农村人口的比值+0.0461能源价格电力供应产品生产者出厂价格指数/居民消费价格指数-0.0404消费多元化指数CDI=-∑ni=1PijlnPij,Pij为j区域内i种能源在能源消费总量中的份额+0.0358非化石能源消费比例电力热力等非化石能源占能源消费的比重+0.0527单位GDP能耗各地区能源消费与地区生产总值的比值-0.0536人均碳耗各地区碳排放量与常住人口的比值-0.0786人均工业废水的排放量工业废水排放总量与常住人口的比值-0.0327工业废气排放强度工业废气排放总量与地区生产总值的比值-0.0319节能环保投入强度地方财政节能环保支出占GDP比重+0.0405

图1 2006-2016年重庆能源安全总体 及各子系统安全变化趋势

图2 重庆能源综合安全与各指标的关联度

从安全等级标准看,能源状况呈现临界安全—较不安全—临界安全,其中2007-2011年安全水平较低,处于较不安全状况,尤其是2009-2011年安全形势更是呈恶化态势,这是由于在全国经济下行的态势下,重庆经济依然保持快速增长,年均增速达到16.13%,导致了工业废气排放量的大幅度增加。2012年后,能源安全状况有所好转,处于临界安全的状态,由2011年的0.3639上升为2016年的0.5698,这得益于经济高速增长背后的经济结构、能源结构的调整等。

3.2 重庆能源安全子系统分析

3.2.1 能源供应安全子系统

从能源供应维度来看,重庆的能源供应安全大体呈现先下降、后上升,然后再下降曲折变化的态势。2006-2016年重庆能源安全总体及各子系统接近度(C值)的变化趋势见图3。从安全等级标准看,除2006年、2014年、2015年的能源供应属于临界安全状态,其余年份均处于较不安全状态。采用灰色关联分析重庆能源供应安全值与各指标的关联程度发现:市场流动性地质勘查投入强度生产多样性总储量能源工业投资能源对外依存度。

图3 2006-2016年重庆能源安全总体 及各子系统接近度(C值)的变化趋势

能源供应安全状况的产生主要与重庆少煤缺油的资源禀赋、国际石油价格以及页岩气勘探开采有关,特别是2012年后,随着首个商业开发的涪陵页岩气田获得高产页岩气流,地质勘查投入获得大幅度提高,2015年达到最高的167008.66万元,比2006年提高了2.3倍。受到石油储量较低、国际石油价格走低及增加石油战略储备的国家战略影响,石油的进口量与调入量都大幅度提高,这引起市场流动性、能源对外依存度的提高,相比于2006年,到2016年重庆的能源对外依存度提高了44.80个百分点。同时,石油、天然气等消费比重的提高,导致重庆的能源生产多样性由2006年的0.605上升至2016年的0.921。受到重庆经济增速放缓、有效需求不足、大宗商品价格持续下降等因素影响,重庆的地质勘查投入、能源工业投资有不同程度的下降,导致2016年的能源供应安全值、能源供应安全接近度都有所下降。

3.2.2 能源需求安全子系统

从能源需求维度来看,重庆的能源需求安全总体呈现上升的态势,特别是2011年后,呈现稳步上升的趋势。除2007年、2009-2011年的能源需求属于较不安全状态,其余年份均处于临界安全状态。利用灰色关联分析重庆能源需求安全值与各指标的关联程度发现:城镇化率能源价格工业占GDP比重人均GDP增速能源消费弹性系数农村人均用电量常住人口增长率。

据统计,重庆的城镇化率呈现稳定上升的态势,由2006年的46.7%上升至2016年的62.6%;工业占GDP比重则整体呈现下降的趋势,由2006年的40.1%降至2016年的34.4%;人均GDP增速的变化趋势跟经济增速变化趋势类似,呈现先上升,遭受金融危机后下降的趋势;通过农网改造升级、实施光伏发电项目与“村村通动力电工程”等,农村人均用电量得到提高,由2006年的307.54 kWh/人,增至2016年的690.31 kWh/人,这些因素的变化都在极大程度上影响了重庆能源消费量,同时也为该地区的能源需求安全变化做出了贡献。

3.2.3 能源使用安全子系统

从能源使用维度来看,重庆的能源使用安全呈现曲折上升的态势,特别是2013年后,呈现逐步上升的趋势。除2011年、2013-2014年的能源使用属于较不安全状态,其余年份均处于临界安全状态。利用灰色关联分析重庆能源使用安全值与各指标的关联程度发现:非化石能源消费比重人均碳排放节能环保支出强度能源消费多样性废气排放强度单位GDP能耗人均工业废水排放量。

能源使用安全变化趋势主要与能源消费种类增加,特别是非化石能源消费比重上升,能源利用效率提高、节能环保支出加大、碳排放量与工业废气排放量增加有关。重庆的能源消费多样性呈现曲折上升的态势,由2006年的1.015增至2016年的1.195。重庆的单位GDP能耗由2006年的1.06 t标准煤/万元(以1997年为基年)降至2016年的0.63 t标准煤/万元,能源利用效率显著提高。节能环保支出也由2006年的27.19亿元增至2016年的136.19亿元。此外,随着“蓝天、碧水、宁静、绿地、田园”五大环保行动的实施,工业废水排放总量得到大幅度降低,由2006年的85866万t降至2016年的25874万t。但随着火电以及钢铁、化工等传统耗能行业的发展,重庆的工业废气排放整体呈现上升的趋势,由2006年的5066.96亿Nm3增至2016年的12161.24亿Nm3。此外,随着人口增多、城镇化水平提高等,人均碳排放量由2006年的0.87 t增至2016年的1.52 t。研究表明虽然重庆生态保护与建设取得显著成效,但要把重庆建成山清水秀美丽之地,任重道远,还需要扎实推“生态优先、绿色发展”之路。

4 结论与讨论

4.1 结论

(1)从重庆能源综合安全状况来看,2006-2016年间呈现曲折上升的趋势,由临界安全—较不安全—临界安全,其中2007-2011年安全水平较低,处于较不安全状况,2012年后,能源安全状况有所好转。研究表明随着重庆对生态文明建设和生态环境保护工作重视程度的加强,在能源供应、需求、使用等方面取得了较大的进展,但能源安全整体水平仍较低,尤其是要建设“两地”,实现“两高”,重庆还需要投入更多的关注与努力。

(2)从重庆能源安全各子系统来看,一是能源供应安全大体呈现先下降、后上升,然后再下降曲折变化的态势,除2006年、2014年、2015年外,均处于较不安全状态。二是能源需求安全整体呈现上升的态势,特别是2011年后呈现逐渐上升的趋势。除2007年、2009-2011年外,均处于临界安全状态。三是能源使用安全状态呈现曲折上升的态势,特别是2013年后呈现逐步上升的趋势。除2011年、2013-2014年外,均处于临界安全状态。

(3)由灰色关联分析可知,一是能源消费与能源综合安全关系比较密切;就指标来看,生产多样性、城镇化率、能源消费多样性、能源价格、工业占GDP比重、总储量、市场流动性、节能环保支出强度对能源综合安全的影响较大。二是市场流动性、地质勘查投入强度、生产多样性、总储量对能源供应安全有较大关系。三是城镇化率、能源价格、工业占GDP比重、人均GDP增速、能源消费弹性系数、农村人均用电量都与能源需求安全有较大关系。四是非化石能源消费比重、人均碳排放、节能环保支出强度等与能源使用安全有较大关系。

4.2 讨论

(1)基于上述研究,改善重庆能源安全状况还需要关注以下方面:构建积极、合理、有序的能源资源勘探机制,应加快页岩气资源勘探开发技术研发和应用,加强商业性矿产勘查工作;加强油品储备和设施建设,完善石油储备体系;大力开发新能源,优化能源生产、消费结构,提高非化石能源的消费比重;优化调整产业结构,鼓励发展低能耗高附加值的高新技术产业与第三产业;继续“集约、智能、绿色、低碳”的新型城镇化等。

(2)研究主要着眼于市域尺度上的时间变化分析,而对县域尺度的差异缺乏对比。鉴于数据的可获取性与数据统计口径的一致性,在时间尺度、指标选择上难以全面地反映能源安全的综合状态。同时,区域能源安全是动态变化的概念,因此,为深入理解能源供应、需求、使用变化的特征和状况,需要持续地进行研究,并在研究区域、尺度、指标选取、评价方法等方面可做进一步的深入分析。

参考文献:

[1] 江泽民.对中国能源问题的思考[J].上海交通大学学报,2008(3)

[2] 蔡国田,张雷.中国能源安全研究进展[J].地理科学进展,2005(6)

[3] 张艳,沈镭,于汶加.基于 DPSIR 模型的区域能源安全评价:以广东省为例[J].中国矿业,2014(7)

[4] 刘立涛,沈镭,张艳.中国区域能源安全的差异性分析——以广东省和陕西省为例[J].资源科学,2011(12)

[5] 胡健,孙金花.能源消耗弹性控制下的区域能源安全动态评价[J].安全与环境学报,2016(5)

[6] 孙涵,聂飞飞,胡雪原.基于熵权TOPSIS 法的中国区域能源安全评价及差异分析[J]. 资源科学,2018(3)

[7] 薛静静,沈镭,彭保发等.中国能源生产和消费大省的能源供给安全综合评价及优化——以陕西省和广东省为例[J].自然资源学报,2015(10)

[8] 苏飞,张平宇.中国区域能源安全供给脆弱性分析[J].中国人口· 资源与环境,2008(6)

[9] 梁文群,张荣霞,赵国浩.基于系统科学视角的山西省能源安全综合评价[J].系统科学学报,2014(1)

[10] 王忠诚,李宁,李春华等.基于因子分析方法的江苏省能源安全系统评价[J].中国农学通报,2011(17)

[11] 詹长根,黄鑫鑫.广西能源供需安全问题研究——基于熵权评价方法[J].中国国土资源经济,2017(12)

[12] Olson D L. Comparison of weights in TOPSIS models[J]. Mathematical and Computer Modelling,2004(7-8)

[13] 陈兆荣.基于DPSIR模型的我国区域能源安全评价[J].山东工商学院学报,2013(1)

Research on energy security of Chongqing based on entropy weight TOPSIS method

Sun Guiyan1,2, Wang Sheng1, Xiao Lei3

(1.Chongqing Academy of Social Sciences, Jiangbei, Chongqing 400020, China;2. Southwest University, Beibei, Chongqing 400715, China;3. The Western Branch of Chinese Academy of Urban Planning and Design, Yubei, Chongqing 401121, China)

Abstract The regional energy security evaluation index system was constructed from three aspects: energy supply, energy demand and energy use, and the energy security situation of Chongqing from 2006 to 2016 was evaluated by entropy weight TOPSIS method. Then the grey correlation method was used to discuss the relationship between each index and total energy security, energy supply security, energy demand security and energy use security in Chongqing. It was found that: the energy security in Chongqing had a zigzag rise, from critical security to less security to critical security. Among them, energy demand and energy use showed a zigzag upward trend, mostly in the state of critical security, energy supply presented a downward-upward-downward trend, mostly in a less secure state. Diversity of production, market liquidity, urbanization rate and the proportion of non-fossil energy consumption respectively had the highest correlation with Chongqing's comprehensive energy security, energy supply security, energy demand security and energy use security.

Key words entropy weight TOPSIS method, regional energy security assessment, grey relational analysis, Chongqing

中图分类号 TD-9

文献标识码 A

基金项目重庆市社会科学规划项目(2017BS33)

引用格式孙贵艳,王胜,肖磊. 基于熵权TOPSIS法的重庆能源安全研究[J].中国煤炭,2019,45(2):19-24,68.

Sun Guiyan, Wang Sheng, Xiao Lei. Research on energy security of Chongqing based on entropy weight TOPSIS method [J].China Coal,2019,45(2):19-24,68.

作者简介孙贵艳(1984-),女,山东临沂人,副研究员,博士,主要从事能源可持续研究。

(责任编辑 宋潇潇)

新煤网