新煤网移动版

主页 > 技术资料 > 科技论文

测汞法探测煤田火区在五虎山煤矿的应用

★ 煤矿安全 ★

测汞法探测煤田火区在五虎山煤矿的应用

王 刚1,2

(1.中煤科工集团沈阳研究院有限公司,辽宁省抚顺市,113122;2.煤矿安全技术国家重点实验室,辽宁省抚顺市,113122)

摘 要 从传热传质学角度详细阐述了汞迁移机理,建立了半无限大介质和温度影响下汞迁移的数学模型;介绍了RA-915测汞仪的原理和测试过程,并使用RA-915仪器在五虎山煤矿10号火区进行了现场测试,对10号火区汞浓度进行了数值模拟。结果表明:汞浓度越高,对应区域汞浓度等值线越密集。

关键词 测汞法;煤田火区; 汞迁移机理;汞浓度;超前预测预报

煤层随着煤田大范围开拓并暴露出来,煤田火区范围呈现急速增长趋势。煤田火灾涉及资源保护、环境治理、经济发展等问题,也是阻碍中国煤炭资源可持续开发与矿区可持续发展的重要议题[1]。煤田火区探测方法主要有磁法、电阻法、测氡法、红外热成像法、遥感法等[2]。项目组在研究大气中汞的价态转换过程及迁移机理时,选取了矿区、市区、河边地区进行了试验,通过在煤田火区进行汞浓度测定,发现测定气态汞浓度可以判定煤田火区高温区域[3]。具体测定了五虎山煤矿10号火区下部011203工作面煤中的汞含量、10号火区地表的气态汞浓度。通过上述试验验证了测汞法可以作为探测煤田火区的一种新方法,可以在受煤田火区影响的煤矿推广应用。

1 测汞法探测煤田火区的原理

半无限大介质是指一边有界而另一边无界的均匀多孔介质,计算坐标如图1所示。大地是典型的半无限大介质,因此可以讨论在大地半无限大介质表面汞的迁移现象[4]

图1 半无限介质计算坐标

半无限大介质中的汞迁移现象属于一维现象,根据费克扩散定理和达西定理,介质中汞浓度分布的方程可以表示为:

(1)

式中:c——介质中汞浓度,ng/m3

D——汞在介质中的扩散系数,m/s3

v——介质中的渗流速度,m/s;

η——孔隙度,孔隙度表示土壤的孔隙空间体积与土壤的外表体积的比值,%。

式(1)中边界条件为x=0,c=c0x=∞,c有界。方程的解:

式(2)说明在半无限空间中汞浓度符合指数分布规律,而且与汞的扩散系数、孔隙度、渗流速度有关。

1.1 温度影响下的汞传递过程

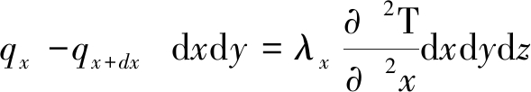
把自燃的煤看作一个微元体,如图2所示。在单位时间内从微元体左侧dydz流入的热能为qxdydz,经右界面流出的热能为qx+dxdydz,则流入的净热能为(qx-qx+dx)dydz。固体在热传输时符合傅里叶定理,则热能可以表示为:

(3)

式中:qx——微元体流入x方向的热能,J;

λ——稀松煤体在x方向上的导热能系数,W /(m· ℃);

热能在x方向求偏导。

图2 煤体能量守恒单元示意

将式(3)按泰勒级数展开至第2项得到:

(4)

式中:qx+dx——微原体流出x方向的热能;

热能在x方向求二阶偏导。

式(3)减去式(4)得到沿x方向净流量:

(5)

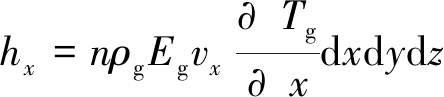
同理可以得到y方向和z方向的净流量,分别为同时在x方向单位时间内空气通过微元体表面孔隙时与煤体发生对流换热,引起空气焓变,则在微元体x方向上的热焓值为:

(6)

式中:n——松散煤体的空隙率,%;

ρg——空气密度,g/cm3

Eg——比热,J/(g·℃);

vx——风流在x方向上的流速,cm/s;

Tg——空气的温度,℃。

同理在yz方向的热焓值分别为:

式中:vyvz——风流在yz方向的流速,cm/s。

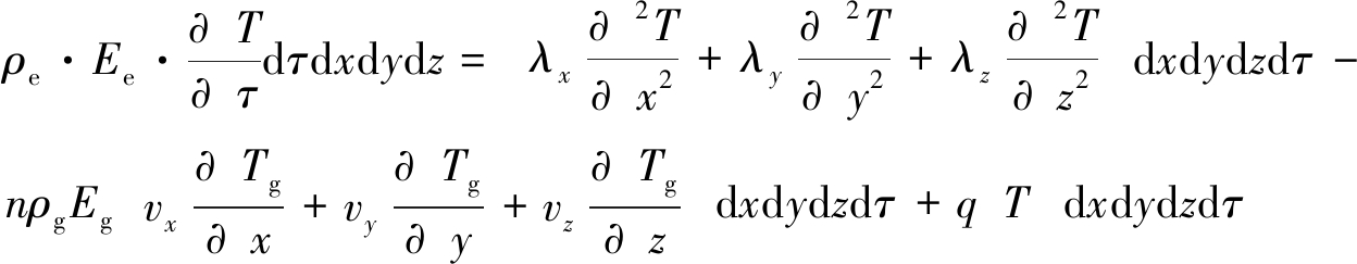
假想煤田火区中的煤在自燃过程中,单位体积单位时间内的煤与氧反应释放的热能为q(T),则在微元体dxdydz中,单位时间内产生的热能为q(T)dxdydz;在时间dτ内,微元体中煤体由于温度升高所接收热能为其中q(T)为煤体在温度为T时的放热强度,J/(cm3·s),ρe为松散煤体的等效密度,g/cm3Ee为松散煤体的等效比热,J/(g·℃)。根据热能平衡理论,温度上升所吸收的热能必须等于从外界流入的净热能、风流带走的焓变和内部热源提供的热能之和,即:

(9)

上述各个公式从传热传质学角度阐述了汞在温度影响下的迁移机理,汞在高温加热下会转换成气态汞。通过汞分析测定煤田火区地表气态汞浓度,火区燃烧越剧烈对应地表裂隙或煤田火区探测孔(观测孔)的气态汞浓度越大,从而判定火区高温异常区域。

1.2 煤中汞的迁移机理

煤燃烧排放到大气环境中的汞有3种价态存在:Hg0、Hg2+和Hgp。汞的迁移转化过程如图3所示。煤燃烧后释放出的气态汞以气态形式释放出来;在催化氧化作用下形成汞化合物;在氯化作用下形成汞的氯化物;在吸附作用下形成汞的p价化合物[5-6]

图3 汞的迁移过程

2 测试仪器原理

RA-915M汞分析仪应用高频调制的塞曼原子接收光谱技术,可以直接测定大气中汞含量,其操作原理如图4所示。光源(汞灯)置入恒磁体H内,汞的共振线λ、σ-、σ+、π可配备不同模块,实现固、液、气多种样品检测,汞的共振线λ=254 mm破裂成3个极化的塞曼组分(π、σ-、σ+)[7]。当光线沿磁场方向传播时,只有σ组分进入检测器[7]。其中σ-能够进入样品池,而σ+在样品池外通过。σ-与σ+组分差值与汞蒸气浓度呈正比例。RA-915M汞分析仪可以在实验室和室外使用,可实时监测钻孔中汞浓度。该仪器每秒获得1个数据,每10 s获得1个平均值,每个钻孔测试3 min[8-12]

3 现场应用

3.1 10号火区概况

10号火区位于五虎山煤田西南,面积约504.1 km2,主要燃烧1号、2号、4号、6号和7号煤层。10号火区分为3个区域,分别为火I区域、火II区域、火III区域,如图5所示,10号火区下部正在开采011203工作面,011203工作面开采12号煤层,10号火区与011203工作垂直距离约130 m,10号火区燃烧的7号煤层距离011203工作面垂直距离约95 m,因此及时探测10号火区高温区域是非常必要的。项目组对10号火区进行了红外热成像扫描,如图6所示。通过对10号火区进行红外成像扫描,初步判断火区高温区域,对高温区域进行气态汞浓度测定,提高了火区的探测效率。

图4 RA-915M汞分析仪操作原理

图5 10号火区位置关系

图6 10号火区红外热成像

3.2 探测结果

首先采集五虎山煤矿011203工作面的煤样、10号火区地表原煤、燃烧的煤样,测试结果见表1。从表1数据可以看出,011203工作面煤中的汞含量最高,最大值达到316.50 ng/g,最小值达到176.80 ng/g。通过原煤和燃煤汞含量值比较,可以看出原煤燃烧后,汞会有大量的汞释放出来,煤田火区中的煤燃烧后,汞会以3种价态形式释放出来,使用RA-915M测汞仪测定煤田火区气态汞浓度就可以分析火区燃烧状况和燃烧区域。项目组测定了10号地表17-7-1号至17-7-11号(17-7-2号和17-7-6号塌孔)9个钻孔内的气态汞浓度,钻孔位置如图5所示。每个钻孔测试3 min,具体测试结果见表2。把表2中各个钻孔坐标、对应钻孔的汞浓度输入模拟软件中进行拟合分析得到10号火区汞浓度等值线图,如图7所示,图中横、纵坐标分别表示监测点纬度和经度。从图7可以看出,汞浓度越高,对应区域等值线越密集,等值线最密集区域对应10号火区火III区域,实际探测结果10号火区温度也是最高的。

图7 10号火区汞浓度等值线

1 煤中汞含量测试数据

位置类型平均值/(ng·g-1)最大值/(ng·g-1)最小值/(ng·g-1)煤场原煤112.05114.90109.20煤场原煤213.15213.90212.40煤场原煤267.65268.00267.30煤场燃煤12.5913.6111.57煤场燃煤10.8410.9510.73煤场燃煤9.4311.197.6712号煤层原煤283.30288.30278.3012号煤层原煤183.65190.50176.8012号煤层原煤303.45316.50290.40

2 10号火区汞浓度测试数据

钻孔编号平均值/(ng·m-3)最大值/(ng·m-3)最小值/(ng·m-3)17-7-1号18.8425.596.4217-7-3号58.1868.5239.8017-7-4号36.8551.5728.3517-7-5号6.427.763.7917-7-7号9.1112.236.2017-7-8号114.80133.9097.2917-7-9号113.20131.7092.8717-7-10号39.1743.1433.0317-7-11号111.00116.20103.10

4 结语

(1)从传热传质学角度解释汞迁移过程,建立了半无限大介质和温度影响下汞迁移的数学模型。煤在受热条件下汞的价态发生转换,煤中汞在燃烧条件下转化为3种价态,分别为Hg0、Hg2+和Hgp,其中Hg0会以气态形式释放出来;使用测定仪测定煤田火区中气态汞浓度,然后对汞浓度数据采用Surfer处理软件进行模拟分析,根据软件的模拟分析结果来确定火区高温区域。

(2)阐述了测汞仪的测试原理和测试过程,并在五虎山煤矿10号火区进行了应用,为煤田火区探测开辟了一种新方法。

(3)测汞法探测煤田火区可以和红外热长像法结合起来应用。首先采用红外热成像法对煤田火区进行初步探测,然后采用测汞法进行精准探测,以提高煤田火区探测的工作效率;此方法可以在其他受煤田火区影响的煤矿推广和应用。

参考文献:

[1] 张建民,管海晏,曹代勇,等.中国地下煤火研究与治理[M].北京:煤炭工业出版社,2008.

[2] 申宝宏,郑行周,湾效杰.煤矿隐蔽致灾因素普查技术指南[M].北京.煤炭工业出版社,2015.

[3] 卢国栋.大面积煤田火区范围圈划及燃烧机理研究[D].北京:中国矿业大学(北京),2009.

[4] 王俊峰.煤地下自燃时覆岩中氡气运移规律及应用研究[D].太原:太原理工大学,2010.

[5] 贺克雕.燃煤烟气中汞的析出及形态变化机理研究[D].昆明:昆明理工大学,2007.

[6] 任建莉.燃煤过程汞析出及模拟烟气中汞吸附脱除试验和机理研究[D].杭州:浙江大学,2003.

[7] 梁言慈.内蒙古乌达煤火典型污染物排放特征研究[D].北京:中国矿业大学(北京),2018.

[8] 万兆昌.综合物探圈定多煤层自燃边界[J].中国煤田地质,1996 (2) :38-40.

[9] 宁靖,张建民,宁书年.磁导成像方法研究及在宁夏汝箕沟煤田火区探测中的应用[J].煤炭学报,2001,26(3):66-69.

[10] 朱晓颖,于长春,熊盛青等.磁法在煤火探测中的应用[J].物探与化探,2007, 31(2) :115-118.

[11] 张秀山.新疆煤田火烧区特征及其勘探灭火问题探讨[J].西北地质,2001, 34(1) :18-26.

[12] 刘洪福,程小平.测氡技术在探测地下火区范围中的应用[J].物探和化探,1997, 21(1) :77-80.

Application of mercury measurement method in detecting coalfield fire area in Wuhushan Coal Mine

WANG Gang1,2

(1. China Coal Technology and Engineering Group Shenyang Research Institute, Fushun, Liaoning 113122, China;2. State Key Laboratory of Coal Mine Safety Technology, Fushun, Liaoning 113122, China)

Abstract The mechanism of mercury migration was described in detail from the perspective of heat and mass transfer, and the mathematical model of mercury migration under the influence of semi-infinite medium and temperature was established. The principle and test process of RA-915 mercury analyzer were introduced, and the field test was carried out in No. 10 fire area of Wuhushan Coal Mine with RA-915 mercury analyzer, and the mercury concentration in No. 10 fire area was numerically simulated. It was concluded that the higher the mercury concentration, the denser the corresponding regional contour line of mercury concentration.

Key words mercury determination method; coalfield fire area; mercury migration mechanism; mercury concentration; advance prediction and forecast

中图分类号 TD75.3

文献标志码 A

引用格式:王刚.测汞法探测煤田火区在五虎山煤矿的应用[J].中国煤炭,2022,48(2)∶34-39. doi:10.19880/j.cnki.ccm.2022.02.006

WANG Gang.Application of mercury measurement method in detecting coalfield fire area in Wuhushan Coal Mine[J].China Coal,2022,48(2)∶34-39. doi:10.19880/j.cnki.ccm.2022.02.006

基金项目:国家自然科学基金面上项目(51774182),中国煤炭科工集团科技创新创业资金专项项目(2018MS014)

作者简介:王刚(1975-),男,辽宁朝阳人,副研究员,博士,研究方向:矿井火灾防治。E-mail:24655311@qq.com

(责任编辑 张艳华)

(责任编辑:admin)