准能选煤厂煤泥水半工业压滤试验研究
时间:2022-02-27 07:52 来源:中国煤炭杂志官网 作者: 点击:次
|
★ 洁净利用与深加工 ★ 准能选煤厂煤泥水半工业压滤试验研究Lv Sheng, Liu Xiao, Liu Libo, et al. Experimental research on semi-industrial pressure filtration of slime water in Zhunneng Coal Preparation Plant [J]. China Coal, 2020, 46(5):92-95. Experimental research on semi-industrial pressure filtration of slime water in Zhunneng Coal Preparation Plant目前,我国煤炭分选以湿法分选为主,通常分选1 t原煤需要使用3~5 m3的水,因此在煤炭洗选加工过程中就会产生大量的煤泥水,选煤厂煤泥水固液分离效果的好坏直接影响全厂的正常生产[1-6]。压滤机作为一种成熟的固液分离设备,在工业生产领域中得到了越来越广泛的应用,其中较为常用的板框式压滤机由滤板、滤框排列构成滤室,在输料泵压力的作用下,将料液送进各滤室,通过过滤介质完成固液分离。 影响煤泥水压滤脱水效果的因素有很多,就煤泥水系统操作参数而言,包括压滤压力、压滤时间和入料浓度。笔者结合影响煤泥水压滤脱水的因素,通过半工业压滤试验研究了入料浓度、压滤压力、压滤时间和助滤剂用量对煤泥水分的影响,通过调控各因素,将煤泥水水分降至24%以下,为现场压滤优化提供了可行性的方案。 1 试验装置与方法1.1 试验样品煤泥水取自准能选煤厂压滤车间加压过滤机入料,从压滤车间入料缓冲桶底流阀通过消防带引入至半工业试验入料搅拌桶,与生产现场同步进行。 1.2 试验装置试验装置采用半工业试验用板框隔膜式压滤机,包括压滤机辅助设备(入料搅拌桶、给料泵、空压机及风包)和压滤机主体。试验现场及设备如图1所示。 1.3 煤泥水压滤脱水试验煤泥水由现场加压过滤机入料缓冲桶引入至试验用搅拌桶,开启搅拌装置,使矿浆处于均匀分散状态,试验流程可表示为进料—预压滤—压滤(预压滤到设定时间后,压滤不停)—循环等待,依次进行入料浓度、压滤压力、压滤时间和助滤剂浓度的条件试验,其中助滤剂使用清水稀释至1%待用,压滤结束后取出滤饼,测定滤饼水分。
图1 试验现场及设备图 2 结果与讨论2.1 入料浓度对滤饼水分的影响入料浓度是影响煤泥脱水的重要因素,在入料初始阶段,浓度高的矿浆固体颗粒含量高,滤饼在滤室中形成速度快,滤饼与滤布同时可作为过滤介质,此时滤布堵塞不严重;当入料浓度低时,会有大量的细颗粒涌入滤布,短时间内就会被截留在滤布孔眼中,对后续煤泥脱水造成不利影响;当浓度过高时,在生产过程中容易在管道中堵塞,从而影响生产。入料浓度对煤泥水脱水的影响如图2所示。 由图2可以看出,随着入料浓度的增加,滤饼水分逐渐降低,当入料浓度为205 g/L时,滤饼水分为27.8%;当入料浓度为380 g/L时,滤饼水分为23.16%,根据现场数据经验,入料浓度选择380 g/L时效果最好,已经达到目标水分24%以下。
图2 入料浓度对煤泥水脱水的影响 2.2 压滤压力对滤饼水分的影响过滤压力是指过滤介质两侧的压力差,是实现悬浮液中固体颗粒与液体分离的动力,压滤脱水压力对煤泥水脱水的影响如图3所示。
图3 压滤脱水压力对煤泥水脱水的影响 由图3可以看出,随着压滤压力的提高,滤饼水分逐渐降低。当压滤压力分别为10 kg、12 kg、16 kg、20 kg和25 kg时,滤饼水分依次为27.41%、26.92%、25.56%、23.16%和23.15%;当压力达到20 kg以上时,滤饼水分变化不明显,如果进料压力过高还可能会产生喷料现象,导致进料压力失控,因此压滤压力最优条件为20 kg,此时滤饼水分为23.16%。 2.3 压滤时间对滤饼水分的影响压滤时间对煤泥水脱水的影响如图4所示。
图4 压滤时间对煤泥水脱水的影响 由图4可以看出,当压滤时间分别为120 s、180 s、300 s、600 s和1200 s时,滤饼水分依次为26.88%、25.66%、23.16%、23.05%和23.01%。随着压滤时间的增加,滤饼水分也逐渐降低,随着压滤时间的增大,滤饼水分降低的趋势逐渐变缓。当压滤达到一定时间后,水分变化不明显,这是由于在过滤前期,滤室中滤饼尚未形成,大量的水分从滤布迅速通过;到了过滤后期,滤饼形成,剩余的水分主要是毛细水,常规压力下难以脱除。另外压滤时间越长,煤泥水压滤的能耗越大,综合分析后,过滤时间最优值选择600 s,这时滤饼水分为23.05%。 2.4 助滤剂用量对滤饼水分的影响助滤剂用量对煤泥水脱水的影响如图5所示。
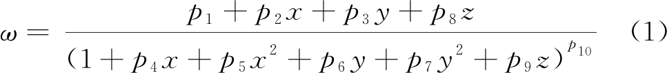
图5 助滤剂用量对煤泥水脱水的影响 由图5可以看出,添加助滤剂后,滤饼的水分明显降低,当用量为600 g/t时,滤饼水分为22.76%,其作用机理在于添加助滤剂后,2个煤颗粒通过助滤剂分子链接一起产生架桥作用,通过增大颗粒的直径来实现增大滤饼的毛细管直径,从而减少过滤阻力,当添加量过大时,反而影响其作用效果,这是由于当药剂过量时,煤颗粒会被药剂分子覆盖,架桥作用就难以实现,综合考虑,助滤剂用量选择600 g/t,此时滤饼水分为22.76%。 2.5 模型建立滤饼水分受煤泥水浓度、压滤压力、压滤时间等多种因素影响,并且各因素与滤饼水分并非是线性的关系,因此需要使用多元非线性拟合的方法来寻找适合的数学模型,利用多元非线性拟合方法得出数学模型,其中拟合优度R2为0.859,见式(1):
式中:ω——滤饼水分, %; x——入料浓度,g/L; y——压滤压力,kg; z——压滤时间,s; pn(n=1,2,…,10)——参数。 参数拟合结果见表1,模型预测及偏差结果见表2。 由表2可以看出,滤饼水分受煤泥水浓度、压滤压力、压滤时间等多种因素影响,该模型R2可达到0.859,非线性拟合对滤饼水分进行了预测,从模型可以看出,随着压滤时间和压滤压力的增加,滤饼水分逐渐减小,因此在实际生产中应进行多参数调控。 表1 参数拟合结果 参数p1p2p3p4p5p6p7p8p9p10拟合结果-56513.60451.40483.20-96.600.501042.40-21.70-2562.60- 706.700.80 表2 模型预测及偏差结果
浓度/ (g·L-1)水压力/kg压滤时间/s滤饼水分/%模拟值/%差值/%2052030027.8027.938-0.1382442030027.2427.280-0.0403202030025.9226.770-0.8503502030025.1625.309-0.1493802030023.1624.500-1.3403801230027.4127.2850.1253801630026.9227.837-0.9173802030025.5625.680-0.1203802530023.1623.1370.0233802030023.1523.239-0.0893802012026.8826.7730.1073802018025.6626.980-1.3203802030023.1624.770-1.6103802060023.0523.225-0.17538020120023.0123.980-0.970 3 结论随着入料浓度的增加,滤饼水分逐渐降低,最佳入料浓度是380 g/L;随着压滤压力的增大,滤饼水分逐渐降低,最佳压滤脱水压力是20 kg;随着压滤时间的增加,滤饼水分先显著减少后趋于平缓,最佳压滤脱水时间是600 s;添加助滤剂后,滤饼的水分明显降低,当用量为600 g/t时,效果最佳,滤饼水分为22.76%,滤饼水分与各影响因素之间存在非线性关系,可以通过拟合可得到R2为0.859的模型,该模型较好的拟合了半工业试验的数据,对于指导工业试验具有一定的意义。 [1] 汪水清, 朱金波, 朱再胜. 选煤厂煤泥压滤工艺优化及成本控制研究[J].煤炭加工与综合利用, 2017 (1) :33-35. [2] P. Hansdah, S. Kumar, N.R. Mandre. Performance optimization of dewatering of coal fine tailings using Box-Behnken design[J].Energy Sources, Part A: Recovery, Utilization, and Environmental Effects, 2017,40 (1):75-80. [3] 张秀文.压滤与加压过滤滤饼粒度分布特性研究[D].太原:太原理工大学, 2018. [4] 赵海峰, 张文东, 孙亮.泊江海子选煤厂压滤煤泥降水研究与实践[J].选煤技术, 2018 (3) :72-74. [5] 黄文辉,武彦,刘利波等.选煤厂煤泥压滤脱水研究[J].中国煤炭,2020,46(2):77-80. [6] 王东辉,刘文礼,张学仁等.煤泥水压滤滤饼孔隙结构特征研究[J].矿业科学学报,2017,2(2):183 -190. (责任编辑:admin) |
- 上一篇:三起煤矿事故的成功救援和思考
- 下一篇:配入长焰煤对压块炭孔结构的调控作用
