新煤网移动版

主页 > 技术资料 > 科技论文

综放工作面采空区遗煤分布规律模拟试验研究

★ 科技与工程 ★

综放工作面采空区遗煤分布规律模拟试验研究

李文涛1 刘志文1 史建设1 傅 琦1 刘 鹏2

(1.甘肃华亭煤电股份有限公司东峡煤矿,甘肃省华亭市,744100;2.中国矿业大学安全工程学院,江苏省徐州市,221116)

摘 要 矿井煤自燃不仅造成大量的煤炭资源损失,而且严重威胁煤矿的安全生产。针对厚煤层的地质特点,构建了综放工作面采空区遗煤厚度分布模拟试验系统,研究了工作面倾角对采空区遗煤分布规律的影响。结果表明对缓倾斜和急倾斜工作面,遗煤厚度从采空区高位处到低位处逐渐增大,且倾角越大增大的趋势越明显;由此确定了不同倾角条件下,采空区遗煤厚度的分布函数。

关键词 煤自燃 急倾斜煤层 综放工作面 采空区 遗煤厚度分布

目前,我国很多矿井主要工作面为超长、特厚、易燃煤层特大型综放工作面,易发生采空区自然发火,自然发火不仅造成大量煤炭资源浪费和严重的环境污染,还会产生巨大的安全隐患[1-3]。复杂条件综放开采工作面具有明显的影响煤炭自然发火的因素,主要包括:综放工作面采高较高,有些可达到15~20 m,导致采空区空间大,加之放煤不充分、浮煤多,易引发煤自燃;对于倾斜工作面,采空区浮煤呈立体分布,黄泥灌浆时浆水沿底板流走,采空区上部浮煤易氧化自燃[4-5]

采空区内一定厚度的遗煤是采空区煤自燃的必要条件。当采空区遗煤达到一定的厚度、遗煤氧化产生的热量大于向围岩散发及风流带走的热量时,会引起采空区遗煤蓄热升温,最终导致遗煤自燃[6-8]。相关学者开展了相似研究,对采空区的遗煤分布规律进行了探究。张春等应用松散介质理论、放煤椭球体理论及三维数值模拟方法对综放采空区遗煤的空间分布形态、采空区顶板压力及空隙率分布进行分析,发现采空区遗煤厚度分布的确定应是非连续、非均匀的[9];桑朋对麻家梁矿14101、14102综放工作面进行了长期跟踪观测并进行了遗煤厚度计算,发现采空区遗煤在靠近工作面进风巷道和回风巷道侧呈梯形分布,在竖直方向上,采空区遗煤呈带状分布,底部位置为浮煤堆积区,中部位置遗煤与矸石混合分布,局部区域由于放煤的不确定性,会出现大范围浮煤聚集[10]

传统的综放工作面采空区遗煤分布研究仍停留在水平工作面,对于缓倾斜和急倾斜工作面的遗煤厚度分布研究较少,且没有考虑煤层倾角对采空区遗煤分布的影响。因此笔者设计了一套遗煤分布规律模拟试验系统,通过模拟试验探究不同倾角情况下综放工作面采空区的遗煤分布规律。

1 试验系统设计

1.1 试验系统

采空区遗煤分布规律模拟试验平台如图1所示,该试验系统主要由可调倾角平台、角度仪、模拟采空区、挡板等组成。其中模拟采空区所用材质为透明有机玻璃,便于观察遗煤的分布情况及厚度的测量。但有机玻璃表面较为光滑,其与采空区底板摩擦阻力系数相差较大,故在试验平台底部用胶粘上一层碎煤来增加摩擦阻力,以达到与实际采空区底板相似的摩擦阻力系数。模拟采空区置于可调倾角平台上,可借助角度仪定量调整模拟采空区的倾角,从而模拟不同倾角情况下综放工作面采空区的遗煤分布规律。

1.2 试验准备及步骤

试验煤样选用处于华亭矿区煤5层具有代表性的东峡煤矿煤样,根据试验平台长度与实际采空区倾向长度的比例,制作与采空区遗煤粒径呈相似比例的碎煤。用档板将模拟采空区分为上下两部分,在插板上均匀放置碎煤,试验将档板匀速抽出,碎煤落在模拟采空区的底板上。调节试验平台倾角,在5°~55°之间变化,以10°为间隔,重复进行试验,记录试验平台不同位置的遗煤厚度,用origin软件拟合后,得出不同倾角下遗煤厚度分布规律及计算公式。

图1 采空区遗煤分布规律模拟试验平台

2 试验结果及分析

2.1 遗煤厚度随煤层倾角的变化规律理论分析

采空区遗煤厚度分布因采空区遗煤的复杂性及采空区的封闭性而难以实际测得。对于水平及近水平工作面,在回采率基本不变的情况下,采空区内遗煤均匀分布,可通过间接计算得出;对于放顶煤开采的缓倾斜和急倾斜工作面,采空区上覆遗煤较多,当工作面推过后,采空区上覆煤体垮落,撞击底板后向采空区下部滚落或滑落。采空区倾向上覆遗煤垮落过程如图2所示。

图2 采空区倾向上覆遗煤垮落过程

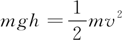
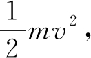
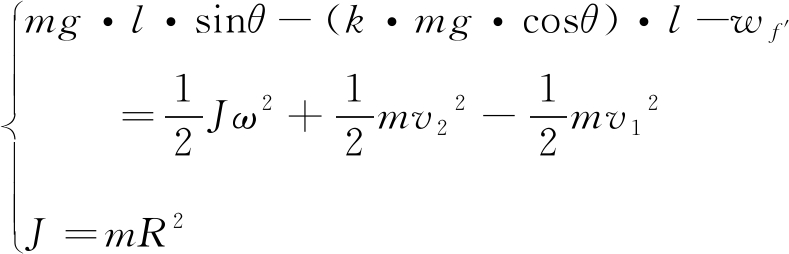
垮落遗煤从上覆煤岩落在采空区底板的过程,可根据能量守恒得:

(1)

式中:m——垮落遗煤的质量,kg;

g——重力加速度,取9.8 m/s2;

h——采空区上覆遗煤下落高度,m;

v——遗煤落到采空区底板时的速度,m/s。

由式(1)可知,煤块落到底板时动能为落到底板时速度:

(2)

当采空区倾角为θ,煤块落到底板时沿倾向分速度为:

(3)

式中:v1——沿倾向分速度,m/s。

若底板摩擦阻力因数为k,煤块所受底板摩擦力:

f=k·mg·cosθ

(4)

式中:f——煤块所受底板摩擦力,N;

k——底板摩擦阻力因数。

若垮落煤块在底板摩擦力的作用下向下运动一段距离后停下,根据能量守恒得:

式中:l——遗煤运动距离,m。

当垮落煤块下落距离h和底板摩擦阻力因数k一定时,垮落遗煤运动距离l随工作面倾角θ的增大而增大,即工作面倾角越大,向采空区下部滚落或滑落的遗煤越多。

当遗煤几何形状为类球体时,在滑动下落的同时也做滚动。滚动摩擦力大小:

(7)

式中:f′——煤块滚动摩擦力,N;

k′——滚动摩擦阻力因数,m;

R——类球体煤块的半径,m。

由动能守恒,可得:

(8)

式中:wf——滚动摩擦力做功,J;

J——遗煤转动惯量,hg·m2

ω——遗煤滚动角速度,rad/s;

v2——遗煤滚落到采空区底部时的速度,m/s。

由式(7)、(8)可以看出,在垮落遗煤质量和滚动摩擦阻力系数一定的情况下,滚动摩擦力大小与滚动遗煤的几何半径呈反比,故尺寸越大的遗煤所受滚动摩擦力越小,重力做功大部分转化为滚动动能及滑动动能,导致遗煤直接滚落到采空区底部。

2.2 遗煤厚度随煤层倾角的变化规律

记录不同倾角遗煤厚度分布如表1所示。

表1 采空区遗煤厚度分布

距高位端头距离/mm不同试验平台角度下采空区遗煤厚度/mm5°15°25°35°45°55°035201050.10.1100342518100.20.1200352524200.50.3300362730230.60.4400383032250.70.5500373033280.80.66003732373010.87003933373321800383640394190038354240105100040404343181011004037444522301200413940474753130040384345567614004142434572851500423845489096160042434550100100170043424655100100180044464963100100190044465065100100200044475370100100

不同倾角条件下采空区遗煤厚度分布模拟图见图3。通过分析可以发现,对于缓倾斜和急倾斜工作面,遗煤厚度从采空区高位处到低位处均呈现逐渐增大的趋势,且工作面倾角越大,遗煤厚度增大的趋势越明显。倾角为5°的近水平角度时,采空区遗煤分布较为均匀,但遗煤厚度仍有从高位处到低位处增大的趋势。倾角为15°、25°时,采空区遗煤厚度从高位处到低位处增大的趋势平缓。倾角为35°时,采空区中部80~160 cm区段与倾角为15°、25°时一样,均出现了遗煤分布较为均匀的现象,遗煤厚度增加不明显,而160~200 cm处的遗煤堆积曲线比前面要陡,呈现明显的堆积形态。倾角为45°和55°时,0~80 cm采空区遗煤较少,80~160 cm区段的采空区遗煤急剧升高,到160 cm以后,遗煤已完全将采空区下部填满,采空区遗煤基本堆积在中下部。

图3 不同倾角下采空区遗煤厚度分布模拟及拟合曲线

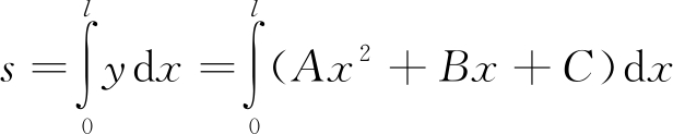
2.3 采空区遗煤分布厚度计算公式

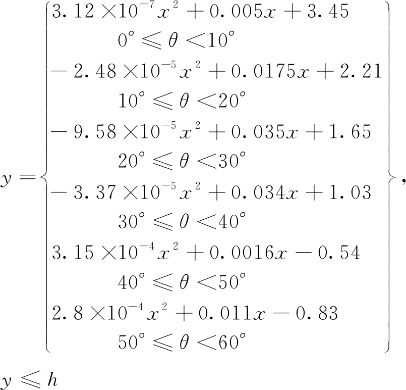
根据遗煤厚度分布曲线,将采空区遗煤厚度拟合为二阶幂函数y=Ax2+Bx+C,则拟合得到不同角度遗煤厚度公式:

(9)

式中:x——距上巷距离,cm;

y——测点x处遗煤厚度,cm;

θ——工作面倾角,(°);

h——煤层厚度,cm。

拟合公式仅表达出遗煤堆积的规律及趋势,因为不同采空区遗煤量不同,所以要对拟合公式中的常数C重新计算。模拟采空区倾向遗煤分布截面图见图4。

图4 模拟采空区倾向遗煤分布截面图

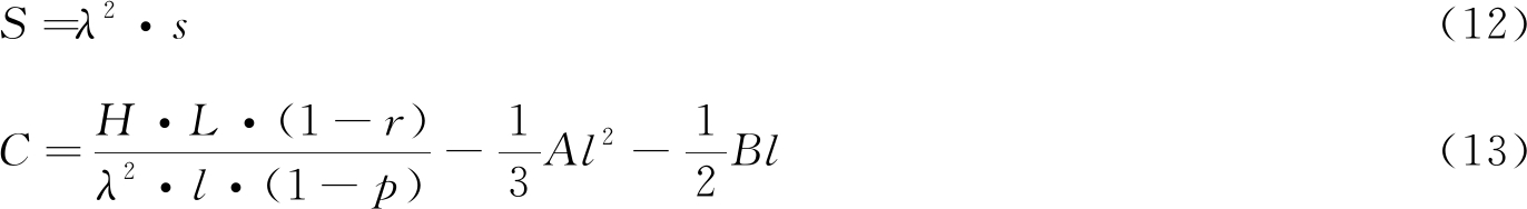
模拟采空区的遗煤沿工作面倾向的截面积为s,则:

(10)

实际采空区的遗煤沿工作面倾向截面积为S,则:

(11)

若实际采空区与模拟采空区相似比为λ,则:

式中:H——煤层厚度,m;

L——工作面倾向长度,m;

r——回采率;

p——孔隙率。

将式(13)带入式(9)的常数C中即得到在不同θ下,不同遗煤量的常数修正:

3 结语

(1)分析了工作面倾角对采空区遗煤分布的影响,对于缓倾斜和急倾斜工作面,煤层倾角越大,采空区垮落遗煤运动距离越远,重力做功大部分转化为滚动动能及滑动动能,导致采空区遗煤易在采空区下部堆积。

(2)设计并开展了采空区遗煤厚度分布模拟试验。试验结果表明:对于缓倾斜和急倾斜工作面,遗煤厚度从采空区高位处到低位处逐渐增大,且倾角越大,增大的趋势越明显。通过试验研究得到了不同工作面倾角时采空区遗煤厚度的分布函数。

参考文献:

[1] 张西斌,周刚. 特厚煤层综放分层开采技术研究[J].煤炭科学技术, 2004,41(7):38-39.

[2] Wei Liu,Yueping Qin,Congling Shi,et al. Dynamic evolution of spontaneous combustion of coal in longwall gobs during mining-stopped period[J]. Process Safety and Environmental Protection,2019,132.

[3] 殷春伟.深部大倾角综放工作面采空区自燃三带研究[J].煤炭科学技术,2014,42(S1):97-99,101.

[4] 谢俊文,李德玺,上官科峰. 急倾斜厚煤层高效综放长壁开采技术[M].北京:煤炭工业出版社,2005

[5] 王海文,张有前,李崇茂,等.厚煤层综放工作面综合防灭火技术[J].煤矿安全,2013,44(10):85-87.

[6] 徐精彩, 薛韩玲, 文虎, 等. 煤氧复合热效应的影响因素分析[J]. 中国安全科学学报, 2001, 11(2):31.

[7] 贾红果,王伟,张睿.易燃厚煤层综放工作面末采和回撤期间防灭火技术[J].煤矿安全,2014,45(3):69-71.

[8] 许洪亮,石长坤,乔晓辉.容易自燃煤层大倾角综放工作面回撤期间防灭火技术[J].煤炭科技,2017(4):192-194.

[9] 张春, 题正义, 李宗翔,等. 综放采空区遗煤厚度的分布规律及模拟研究[J]. 安全与环境学报, 2012(6):205-209.

[10] 桑朋. 麻家梁矿采空区遗煤自然发火规律实验研究[D].徐州:中国矿业大学, 2015.

Simulation experimental study on distribution law of residual coal in goaf of fully mechanized caving face

Li Wentao1, Liu Zhiwen1, Shi Jianshe1, Fu qi1, Liu Peng2

(1. Dongxia Coal Mine, Gansu Huating Coal Power Co., Ltd., Huating, Gansu 744100, China;2. School of Safety Engineering, China University of Mining and Technology, Xuzhou, Jiangsu 221116, China)

Abstract Coal spontaneous combustion not only causes a lot of coal resource loss, but also seriously threatens the safety production of coal mine. According to the geological characteristics of thick coal seam, the simulation experimental system of residual coal thickness distribution in goaf of fully mechanized caving face was constructed, and the influence of working face dip angle on the distribution law of residual coal in goaf was studied. The results showed that for gently inclined and steeply inclined working faces, the thickness of residual coal gradually increased from the high position to the low position of the goaf, and the larger the dip angle, the more obvious the increasing trend. On the basis of the results, a distribution function between residual coal thickness and dip angle of goaf was determined.

Key words coal spontaneous combustion, steeply inclined coal seam, fully mechanized caving face, goaf, residual coal thickness distribution

移动扫码阅读

引用格式:李文涛,刘志文,史建设,等. 综放工作面采空区遗煤分布规律模拟试验研究[J]. 中国煤炭,2020,46(11):123-127.doi:10.19880/j.cnki.ccm.2020.11.020

Li Wentao, Liu Zhiwen, Shi Jianshe, et al.Simulation experimental study on distribution law of residual coal in goaf of fully mechanized caving face[J]. China Coal,2020,46(11):123-127.doi:10.19880/j.cnki.ccm.2020.11.020

中图分类号 TD745

文献标识码 A

作者简介:李文涛(1986-),男,甘肃灵台人,通风工程师,通灭主管,研究方向为一通三防技术管理。E-mail:173153041@qq.com。

(责任编辑 郭东芝)

(责任编辑:admin)