新煤网移动版

主页 > 技术资料 > 科技论文

砂岩力学特性与本构方程

★ 科技与工程 ★

砂岩力学特性与本构方程

姜永东1 谢英亮1 沈 平2 杨启军2 邹 勇2 覃旭东2 何清锋2

(1.重庆大学煤矿灾害动力学与控制国家重点实验室,重庆市沙坪坝区,400044;2.四川川煤石洞沟煤业有限责任公司,四川省广元市,628211)

摘 要 采用MTS815岩石力学测试系统和CT机对高围压下砂岩的变形规律和断裂特征进行了试验研究,得到岩石应力应变全过程曲线。研究表明,岩石变形规律分为初始压密、弹性变形、应变硬化、应变软化4个阶段;随围压的增高,岩石的强度和残余强度增大,峰值应力点对应的轴向应变、横向应变增大,弹性变形阶段增长,岩石呈脆性-塑性-延性转变;三轴压缩试验试件破坏形式为剪切破坏,且破裂面与水平方向的夹角随围压的增高而减小。根据岩石的变形规律,对邓肯-张(Duncan-Chang)本构方程进行了改进,改进的本构方程能更好地描述岩石的变形特性。

关键词 砂岩 应力应变 邓肯-张模型 岩石断裂

岩石本构模型有弹性模型、弹塑性模型、粘弹塑性模型、损伤模型等,国内外学者进行了大量的研究,文献[1]通过研究岩石加卸载过程的变形特性,修正了硬化函数,建立了与等效塑性应变相关联的损伤模型;文献[2]基于湿度场理论和膨胀性试验,建立了岩石膨胀本构模型;文献[3]基于应变等效假设和真实应力概念的弹塑性损伤理论,建立了岩石三维弹塑性损伤本构模型;文献[4]建立了应变能密度的非均质岩石损伤本构模。这些模型考虑了岩石材料的非均质性、非连续性,同时也考虑了温度、湿度对岩石材料的影响。

邓肯- 张(Duncan-Chang)模型是典型的非线性弹性模型,是邓肯(Duncan)等人基于增量广义Hooke定律和常规三轴压缩试验,得到了主应力差与轴向应变为双曲线,建立了Et- μt模型和Et- Bt模型[5-6]。该模型概念清晰,理论推演严格,参数简单,能很好反映土的非线性、压硬性和应变强化特性。但是该模型的不足之处没有考虑中间主应力σ2对强度和变形的影响,较难反应岩土体的剪胀性和应力路径的影响。为此,国内外学者对该模型进行了改进,有4种改进方法[7]

(1)保持摩尔-库仑准则不变,令侧限压力σ3为:

(1)

式中:σ1——最大主应力;

σ2——中间主应力。

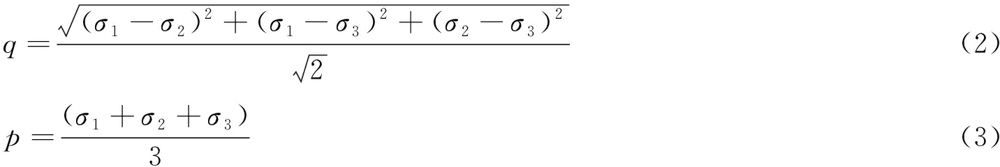
(2)用qp分别代替邓肯- 张模型中的主应力σ1σ3[8],广义剪应力q、平均正应力p为:

(3)用来代替所有侧限压力σ3

(4)因工程中常见的变形是平面应变,常规三轴的应变条件是轴对称,因此对内摩擦角进行了修正:

(4)

式中:Φc——轴对称应力条件下的内摩擦角;

Φp——平面应变条件下的内摩擦角。以上这4种改进方法都考虑了中间应力σ2对土体强度和变形的影响,改进方法(1)和(2)属于正弹模、泊松比一类,改进方法(3)修正了弹性模量、泊松比和摩尔-库仑准则,改进方法(4)修正了摩尔-库仑准则。

因岩石的变形与土的变形存在较大差异,以上改进的邓肯-张模型只能描述土体的变形,不能描述岩石应变软化阶段、残余强度、剪胀性。因此基于该模型的优缺点,在试验研究的基础上对该模型进行了改进,使之能描述岩石材料的变形特性。

1 高围压下砂岩力学特性的试验研究

1.1 试验设备

试验设备为美国MTS公司生产的MTS815岩石力学试验系统,该岩石力学试验机主要测试岩石等材料在高温、高围压条件下的力学性质及渗流特性,轴向最大载荷2800 kN,围压最大80 MPa,孔隙压力最大80 MPa,温度最高200℃。可以采用力、位移、轴向应变、横向应变等控制方式,测试精度高、性能稳定,能测试岩石的应力- 应变全过程曲线。

试验岩样取至四川川煤石洞沟煤矿,岩性为砂岩,将岩块加工成为圆柱体试件,试件直径50 mm,高度100 mm,试件上下端面的平整度小于0.02 mm。试验测试采用位移控制方式,加载速度为0.1 mm/min,围压分别为0 MPa、20 MPa、40 MPa、60 MPa,试件加工和测试符合国际岩石力学学会(ISRM)的标准。试验前后用CT机对试件进行横断面、纵断面扫描,分析三轴压缩试验岩石的断裂特征。

1.2 高围压下砂岩力学特性

砂岩在不同围压下的应力- 应变全过程曲线如图1所示。由图1中可以看出:岩石的应力应变全过程分为4个阶段[9-12]:初始压密(OA)、弹性变形(AB)、应变硬化(BC)和应变软化(CD),岩石轴向应力与轴向、横向、体应变曲线如图2所示。初始压密阶段和弹性变形阶段轴向应变大于横向应变,体应变增加,试件体积减小,岩石被压密实,部分原生裂隙闭合,围压增高岩石弹性段(AB)增长;应变硬化阶段应力与轴向应变为非线性关系,这个阶段体应变有一个最大值,即屈服点S,这个点对应的应力为屈服应力(σS),屈服点之前试件的体应变都在增大,试件体积减小,屈服点之后,试件的横向变形迅速增加,体应变开始减小,试件体积开始增大,到峰值时,体应变趋于零,试件又恢复原体积。这个阶段岩石内部开始产生微裂隙,且裂隙随加载载荷增加加速扩展,最终裂隙汇合贯通使岩石破裂;应变软化阶段(CD)试件体积膨胀,体应变为负值,说明试件体积大于原体积,试件破裂后,岩石的承载能力没有完全丧失,还具有一定的承载能力,强度减弱到残余强度。

图1 三轴压缩砂岩应力应变全过程曲线

图2 岩石轴向应力与轴向、横向、体应变曲线

随围压的增高,岩石三轴抗压强度和残余强度增大,峰值应力点对应的轴向应变、横向应变增大,体应变趋于0;随围压的增高,弹性阶段(AB)的长度增加,岩石呈脆性- 塑性- 延性转变。CT机扫描岩石三轴压缩试验试件破坏形式如图3所示,破坏形式为剪切破坏,且破裂面与水平方向的夹角随围压的增高而减小。

图3 砂岩的剪切破坏

2 邓肯-张本构方程

2.1 邓肯-张本构方程应力应变关系

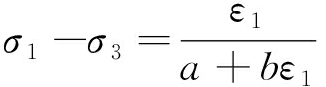
邓肯- 张本构方程是邓肯和张金荣等人根据土力学试验提出的非线性增量弹性模型,主应力差(σ1-σ3)与轴向应变ε1关系为双曲线[13-14],该模型参数确定简单、使用方便,如图4所示,其表达式为:

图4 邓肯- 张模型应力差与轴向应变曲线

(1)

式中:σ1-σ3——主应力差,MPa;

ε1——轴向应变;

ab——模型参数。

ab的取值为:

式中:E0——初始切线弹性模量,MPa;

Pa——大气压,取0.1 MPa;

Kn——无量纲参数;

(σ1-σ3)ult——双曲线的渐近值,即极限强度,MPa。

2.2 切线弹性模量

切线弹性模量表达式为:

(3)

或表示为:

(6)

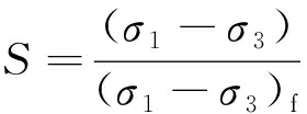
式中:Rf——破裂比;

(σ1-σ3)f——破裂时的主应力差,MPa;

C——内聚力,MPa;

φ——内摩擦角,(°);

S——应力水平。

3 邓肯- 张本构方程的改进

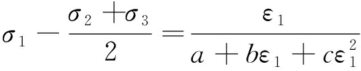
邓肯- 张方程没有考虑中间主应力σ2对土体强度和变形的影响,模型的双曲线不能描述岩石的破坏阶段。为了能反应岩石变形规律,改进的邓肯- 张模型应力- 应变关系式(7)所示,全应力- 应变曲线图5所示。由图5可知,模型改进后全应力- 应变曲线能反应岩石变形的4个阶段。

图5 改进的邓肯- 张本构方程

(7)

式中:abc——模型参数。

abc可以通过试验确定,取值为:

(8)

式中:ε1m——应力峰值点对应的轴向应变值,ε%。

根据图1的实验数据,得到式(7)中a、b、c的参数值,改进的邓肯- 张模型对不同围压下的岩石应力应变试验曲线的拟合结果如图6所示。由图6可知,应力峰值前,试验曲线与理论曲线吻合得很好,误差小于3%,改进的模型能更好地描述岩石的初始压密、弹性变形、应变硬化阶段。应力峰值后,试验中砂岩具有脆性特性,破坏阶段下降得较快,而理论曲线下降速度较慢,误差较大。

图6 改进的邓肯- 张模型对试验曲线拟合结果

4 结论

(1)砂岩三轴压缩试验表明,岩石的变形分为初始压密、弹性变形、应变硬化和应变软化4个阶段。围压增高,岩石强度、残余强度、变形增大,岩石呈脆性- 塑性- 延性转变。

(2)CT机扫描试验表明,岩石三轴压缩试验试件的破坏形式为剪切破坏,破裂面与水平方向的夹角随围压的增高而减小。

(3)改进的邓肯- 张模型考虑了中间主应力σ2对岩石强度和变形的影响,模型的应力应变曲线能更好地反应岩石变形的4个阶段。

参考文献:

[1] 马秋峰,秦跃平,周天白,等.多孔隙岩石加卸载力学特性及本构模型研究[J].岩土力学,2019,40(7):2673-2686.

[2] 刘跃东,姜鹏飞.基于湿度场理论的岩石膨胀本构模型研究[J].煤炭科学与技术,2018,46(3):61-67.

[3] 杜修力,黄景琦,金浏.岩石三维弹塑性损伤本构模型研究[J].岩土工程学报,2017,39(6):978-986.

[4] 文志杰,田雷,蒋宇静,等.基于应变能密度的非均质岩石损伤本构模型研究[J].岩石力学与工程学报,2019,38(7):1332-1344.

[5] 周葆春,冯波,汪墨.武汉黏土Duncan本构模型参数研究[J].岩土力学,2008,29(7):1788-1792.

[6] 曾凯锋,刘华北.考虑颗粒破碎的钙质砂修正邓肯-张E-B模型[J].工程地质学报,2020,28(1):94-102.

[7] 孔德志,朱俊高.邓肯-张模型几种改进方法的比较[J].岩土力学,2004,25(6):971-974.

[8] 刘小生,汪小刚,马怀发.旁压试验反演邓肯-张模型参数方法研究[J].岩土工程学报,2004,26(5):601-606.

[9] 高祥,刘善军,黄建伟,等.应变率对岩石变形过程声发射特征的影响[J].岩石力学与工程学报,2018,37(4):887-898.

[10] 刘冬桥,王焯,张晓云.岩石应变软化变形特性及损伤本构模型研究[J].岩土力学,2017,38(10):2901-2909.

[11] 于利强,邓亮,回新冬,等.加载速率影响下裂隙细砂岩力学特性试验研究[J].中国煤炭,2020,46(7):103-112.

[12] 王公忠,赵新涛,王国际.热力耦合作用下煤样力学行为影响的试验研究[J].中国煤炭,2016,42(4):90-95.

[13] 黄鑫,蔡晓光,郑志华,等.中线法尾矿砂的邓肯-张模型参数试验研究[J].防灾科技学院学报,2019,21(2):29-36.

[14] 徐小明,常高奇.天津滨海新区土层邓肯-张模型参数研究[J].港工技术,2020,57(2):111-116.

Study on mechanical properties and constitutive equations of sandstone

Jiang Yongdong1, Xie Yingliang1, Shen Ping2, Yang Qijun2, Zou Yong2, Qin Xudong2, He Qingfeng2

(1. State Key Laboratory of Coal Mine Disaster Dynamics and Control, Chongqing University, Shapingba, Chongqing 400044, China;2. Shidonggou Coal Industry Co., Ltd., Sichuan Coal Group, Guangyuan, Sichuan 628211, China)

Abstract The deformation law and fracture characteristics of sandstone under high confining pressure were experimentally studied by using the MTS815 mechanical testing system and CT system, and the full stess-strain curves were obtained. The research results showed that phases of rock deformation could be divided into four stages: initial compaction, elastic deformation, strain hardening and strain softening. With the increase of confining pressure, rock's strength and residual strength rose, the axial strain and lateral strain corresponding to the peak stress point enlarged, and the elastic deformation phase got lengthened, while the characteristics of rock samples firstly showed as brittleness, then as elasticity, and end as ductility. The sample's damage pattern in triaxial compression was typical shear failure pattern, and the included angle between failure surface and horizontal direction decreased with the increasing of confining pressure. According to the law of rock deformation,the constitutive equation of Duncan-Chang was improved, which could better describe the deformation characteristics of rocks.

Key words sandstone, stress-strain, Duncan-Chang model, rock fracture

中图分类号 TD315

文献标识码 A

移动扫码阅读

引用格式:姜永东,谢英亮,沈平,等. 砂岩力学特性与本构方程[J]. 中国煤炭,2020,46(10):87-91. doi: 10.19880/j.cnki.ccm.2020.10.014

Jiang Yongdong, Xie Yingliang, Shen Ping, et al. Study on mechanical properties and constitutive equations of sandstone [J]. China Coal, 2020, 46(10): 87-91. doi: 10.19880/j.cnki.ccm.2020.10.014

基金项目:国家自然科学基金面上项目(51574049)

作者简介:姜永东(1977-),男,博士,重庆大学教授,贵州省凤冈县人,主要从事矿山岩石力学、煤层气开采方向的研究。E-mail:jyd@cqu.edu.cn。

(责任编辑 郭东芝)

(责任编辑:admin)