新煤网移动版

主页 > 技术资料 > 科技论文

煤层钻孔加载前后截割特性对比研究

煤层钻孔加载前后截割特性对比研究

刘 波1 张晓宇2 田 莹2,3

(1.神华蒙西煤化股份有限公司棋盘井东区项目部,内蒙古自治区鄂尔多斯市,017000;2.辽宁工程技术大学机械工程学院,辽宁省阜新市,123000;3.山东科技大学机械电子工程学院,山东省青岛市,266590)

摘 要 为提高采煤机破煤效率,采用EDEM软件建立仿真模型,以破煤率、平均截割阻力、平均截割比能耗为定性评价指标,分析滚筒截割有无钻孔煤层及不同地应力煤层的截割特性。结果表明:在煤层中加载钻孔,可以减小采煤机滚筒平均截割阻力、降低平均截割比能耗,增加破煤率。当采煤机滚筒截割10 MPa地应力煤层时,截割加载钻孔煤层的截割力、截割比能耗相对于截割无加载钻孔煤层分别减小3.814%、24.272%,破煤率增加5.87%;当采煤机滚筒截割15 MPa地应力煤层时,截割加载钻孔煤层的截割力、截割比能耗相对于截割无加载钻孔煤层分别减小5.676%、30.747%,破煤率增加6.48%;当采煤机滚筒截割无加载钻孔煤层时,截割15 MPa地应力煤层的截割力、截割比能耗相对于截割10 MPa地应力煤层分别增加18.364%、63.434%,破煤率减小8.42%;当采煤机滚筒截割有加载钻孔煤层时,截割15 MPa地应力煤层的截割力、截割比能耗相对于截割10 MPa地应力煤层分别增加16.072%、30.747%,破煤率降低7.81%。

关键词 煤层钻孔 截割特性 EDEM 地应力 滚筒采煤机

近年来,国内外学者在滚筒采煤机破煤方面开展了大量研究。张强[1]等采用煤层辅助预裂与截齿截割相结合的方法提高采煤效率;张强[2-3]等研究了不同钻孔方式对破岩的影响规律;田震[4]等采用MATLAB和VB计算软件分析滚筒在破煤过程中的载荷、截割阻力矩以及截割功率;宋相坤[5]等研究螺旋钻采煤机钻头截割机理;刘在政[6]等对掘锚机滚筒截齿破煤过程进行仿真研究;乔时和[7]利用高压气液两相射流割缝技术分析滚筒破煤性能及微观破煤机制;张丽明[8]等利用Ls-dyna软件分析滚筒破煤情况、破坏形式和煤应力状态;何景强[9]等采用显式动力学软件模拟薄煤层采煤机螺旋滚筒的动态破煤过程;姚宝恒[10]等推导出镐形截齿截割力的计算公式;王春华[11]等采用煤岩截割综合实验系统对刀型割煤岩截割过程进行实验研究;刘送永[12]研究采煤机滚筒截割性能及截割系统动力学特性;王峥荣[13]分析截齿安装角、截齿锥角、截齿偏角、牵引速度、截割深度对块煤效率的影响规律;赵丽娟[14]等利用EDEM软件模拟滚筒截割煤壁的动态过程,得出截割过程中滚筒载荷、载荷波动及落煤情况;刘晋霞[15]等研究镐型截齿截割含不同分布夹矸层煤岩的过程;毛君[16-17]等研究滚筒截齿安装角、转速、截深对采煤机装煤率、截割阻力、截割比能耗影响规律;Jonak J[18]等利用有限单元法对岩石截割过程进行数值模拟;Yu B[19]等利用LS-DYNA建立煤岩模型,分析滚筒截割煤岩的三向力与扭矩的变化规律;J Rojeck[20]等建立刀具与岩石的离散元模型,对单齿旋转截割岩石过程进行数值模拟;任予鑫[21]等研究采煤机记忆截割系统;王志刚[22]等研究采煤机煤岩界面识别系统。然而目前,以上研究成果多侧重改变采煤机行走速度、滚筒转速及滚筒截齿安装角、螺旋升角等结构参数提高采煤效率,对于如何在煤层中加载钻孔使其内部卸荷松动从而提高采煤效率的科学问题需要进一步探讨。为此,笔者通过在工作面端面加载钻孔,分析滚筒截割有无钻孔煤层及不同地应力煤层的破煤率、平均截割阻力、平均截割比能耗的规律,为高效破煤理论奠定基础。

1 滚筒破煤数学模型的建立

当采煤机滚筒截割煤层时,滚筒受力如图1所示。

图1 采煤机截齿受力图

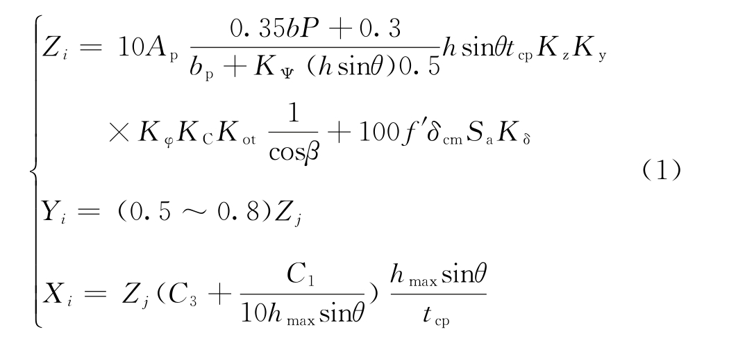
滚筒截割阻力、牵引阻力、侧向阻力的计算公式为:

式中:Z i——截割阻力,N;

Y i——牵引阻力,N;

X i——侧向阻力,N;

ω——角速度,rad/s;

A p——煤层非地压影响区的平均截割阻抗,N/mm;

b p——截齿工作部分计算宽度,cm;

Kψ——煤的脆性系数;

h——截齿切削厚度,cm;

θ——截齿所处位置角度,(°);

t cp——截齿的切削宽度,cm;

K z——外露自由表面系数;

K y——截角的影响系数;

Kφ——截齿前刀面形状影响系数;

K C——截齿排列方式系数;

K ot——地压对工作面煤壁影响系数;

β——截齿对采煤机推进方向偏转角,(°);

f′——截割阻抗系数;

δcm——煤的单向抗压强度,MPa;

S a——截煤时截齿磨钝后,磨损面在截割在截割平面上的投影面积,m2;

Kδ——矿体应力状态体积系数。

C 1,C 2,C 3——截齿排列形式系数;

t cp——截齿的切削宽度,cm;

h max——截齿最大切削厚度,cm。滚筒转矩计算公式为:

式中:T——滚筒转矩,N·m;

P——滚筒功率,k W;

n——滚筒转速,r/min。

滚筒截割比能耗计算公式为:

式中:H W——截割比能耗,(k W·h)/m3;

t——截割时间,s;

V m——截落模拟煤壁的体积,m3;

T M——转矩均值,N·m。

2 仿真模型与仿真方案的建立

2.1 仿真模型的建立

2.1.1 煤层模型的建立

利用Pro/E软件分别建立有钻孔煤层模型和无钻孔煤层模型,煤层模型20000 mm×20000 mm×5000 mm(长×宽×高),钻孔直径为300 mm,钻孔数为8个,呈正四边形排布,深度为1200 mm,左右间距为4000 mm,上下间距为2500 mm,以相应的格式导入到EDEM中。在EDEM中添加煤、低碳钢2种材料,材料参数如表1所示。煤颗粒直径为100 mm,接触半径为110 mm,煤颗粒模型如图2所示。

图2 煤颗粒模型图

表1 煤与低碳钢的材料参数

?

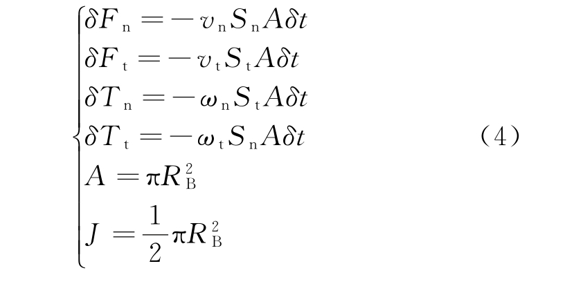
颗粒之间采用Hertz-Mindlin黏结模型进行颗粒黏结,模拟煤层的物理状态。当颗粒在某一时刻被黏结起来,在这之前颗粒通过默认的Hertz-Mindlin黏结模型产生相互作用,黏结力F nF tT nT t随着时步的增加,按照式(4)从零开始叠加:

式中:A——接触区域面积,m2;

J——黏结键截面极惯性矩,m2;

R B——黏结半径,m;

S n,S t——法向和切向刚度,N/m3;

δt——时步,s;

v n,v t——法向和切向速度,m/s;

ωn,ωt——法向和切向角速度,rad/s;

F n,F t——法向和切向力,N;

T n,T t——法向和切向力矩,N·m。

当法向和切向应力超过某个定义值时,黏结就被破坏。因此,定义法向和切向应力的最大值如下:

式中:τmax——最大切向应力,MPa;

σmax——最大法向应力,MPa。

在完成煤层填充后小颗粒之间形成黏结键,可以形成一个由众多小单元组成的煤层物理模型。当黏结的颗粒群受到外力作用时,依据离散单元法,根据牛顿第二定律在单位时间步长内对颗粒的位移与转角进行更新,此时黏结键会受到力与力矩的作用,当达到设定的黏结键最大法向应力σmax和最大切向应力τmax时,黏结键断裂,以此来模拟煤层的截割过程。笔者建立地应力为10 MPa、15 MPa煤层,不同的地应力煤层用不同的煤层黏结参数表示。煤层黏结参数设置如表2所示,煤层仿真模型如图3所示。

表2 煤层黏结参数

?

图3 煤层仿真模型

2.1.2 滚筒模型的建立

为了清晰地描述采煤机破煤效果,参考MG500/1180-WD型号采煤机滚筒结构参数,采用Pro/E建立滚筒三维模型,建模时忽略其内部复杂几何结构,并进行适当的简化,滚筒模型宽度1128 mm,筒毂宽度778 mm,滚筒直径2045 mm,螺旋升角25°。其中截齿采用顺序式的排列方式,滚筒中心距为8700 mm,螺旋叶片截线距为80 mm,截齿安装角为50°。为了减小模拟计算量,只将滚筒模型导入EDEM中。

2.1.3 仿真参数设定

在仿真参数设置模块中,设置固定时间步长为20%,仿真时间为35 s,设定目标存储时间间隔为0.01 s,网格尺寸为最小颗粒半径的2倍。

2.2 仿真方案的建立

采煤机滚筒转速、牵引速度影响其工作性能。滚筒牵引速度太大,易产生粉尘,速度太小会增加采煤机的截割比能耗,方案中设置滚筒牵引速度为0.23 m/min。而滚筒转速影响其排煤性能,转速太小,煤不能及时排出,会发生堵塞现象,转速太大,加快截齿的磨损程度,降低块煤率。设置滚筒转速为30 r/min。同时,为了分析滚筒截割有无钻孔煤层及不同地应力煤层的破煤率、平均截割阻力、平均截割比能耗的规律,笔者拟定4组方案进行模拟,分别为滚筒对无加载钻孔、地应力为10 MPa的煤层和无加载钻孔、地应力为15 MPa的煤层和有加载钻孔、地应力为10 MPa的煤层和有加载钻孔、地应力为15 MPa的煤层进行截割。实验方案模型如图4所示。

图4 实验方案仿真模型图

3 煤层钻孔加载前后截割特性对比分析

利用图4仿真模型,分别模拟方案1到方案4的破煤过程。仿真过程如图5所示。

破煤率是评价破煤性能好坏的重要指标,破煤率用断裂的黏结键数目与初始黏结键数目的比值表示,将蓝色方框区设置为分析区,分析区为20000 mm×5000 mm×5000 mm(长×宽×高)。运用EDEM后处理功能导出40~75 s内4组方案分析区黏结键数目变化趋势,分析区内黏结键数变化趋势如图6所示。

由图6分析可知:方案1~4煤层的初始黏结键数目分别为517057个、520331个、518883个、521376个,采煤机滚筒从40 s分别开始截割煤层,随着时间的增加,煤层的初始黏结键数目不断减小,截割至75 s时,方案1~4煤层的剩余黏结键数目分别为383811个、424850个、349519个、391918个,破煤率分别为26.77%、18.35%、32.64%、24.83%,破煤体积分别为128.85 m3、91.75 m3、163.2 m3、124.15 m3。具 体 数 据见表3。

截割阻力也是评价破煤性能好坏的重要指标,运用EDEM后处理功能导出40~75 s内4组方案前滚筒截割阻力变化趋势,同时,导出57~75 s内后滚筒截割阻力变化趋势,滚筒截割阻力变化趋势如图7所示。

图5 4组方案仿真过程

图6 4组方案黏结键数目变化趋势

由图7分析可知:滚筒载荷并不是一个定值,而是随时间在一定范围内呈不规则波动。这是由于参与截割的截齿位置、数量及其偏角都随时间不断变化,且煤岩崩落没有规律,因此其所受各向阻力并不具有周期性。方案1~4前滚筒平均截割阻力分 别 为3178.909 k N、3851.957 k N、3081.383 k N、3655.475 k N,后滚筒平均截割阻力 分 别 为3046.480 k N、3513.140 k N、2903.705 k N、3291.553 k N,前后滚筒平均截割阻力分别为3111.1945 k N、3682.5485 k N、2992.544 k N、3473.514 k N,数据统计见表3。

图7 4组方案前、后滚筒截割阻力

表3 4组方案滚筒破煤数据统计表

?

截割比能耗反映滚筒截割单位体积煤时消耗能量的大小。通过EDEM后处理模块导出40~75 s内4组方案前滚筒截割转矩变化趋势,同时,导出57~75 s内后滚筒截割转矩变化趋势,滚筒截割阻力变化趋势如图8所示。

图8 4组方案前、后滚筒截割转矩

由图8可知,方案1~4前滚筒平均截割转矩分别为87.999×106 N·m、105.053×106 N·m、83.561×106 N·m、96.796×106 N·m,后滚筒平均截割转矩分别为79.037×106 N·m、89.341×106 N·m、76.649×106 N·m、85.367×106 N·m,前后滚筒平均截割转矩分别为83.518×106 N·m、97.197×106 N·m、80.105×106 N·m、91.0815×106 N·m,根据公式(5)可知,截割比能耗分别为19.796 kW·h/m3、32.354 k W·h/m3、14.991 kW·h/m3、22.406 kW·h/m3,数据统计见表4。

表4 4组方案滚筒截割比能耗数据统计表

?

由表3分析可知,由于煤层地应力的增加,煤层内部颗粒与颗粒作用力增加,使煤层更加密实,采煤机滚筒截割阻力增加,方案2相对于方案1的破煤率下降8.42%,平均截割阻力增长18.364%,方案4相对于方案3的破煤率下降7.81%,平均截割阻力增长16.072%。由于煤层有钻孔,使煤层内部应力减小,内部发生卸荷产生松动,方案3相对于方案1的破煤率增长5.87%,平均截割阻力下降3.814%,方案4相对于方案2的破煤率增长6.48%,平均截割力阻下降5.676%。因此,在煤层中加载卸荷孔,可以提高采煤机破煤效率,降低截割阻力,同时,随着煤层地应力增加,采煤机截割阻力增加,破煤率降低。

由表4分析可知,由于煤层地应力增加,采煤机滚筒截割阻力增加,截割转矩增加,方案2的前后滚筒平均截割比能耗相对于方案1增长63.434%,方案4的前后滚筒平均截割比能耗相对于方案3增长30.747%,同时煤层中有钻孔,煤层内部应力可得到释放,导致煤层内部松动,采煤机滚筒截割阻力减小,截割转矩减小,方案3的前后滚筒平均截割比能耗相对于方案1下降24.272%,方案4的前后滚筒平均截割比能耗相对于方案3下降30.747%。因此,随着煤层地应力的增加,采煤机滚筒平均截割比能耗在下降;当在煤层中钻孔时,可以降低采煤机滚筒平均截割比能耗。

4 结论

(1)在煤层中钻孔,可以降低采煤机滚筒平均截割阻力、平均截割比能耗,增加破煤率。当采煤机滚筒截割10 MPa地应力煤层时,截割加载钻孔煤层的截割力、截割比能耗相对于截割无加载钻孔煤层分别降低3.814%、24.272%,破煤率增长5.87%,当采煤机滚筒截割15 MPa地应力煤层时,截割加载钻孔煤层的截割力、截割比能耗相对于截割无加载钻孔煤层分别降低5.676%、30.747%,破煤率增长6.48%。

(2)随着煤层地应力的增加,采煤机滚筒平均截割阻力、平均截割比能耗在增加,破煤率在减小。当采煤机滚筒截割无加载钻孔煤层时,截割15 MPa地应力煤层的截割力、截割比能耗相对于截割10 MPa地应力煤层分别增长18.364%、63.434%,破煤率降低8.42%;当采煤机滚筒截割加载钻孔煤层时,截割15 MPa地应力煤层的截割力、截割比能耗相对于截割10 MPa地应力煤层分别增长16.072%、30.747%,破煤率降低7.81%。

参考文献:

[1] 张强,王聪,田莹.预裂辅助冲击截齿的破煤特性[J].煤炭学报,2019,44(10):3209-3222.

[2] 张强,刘峻铭,顾颉颖,等.不同卸荷工况下岩石钻孔破碎特性研究[J].应用力学学报,2019,36(3):727-733,767.

[3] 张强,孙国庆,索江伟,等.深部花岗岩钻孔卸荷三维数值模拟[J].应用力学学报,2017,34(5):988-994,1021.

[4] 田震,荆双喜,赵丽娟,等.薄煤层采煤机螺旋滚筒截割性能研究[J].河南理工大学学报(自然科学版),2020,39(2):80-84,109.

[5] 宋相坤,翟雨生,吕瑞林,等.螺旋钻采煤机钻头截割机理研究[J].煤矿机电,2008(5):37-38.

[6] 刘在政.掘锚机单截齿破煤特性研究[J].铁道建筑技术,2016(10):90-93.

[7] 乔时和.高压气液两相射流瞬态动力破煤特性及微观致裂机制研究[D].徐州:中国矿业大学,2016.

[8] 张丽明,谢进.采煤机滚筒破煤机理仿真研究[J].煤矿机械,2013,34(10):44-46.

[9] 何景强,王治伟.薄煤层采煤机螺旋滚筒破煤过程的数值模拟[J].煤炭工程,2013,45(6):97-99.

[10] 姚宝恒,李贵轩,丁飞.镐形截齿破煤截割力的计算及影响因素分析[J].煤炭科学技术,2002,30(3):35-37.

[11] 王春华,李贵轩,姚宝恒.刀型截齿截割煤岩的实验研究[A].中国岩石力学与工程学会岩石动力学专业委员会.第七届全国岩石动力学学术会议文集[C].中国岩石力学与工程学会岩石动力学专业委员会:中国岩石力学与工程学会岩石动力学专业委员会,2000:2.

[12] 刘送永.采煤机滚筒截割性能及截割系统动力学研究[D].徐州:中国矿业大学,2009.

[13] 王峥荣.采煤机截齿截割过程的动力学仿真[D].太原:太原理工大学,2009.

[14] 赵丽娟,闻首杰,刘旭南.仿真颗粒半径对模拟滚筒截割复杂煤层的影响研究[J].机械科学与技术,2020,39(1):52-57.

[15] 刘晋霞,马超,焦志愿,等.镐型截齿对含不同分布夹矸层煤岩的截割过程研究[J].山东科技大学学报(自然科学版),2018,37(5):97-103.

[16] 毛君,刘歆妍,陈洪月,等.不同截齿安装角对采煤机截割性能的影响[J].煤炭科学技术,2017,45(10):144-149.

[17] 毛君,刘歆妍,陈洪月,等.基于EDEM的采煤机滚筒工作性能的仿真研究[J].煤炭学报,2017,42(4):1069-1077.

[18] Jonak J,Podgorski J.Mathematical model and results of rock cutting modeling[J].Journal of Mining Science,2001,37(6):615-618.

[19] Yu B.Numerical simulation of continuous miner rock cutting process[D].West Virginia:Doctoral Dissertation of West Virginia University,2005.

[20] J Rojek,E Onate,C Labra,et al.Discrete element simulation of rock cutting[J].International Journal of Rock Mechanics&Mining Science,2011,48(6):996-1010.

[21] 任予鑫,康向南,杜昭,等.采煤机记忆截割系统的研究与应用[J].中国煤炭,2020,46(5):41-46.

[22] 王志刚.基于精确煤层三维模型的采煤机煤岩界面识别系统[J].中国煤炭,2014,40(11):50-53,83.

Comparative study on cutting performance before and after borehole loading in coal seam

Liu Bo1,Zhang Xiaoyu2,Tian Ying2,3
(1.Qipanjing Eastern Project Department,Shenhua Mengxi Coal Chemical Co.,Ltd.,Ordos,Inner Mongolia 017000,China;2.College of Mechanical Engineering,Liaoning Technical University,Fuxin,Liaoning 123000,China;3.College of Mechanical and Electronic Engineering,Shandong University of Science and Technology,Qingdao,Shandong 266590,China)

Abstract In order to improve the coal breaking efficiency of shearer,a simulation model was established by using EDEM software.Taking coal breaking rate,average cutting resistance and average specific energy consumption for cutting as the qualitative evaluation indexes,the shearer drum cutting performances in the coal seams with or without boreholes and the coal seam with different ground stresses were analyzed.The results showed that the average cutting resistance,the average specific energy consumption for cutting and the coal breaking rate of the shearer drum could be reduced by loading boreholes in the coal seam.When the shearer drum cut coal seam with 10 MPa crustal stress,the cutting force and specific energy consumption for cutting in the coal seam with loaded boreholes were reduced by 3.814%and 24.272%respectively compared with those in the coal seam without unloaded borehole,and the coal breaking rate was increased by 5.87%;when the shearer drum cut coal seam with 15 MPa crustal stress,the cutting force and specific energy consumption for cutting in the coal seam with loaded boreholes were reduced by 5.676%and 30.747%respectively compared with those in the coal seam without unloaded borehole,and the coal breaking rate was increased by 6.48%;when the shearer drum cut the coal seam without loaded borehole,the cutting force and specific energy consumption for cutting in coal seam with 15 MPa crustal stress increase by 18.364%and 63.434%respectively compared with those in coal seam with 10 MPa crustal stress,and the coal breaking rate decreased by 8.42%;when the shearer drum cut the coal seam with loaded boreholes,the cutting force and specific energy consumption for cutting in coal seam with 15 MPa crustal stress increase by 16.072%and 30.747%respectively compared with those in coal seam with 10 MPa crustal stress,and the coal breaking rate decreased by 7.81%.

Key words coal seam borehole,cutting performance,EDEM,crustal stress,drum shearer

中图分类号 TD421.67

文献标识码 A

引用格式:刘波,张晓宇,田莹.煤层钻孔加载前后截割特性对比研究[J].中国煤炭,2020,46(9):93-101.doi:10.19880/j.cnki.ccm.2020.09.015

Liu Bo,Zhang Xiaoyu,Tian Ying.Comparative study on cutting performance before and after borehole loading in coal seam[J].China Coal,2020,46(9):93-101.doi:10.19880/j.cnki.ccm.2020.09.015

基金项目:国家自然科学基金资助项目(U1810119、51774161、51804151),山东省泰山学者工程资助

作者简介:刘波(1984-),男,内蒙古五原县人,高级工程师,副经理,从事矿山机电研究工作。E-mail:415564476@qq.com。

(责任编辑 郭东芝)

(责任编辑:admin)