新煤网移动版

主页 > 技术资料 > 科技论文

露天煤矿井工采空区火区磁法探测研究

★ 科技与工程 ★

露天煤矿井工采空区火区磁法探测研究

王 禹1 宋子岭2 刘 峰3

(1.山西工程职业学院,山西省太原市,030031;2.辽宁工程技术大学环境科学与工程学院,辽宁省阜新市,123000;3.中煤平朔集团有限公司,山西省朔州市,036006)

摘 要 由于早期的小煤窑不规范开采,露天煤矿内形成了许多不规则的采空区,残煤自燃造成的采空区高温易引起爆破器材自爆等危害。准确确定采空区位置及属性、采空区内火区位置,对规避露天矿安全风险十分重要。通过分析煤层着火机理和特征,提出利用磁法探测火区的物探方法。利用傅氏变换的褶积转换原理对火区的磁异常进行解释。用加拿大GSM-19T型质子磁力仪对安家岭露天煤矿首采区3 km2的重点区域进行了火区探测,分析了首采区19个磁异常点,通过综合分析确定了疑似火区,与实际相符,钻孔验证了磁法探测火区的可靠性。

关键词 露天煤矿 采空区 火区探测 磁法探测

安家岭矿是我国特大型露天煤矿,境界内分布着井工开采后已经闭井的后东煤矿和白西沟煤矿,均采用房柱式开采法一次采全高,回采率偏低,煤炭损失严重。2个矿井的开采资料不全而且本身有越界开采现象,造成现有资料与井下实际位置不对应。井工矿开采形成的塌陷具有隐蔽性,且空巷内滞留大量易燃、易爆、有毒气体(如CO、CH4)。露天矿山工程推进和延深中存在以下潜在的风险:开采煤层采空区的塌陷易造成设备、人员陷入,造成伤害事故;采空区残煤自燃,给其上岩石台阶的钻孔、爆破作业带来风险,而且导致炸药单耗高,影响露天矿剥采效益;自燃造成的高温可能烫伤作业人员、引起汽车轮胎自燃、降低设备寿命等。为规避各种危害,确保安全生产,需要对露天矿境界内井工采空区(火区)进行采前探测,对于露天煤矿井工残煤复采、安全生产具有重要的现实意义[1]

磁法是目前应用于煤火勘探最为广泛的方法,由于火区的磁异常形态客观地反映了烧变岩特征和自燃边界的异常特征,可有效圈定煤层火区边界[2]。隐蔽的高温区域埋深信息反演困难,难以准确推断。鉴于此,利用钻探验证磁法圈定的火区边界,合理确定火区埋深。

1 磁法勘探区域位置与测线布置

1.1 矿田的开发现状

安家岭矿的矿山工程于1997年11月开始建设,原设计能力为10.00 Mt/a,扩建后的生产能力为20.00 Mt/a。目前在本矿南部有2个井工煤矿生产,分别为东易煤矿和平朔安家岭西易有限公司,均采用斜井开拓,走向长壁回采;瓦斯含量少,属于低瓦斯矿;井下水文地质条件简单,一般无水,顶板易管理。

1.2 区域地层

(1)区域地层与地质构造。矿田位于宁武煤田北部,基岩为古老的变质岩系。地层基本上是一个向南东方向倾斜的单斜,中部地层平缓,东部构造较西部复杂,矿田东部揭露的断层共20条,甚至多为高角度的正断层[3]

(2)可采煤层。矿田含煤地层为石炭系太原组及二叠系山西组,山西组地层平均厚度为49.90 m。太原组地层平均厚度为90.37 m,含煤10层,煤层总厚度为32.38 m,主采煤层为4#、9#、11#煤层。4#煤层厚度较大,埋深较浅,在北部受小窑采空区影响部分自燃。

1.3 磁法勘探区域位置与测线布置

勘探区位于安家岭矿区内,坐标为南北71000~72500 m,东西11000~13000 m,区域面积约3 km2,如图1所示。由于资料不清,对于采空区上部覆盖层厚度超过35 m的疑似区域,进行火区磁测勘探。采剥设备及电缆调整布置至50 m的警戒范围外。

图1 矿区磁法勘探区示意图

探测区采用矩形测网,网度为50 m×20 m,测线方位为南北方向。

2 勘探原理与方法

2.1 磁法勘探火区的原理

由于煤田地层是沉积形成的,可以假设它为板状体,地层的层序状态可以看作为水平或者近水平[4]。地层中的含铁矿物在烧变之后有可能转化为磁铁矿,如果有断裂等构造贯通煤层时,造成氧气流入使其燃烧更甚[5-8]。在燃烧过程中煤火温度一般都在800℃以上,煤层火区围岩受到强烈的高温烘烤而形成烧变岩,烧变之后的部分岩层表面光泽,质地坚硬,这种现象属于热剩磁现象,烧变之后含铁矿物具有高磁化率。其机制是围岩从居里点温度(约770℃以上)逐渐冷却到居里点以下时所显现的磁性。由于热剩磁作用导致与周围岩石之间有较明显的磁性差异。该过程具有高磁化过程,其磁化率常见值为1286π×10-6 SI制单位,一般表现为正磁异常(见图2)。磁异常曲线体现的特征:含煤区未经磁化的磁场背景平稳,而由于热剩磁形成的火区则表现出明显磁异常[9],这是煤层火区边界位置的解释依据。

2.2 磁法探测技术应用

磁法探测的应用条件是磁测体必须与围岩有较明显的磁性差异;磁异常应在磁力仪观测精度范围内;磁异常能够从干扰背景中分辨出来而不失真,或能够直接消除干扰因素。

图2 煤层火区磁异常示意图
注:△H-水平磁场强度响应曲线;△Z-垂直磁场强度响应曲线;△T-总强度磁异常曲线,曲线形态没有明显规律[10]

磁法探测的依据:国家地质矿产行业标准《地面高精度磁测技术规程》(DZ/T 0071-93),国家石油天然气行业标准《地面磁法勘探技术规程》(SY/T 5771-2004)。物探网布设采用三大常用坐标系之一的北京54坐标系(BJZ54),横轴墨卡托投影,中央子午线为112°30′,按1.5°分带;平面精度为±1cm+1ppm,高程精度为±2cm+1ppm。

2.3 磁法探测工作方法

2.3.1 仪器性能测定试验

试验选用GSM-19T型质子磁力仪(加拿大产),为有效发挥仪器性能,达到试验精度和工程精度要求,测量前做好准备工作,并进行仪器的噪声水平、一致性等试验,如有明显系统误差和观测均方误差达不到设计精度的仪器,应查明原因,必须重新进行调节和检验[11]

磁法探测试验期间的日变台站布置于露天矿台阶平盘的平稳磁场内,安排在干扰较小的时间段测试,有效日变观测取其平均值,作为本区的基本场T0,其基本场值为:54343.15 nT。

2.3.2 野外磁法探测数据预整理

(1)日变改正。剔除测点无效数据,利用专用软件自动改正。

FT=F-F

(1)

式中:FT——日变后的磁力值,nT;

F——日变观测磁力值,nT;

F——日变改正值,nT。

(2)地磁场的正常梯度改正和高度改正。采用国际地磁参考场(IGRF)2010模型提供的高斯系数,计算工区地磁场T0值,取1 nT的间隔绘制T0等值线图,以此图做正常场梯度改正。

野外磁测观测数据经过日变、正常场纬度改正、高度改正等之后,绘制出全区ΔT磁异常平剖图见图3。采用Kriging网格化原始磁异常数据,得到全区ΔT磁异常等值线图见图4。

图3 工区高精度磁测ΔT异常平剖图

图4 工区高精度磁测ΔT异常等值线图

3 磁异常数据处理和转换

3.1 重磁位场频率域转换原理

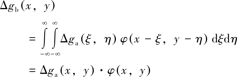
对重磁异常进行量化分析、解释之前,需进行必要的数据处理和类型转换。如滤除干扰、分量换算、导数换算、高度延拓等[12],其目的是让进行的相应研究特征更明显。它既可以在空间域内做,也可以在波数域内做[13-16]。空间域内重磁位场的各种处理和转换是下面的褶积形式[17]

(2)

式中:Δga(x,y)、Δgb(x,y)——转换前、后的位场异常;

φ(x,y)——空间域内位场异常转换和处理的权函数,亦称为滤波脉冲响应函数。

在空间域里进行的位场处理和转换非常复杂,测点的高差会产生偏差。本工区由于矿山工程剥离,原始地形已形成台阶,主要在台阶平盘上测试,不需要进行地形改正,浅部和深部场异常吻合的都比较好。可在波数域内进行迭代计算,解释参数大为减少。

利用傅氏变换的褶积定理,上述褶积关系在波数域内就转变为简单的乘积关系:

Δgb(u,v)=Δga(u,vφ(u,v)

(3)

式中:Δga(u,v)、Δgb(u,v)——Δga(x,y)、Δgb(x,y)的波谱;

u, v——xy方向上的圆波数;

φ(u,v)——位场异常转换和处理权函数的波谱,亦称为滤波器的频率响应函数[12]

采用式(3)的数据处理方式极大地减少了计算量,而且这种方式的优势是所有位场异常的数据处理和转换都具有明确对应的频率响应函数φ(u,v),有利于提高解释的可靠性。

3.2 磁异常化向地磁极

由于地磁场方向是变化的,斜磁化所产生的磁异常方向也是变化的。一般情况下,当与垂直地面的地磁场进行垂直磁化时,磁异常的形态与场源对应关系简单,磁异常的极大值就产生在垂直磁化的方向上[18],产生磁异常的点即场源位置。目前化磁极主要在波数域中实现,换算前后仅改变磁化强度的方向,而大小不变,简化磁异常的比对过程。在波数域里,化磁极转换计算的频率响应函数φ(u,v)为:

(4)

式中:uv——沿xy轴方向的波数;

q0q1——原测量分量方向及原磁化方向上一阶导数的频率响应。

通过查询IGRF相应参数,该工区的区域磁偏角-5.3°,磁倾角58.7°,以此为参数对ΔT异常进行化极处理,为简化磁异常的比对,消除斜磁化的影响[19]。化极后的异常与实际观察记录可能有偏差。在异常描述推断中均可以在原始磁异常基础上进行上延、匹配滤波等数据处理[20]

3.3 向上延拓

向上延拓是为了压制浅层地质因素或干扰的数据处理方法,是从浅层干扰背景中分辨出深部地质因素的影响,突出其深部地质因素相对产生的重磁异常。因此,在一定范围内通过向上延拓转换频率响应函数,可以揭示相应深度的场源或地质信息。向上延拓转换计算的频率响应函数φ(u,v)为:

(5)

式中:h——要延拓的高度。

为了实现位场的分离,利用磁异常向上延拓的方法获得区域场,即磁测原始异常减去区域异常(背景场)以求取局部异常。这里根据实际情况以磁测工区原始磁异常ΔT向上延拓600 m为例以突出深部异常,便于提取局部异常,如图5、图6所示。

图5 工区ΔT上延600 m磁异常图

3.4 场的分离—匹配滤波法

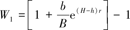
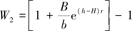
从波谱角度分析,区域场以低频成分为主,局部场以高频成分为主[21]。采用提取不同波数成分的场就可以完成区域场与局部场的分离。匹配滤波法是常用的分离异常的方法,其数据处理过程是先确定匹配滤波算子W1W2

(6)

(7)

式中:B——物性参数;

b——加权系数;

H——场源深度,m;

h——上顶埋深,m;

r——径向波谱。

对实测数据的波谱乘以因子W1W2匹配滤波算子就可以分别获得深部源和浅部源各自的异常场。从匹配滤波因子式(6)、式(7)可知,为应用匹配滤波方法须通过径向对数功率谱先求得HhbB等参数值。

图6 去除上延600m背景场剩余磁异常图

根据矿区其他采空区埋深情况推断,测区内的采空区埋深相对较浅,因此其周围的烧变岩产生的磁异常属于浅源场,需要提取相应的浅源场以更精准地确定火烧区范围。应用匹配滤波法对磁异常进行数据处理,完成浅源场和深源场的滤波分离。即根据原始ΔT磁异常,进行傅立叶数据变换,简化比对过程。求其径向对数功率谱,如图7所示。

由功率谱曲线低频成分的斜率可以求得平均埋深H=96 m,进一步确定匹配滤波参数(H=96 m,h=29 m),相应地提取波数域的浅源场(图8)和深源场(图9),最后经傅氏反变换转化为空间域的值,从而达到不同频率场分离的目的[22]。从图8中可以看出浅源磁异常与ΔT磁异常相比,局部异常更加突出,更有利于圈定火烧区范围。

4 磁测数据解释

磁异常的特征主要决定异常区的形状、走向、埋深等要素。

图7 工区匹配滤波能谱图

4.1 疑似火区范围推断

通过高精度磁测,绘制出野外磁测19个磁异常点分布见图10。工区内共圈出明显异常区4个(M1~M4),分析如下所述。

M1异常区:位于西北部,由1、6、5点圈定,异常断续近南北向狭长分布,异常极大值为50 nT(18、5线),正、负异常跳跃变化,呈锯齿形分布,北部出现大面积负异常,疑似火区埋藏浅,异常强度降低。

M2异常区:位于西南部,由2、3、4、8、19点圈定,异常分布近似南北转为向西带状延申。异常极大值为90 nT(35线),东北部出现大面积负异常埋深较浅,磁场变化不大,疑似火区连续。

图8 浅源场异常图(h=29 m)

M3异常区:位于中部,由12、10、7、9、11、14、13点圈定,异常近似东北向转为东南向带状延申。异常极大值为50 nT(37、38线),40、41测线南、北两端出现较大负异常,埋藏出露较浅。

图9 深源场异常图(H=96 m)

M4异常区:位于东部,由15、16、17、18点圈定,异常呈现柱状分布。异常极大值为80 nT(57线),两侧无负异常说明埋藏较深。

将测区内的现有火区进行图层堆叠。图3与图10对比发现,在M1位置发现探测异常与记录位置有东西偏移,这是由于对1#火区在地表采用了泡沫灭火的原因,1#区域磁法探测实测可信度相对较低。在2#、3#、4#区域能够感受到地面温度较高或者有蒸汽冒出,与疑似火区(M2、M3、M4区域)的位置与高磁异常对应较好,规律性较强,故在2#、3#、4#区域野外探测记录可信度较高。

图10 工区磁法探测异常点(火区)分布图

4.2 异常区埋深解释

通过磁测数据匹配滤波计算出异常场的功率谱,然后由低频成分求斜率确定平均埋深为43.2 m。

4.3 钻探验证

在露天矿山爆破钻孔中,预先有针对性地选择一些钻孔作为验证孔,钻孔在随后的爆破作业中加以利用,可以降低磁法探测成本。收集验证孔的资料,进行数据的归一化处理[23],火区平均埋深推算为44.6 m。经钻孔验证,磁测方法对异常平面范围的圈定准确;对于异常区深度的解释往往与钻探验证有一定出入。

5 结论

(1)安家岭矿开采境界内,由于井工采空区的存在以及位置、范围的不确定,且空巷内残煤极易自燃形成火区,容易造成设备、人员伤害事故,降低露天开采效益。

(2)实测结果表明,运用磁法对安家岭矿井工采空区的平面位置圈定准确,疑似火区辅助以钻孔验证异常区深度,合理有效确定火区垂直位置,二者互为补充能够满足露天矿山工程推进和延深发展的要求。

(3)由于磁化不均匀,产生的剩磁不一样。磁法探测对火区深度的解释与钻探验证有些偏差。磁法探测对于无磁性的火烧区尚无法确定。

(4)采用磁法探测采空区火区是一种经济、快速、行之有效的方法之一。对于露天复采井工不规则残煤规避采空区风险和安全生产具有指导意义。

参考文献:

[1] 周文勇. 地下转露天开采原采空区的处理方法研究[J]. 化工矿物与加工,2010,39(7):32-37.

[2] 陈敏,邵伟. 应用地面磁法圈定煤田火区边界[J].物探与化探,2010,34(1):89-92.

[3] 吕建洲. 平朔东露天煤矿采空区处理与采矿一体化研究[D]. 徐州:中国矿业大学,2015.

[4] 戚传银.安家岭露天矿采空区火区探测及防火技术研究[D]. 阜新:辽宁工程技术大学,2014.

[5] 程卫民,陈平. 矿井煤炭自燃高温火源点区域的探测实践[J]. 煤炭科学技术,1999,27(11):4-7.

[6] 余明高. 我国煤矿防灭火技术的最新发展及应用[J]. 矿业安全与环保,2000,27(1):21-23.

[7] 田金泽,任利明,刘宪权等.安太堡露天矿采空区火区复采工程防火措施[J].煤炭科学技术,2008,36(12):34-36.

[8] 张华. 磁法勘探反演技术及应用研究[D]. 邯郸:河北工程大学,2011.

[9] 陈国庆. 磁法在探测煤层火烧区中的应用研究[J]. 能源与环境,2016(5):99-100.

[10] 刘江,崔江伟,薛国强等. 利用高精度磁法圈定陕北地区煤层火烧区边界[J]. 地球科学前沿,2019(5):360-367.

[11] 中华人民共和国地质矿产部. 地面高精度磁测技术规程(DZ/T 0071-93) [M]. 北京:中国标准出版社,2012.

[12] 郭伟.重磁约束反演技术在杨树盆地油藏勘探研究中的应用[D]. 北京:中国地质大学(北京),2014.

[13] 吴招才,刘天佑. 板状体磁异常数据反演的PSO算法[J].物探与化探,2009,36(2):85-89.

[14] 相鹏,刘展. 双界面模式Parker算法磁性界面正反演方法[J]. 中国石油大学学报(自然科学版),2009,33(1):37-43.

[15] 张旻瑜. 重磁三维物性界面正反演方法研究及软件设计[D]. 北京:中国地质大学(北京),2006.

[16] 宋吾军,王雁鸣,邵振鲁.高密度电法与磁法探测煤田火区的数值模拟[J]. 煤炭学报,2016,41(4):899-908.

[17] 李宏未.位场转换计算中迭代法与其滤波特性的综合分析与研究[D]. 北京:中国地质大学(北京),2012.

[18] 腰善丛.综合地球物理在高放废物地质处置选址中的应用研究[D]. 北京:中国地质大学(北京),2017.

[19] 马金勇. 高精度磁法勘探在区域调查中的应用[J]. 世界有色金属,2018(7):166-167.

[20] 苏彦丁. 煤层火烧区探测中物探技术的应用与探索[J]. 勘察科学技术,2016(4):62-64.

[21] 张凤琴.基于离散余弦变换的位场谱方法及应用 [D]. 长春:吉林大学,2008.

[22] 李如仁,贲忠奇,李品等. 基于Landsat-8的煤火监测方法研究[J]. 煤炭学报,2016,41(7):1735-1740.

[23] 翟广庆. 磁法探测煤火区的外推解释[J]. 中国煤田地质,2001,13(2):76-77.

Study on magnetic detection of fire area in underground gob in open-pit coal mine

Wang Yu1, Song Ziling2, Liu Feng3

(1. Shanxi Engineering Vocational College, Taiyuan, Shanxi 030031, China;2. College of Environmental Science and Engineering, Liaoning Technical University, Fuxing, Liaoning 123000, China;3. China Coal Pingshuo Group Co., Ltd., Shuozhuo, Shanxi 036006, China)

Abstract There were many irregular gobs caused by early mining of small coal mines in open-pit mine, the high temperature from residual coal spontaneous combustion in gob led to self-exploded of the explosive materials. It was important to accurately determine the location and attributes of gobs and the fire area for avoiding the risk of open-pit mine. Through analyzing the characteristics and mechanism of coal fire, geophysical magnetic method was put forward to detect the fire area. The magnetic anomaly was interpreted by using Fourier transform convolution transformation principle. The fire area detection was carried out for the 3 km2 key area of the first mining area in Anjialing open-pit coal mine by using Canada GSM-9T type proton magnetometer, and 19 magnetic anomaly points in the first mining area were analyzed, and the suspected fire zones were determined by comprehensive analysis, the research results were consistent with the actual conditions, the reliability of magnetic detection of fire area was verified by drilling hole.

Key words open-pit coal mine, gob, fire area detection, magnetic dectection

中图分类号 9631.2

文献标识码 A

引用格式:王禹,宋子岭,刘峰. 露天煤矿井工采空区火区磁法探测研究[J]. 中国煤炭,2020,46(2):93-99.

Wang Yu, Song Ziling, Liu Feng. Study on magnetic detection of fire area in underground gob in open-pit coal mine[J]. China Coal, 2020, 46(2):93-99.

作者简介:王禹(1965-),男,汉族,山西大同人,副教授,主要从事矿山开采技术方面的研究。E-mail:lucai4076@126.com。

(责任编辑 郭东芝)

(责任编辑:admin)