新煤网移动版

主页 > 技术资料 > 科技论文

天宝红沙梁煤矿风化煤腐植酸提取工艺研究

★ 清洁利用 ★

天宝红沙梁煤矿风化煤腐植酸提取工艺研究

张田录,袁 恺,戚继球

(窑街煤电集团有限公司,甘肃省兰州市,730080)

摘 要 以天宝红沙梁煤矿风化煤为原料并从中提取腐植酸,详细分析了影响萃取率的主要因素,用以确定最佳工艺参数。以腐植酸萃取率为指标,考察了提取剂种类、浓度、浸泡时间、固液比等因素对腐植酸萃取率的影响。研究结果表明,从风化煤中提取游离腐植酸时,选用稀HCl和NaOH效果较好,且当稀HCl浓度为1.70 mol/L、NaOH浓度为1.12 mol/L、稀HCl浸泡时间约4 h、NaOH浸泡时间约11 h、风化煤与稀HCl固液比为2∶25时,为天宝红沙梁煤矿风化煤提取腐植酸的最佳条件。

关键词 风化煤;腐植酸;萃取率;催化剂

随着人民生活水平的提高,人们对饮食、医疗、环境等要求越来越高,开发和利用高产、高纯度的腐植酸是解决这些问题的主要措施之一。煤炭腐植酸广泛分布在泥炭、褐煤及风化煤中,是开发利用腐植酸的资源之一。窑街煤电集团有限公司天宝红沙梁煤矿(以下简称“天宝红沙梁煤矿”)丰富的风化煤资源为腐植酸的开发应用提供了原料保障,从中提取的腐植酸可以实现资源的二次利用并减少环境污染,创造更大的经济价值。

笔者从风化煤综合利用的角度,以天宝红沙梁煤矿风化煤为研究对象,研究了提取剂的类型和浓度、浸泡时间、固液比对腐植酸提取的影响,用以确定最佳的工艺条件。研究不同催化剂对腐植酸萃取率的影响并优化高效催化剂,可为腐植酸的进一步制备和应用开发提供依据。

1 腐植酸概述

腐植酸是自然界中最常见且复杂的天然有机化合物之一,是微生物在一定的自然条件下,通过物理和化学作用,长期降解转化而形成的一种棕色或黑色物质[1],主要由C、H、O、N、S等元素组成,是一组含芳香结构、性质类似的无定性酸性物质组成的混合物。

1.1 腐植酸组成及分类

腐植酸主要存在于泥炭、褐煤、风化煤、土壤、河流和湖泊沉积物、牲畜粪便、腐烂的秸秆和城市污泥中。根据腐植酸的原料来源可分为人工腐植酸和天然腐植酸,人工腐植酸通过化学变化生成腐植酸,主要有生化腐植酸和风化次生腐植酸;天然腐植酸主要包括土壤腐植酸、水体腐植酸和煤炭腐植酸。腐植酸按状态可分为游离腐植酸和结合腐植酸。根据腐植酸溶解性可分为黄腐酸、黑腐酸和富里酸,从黄腐酸到富里酸,碳含量相对逐渐增加,而氢含量则相对逐渐减少。

1.2 腐植酸结构和性质

腐植酸分子中含有许多官能团,这些官能团影响着腐植酸的应用和性质。

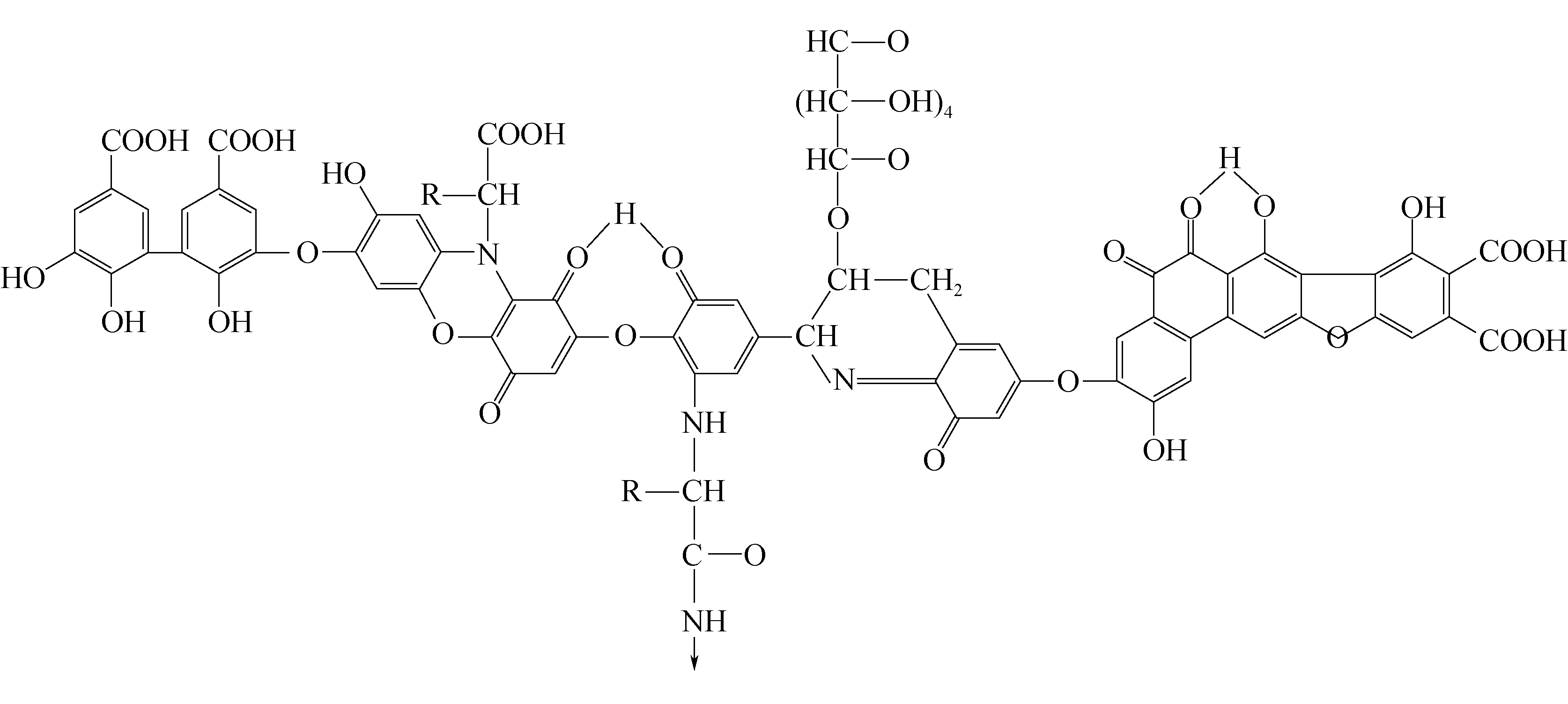
通过热解分析、13C-NMR和电子显微镜等技术手段对腐植酸的结构进行研究分析,并绘制了某种腐植酸结构如图1所示。

图1 某种腐植酸的结构

腐植酸分子结构中的各种含氧官能团决定了其与金属离子的络合能力、亲水性、吸附等特性[2],腐植酸的主要化学性质包含以下几点。

(1)胶体性质。腐植酸含有羧基和酚羟基,所含的氢离子会发生电离,使其带负电。腐植酸是一种亲水胶体,低浓度时是真溶液,没有粘度;而在高浓度时则是一种胶体溶液,呈现胶体性质。

(2)酸性。腐植酸分子中含有-COOH、-OH等基团,使其具有弱酸性。

(3)离子交换性。腐植酸能与金属离子反应,生成弱酸盐,所以具有较强的离子交换能力。

(4)络合性能。腐植酸可以与一些金属离子形成络合物。

(5)亲水性。腐殖质是一种亲水胶体,具有强大的吸水能力,即使是风干的腐植酸也可能含有25%的水分。

(6)稳定性。腐植酸在水溶液中常呈线性结构,较易形成分子聚合体,具有较好的稳定性。

1.3 腐植酸提取方法

腐植酸提取方法主要有3种,分别是酸提取剂法、碱溶酸色谱法和微生物溶出法[3]。酸提取剂法具有提取工艺简单、操作方便、生产周期短、价格低的特点;碱溶酸色谱法应用广泛,是目前工业生产领域主要应用的提取方法,该方法具有操作简单、产率高的特点;微生物溶出法是通过温和的微生物溶出反应,将腐植酸进行清洁转化,产物的生物活性也较高,但反应时间长、产率低,目前尚处于试验研究阶段,尚未实现产业化。

1.4 腐植酸应用

(1)农牧业的应用。腐植酸是一种良好的植物生长调节剂,对提高作物的抗旱性和抗寒性、促进农作物生长发育具有重要作用[4-6]。腐植酸对农药的影响主要体现在其对农药的吸附行为,即对分解速率的控制。同时,腐植酸具有肥力效应,可直接应用于田间[7-9],促进植株发育,植物根系吸收腐殖质,可以提高养分利用率,增强作物抗逆性,提高作物品质。此外,腐植酸中的酚羟基能增强植物的抗病性、抗旱性和抗寒性,从而获得良好的收成。腐植酸在养殖方面的应用也积累了不少数据,例如国外畜牧界总结了天然腐植酸用作猪饲料添加剂的6个优点,一是调整体内盐、碱平衡;二是促进生长;三是增强体质和免疫力;四是仔猪断奶后迅速增重;五是降低死亡率;六是消除粪便臭味[10]

(2)工业应用。腐植酸在工业上有着广泛的应用[11],主要用作添加剂。在石油生产中,腐植酸作为钻井液添加剂,还可以提高出油量;腐植酸用作失水剂、稀释剂和页岩稳定剂,还可提高耐高温、耐盐和耐钙水平。

(3)环境保护领域的应用。腐植酸具有成本低、来源广、孔隙结构大、比表面积大和含有多种活性官能团等优点,常用于吸收重金属,可用于修复工业发展造成的土壤污染,不仅能产生良好的经济效益,还可以有效增加土壤中有机成分的含量 [12-13]

2 风化煤中提取腐植酸的试验装置及方法

2.1 材料与设备

(1)试验中使用的试剂及规格:硫酸亚铁铵化学纯;重铬酸钾化学纯;邻菲罗啉(GB/T 1293)化学纯;硫酸亚铁(GB/T 664-2011)化学纯;焦磷酸钠化学纯;NaOH化学纯;HCl分析纯,36%;H2SO4 (GB/T 625-2007)化学纯,95%;KOH分析纯。

(2)试验中使用的主要仪器和设备:5、10、15 mL的移液管;250 mL锥形瓶;10、100 mL量筒;50 mL滴定管;250 mL分液漏斗、50 mL漏斗;50、100、200、1 000 mL的容量瓶;250 mL烧杯;上海一恒科学仪器有限公司生产的DHG-9030A型电热恒温鼓风干燥箱;上海菁海仪器有限公司生产的FA2104N型电子分析天平;江苏新春兰科学仪器有限公司生产的HH-M8型水浴锅;上海亚荣生化仪器厂生产的SHZ-III型循环水真空泵;上海超亿泵阀制造有限公司生产的SF-250型粉碎机。

2.2 样品采集及处理

实验室用煤样为天宝红沙梁煤矿风化煤,首先对煤样进行粉碎,并将其研磨至小于0.025 mm后,将煤样放入烤箱中,在110~120 ℃下干燥 2 h。

2.3 煤中腐植酸总产率的测定

2.3.1 试验方法

煤样中的腐植酸部分以游离态存在,另一部分与金属离子形成的腐植酸难以溶解。为了确定煤样中腐植酸的总产率,需要先进行化学处理,将组合后的腐植酸转化为游离态。试验步骤如下所述。

(1)称取粒度小于0.2 mm的常规分析煤样0.2 g,放入250 mL的锥形瓶中,加入焦磷酸钠100 mL,摇湿后盖上锥形盖。在(100±1)℃处放置1个小漏斗在水浴中(当温度未达到时,加入所需量的甘油调节温度),关火2 h,每30 min摇晃一次,使煤样下沉。

(2)取锥形烧瓶冷却至室温,将所有提取物及残留物转移至200 mL的容量瓶中,用蒸馏水稀释至结垢后摇匀。在优质滤纸上以中速干燥过滤,将最初过滤的10 mL溶液弃掉后,再过滤50~100 mL 滤液以供测量。

(3)将5 mL滤液吸入250 mL锥形瓶中,再转入5 mL浓度为0.4 mol/L的重铬酸钾溶液和15 mL浓度为18.4 mol/L的浓H2SO4中,在(100±1)℃的水浴中加热氧化30 min后取出冷却至室温,用蒸馏水稀释至100 mL左右,冷却后加入3滴邻菲罗啉指示剂,用NH4Fe(SO4)2标准溶液还原至砖红色。另外取2份5 mL浓度为0.4 mol/L的重铬酸钾,准确加入5 mL焦磷酸钠碱提取物和15 mL的浓H2SO4中进行氧化滴定,测定空白值。滴定所消耗的硫酸亚铁铵溶液的体积见表1。

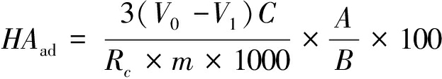
2.3.2 煤中腐植酸含量的计算

(1)硫酸亚铁铵标准溶液浓度见式(1):

(1)

式中:C——硫酸亚铁铵标准溶液浓度,mol/L;

V——硫酸亚铁铵标准溶液体积,mL。

由式(1)可以得出,硫酸亚铁铵标准溶液的浓度为0.111 1 mol/L。

(2)风化煤中腐植酸总产率见式(2):

(2)

式中:HAad——风化煤中腐植酸总产率,%;

V0——滴定空白所消耗的标准硫酸亚铁铵溶液的体积,mL;

V1——滴定试液所消耗的标准硫酸亚铁铵溶液的体积,mL;

Rc——腐植酸的含碳比,取0.62;

m——煤样质量,g;

A——碱抽提液的总体积,mL;

B——测定时所取试液的体积,mL。

由式(2)可以得出,腐植酸的总产率为11.000 5%。

表1 滴定所消耗的硫酸亚铁铵溶液的体积

煤样质量/g硫酸亚铁铵标准溶液体积V/mL滴定空白所消耗的标准硫酸亚铁铵溶液的体积V0/mL滴定试液所消耗的标准硫酸亚铁铵溶液的体积V1/mL0.200 322.500 219.800 117.200 20.201 722.500 219.800 517.700 10.202 122.500 219.800 117.200 8

3 风化煤腐植酸的提取工艺研究

3.1 试验原理及步骤

风化煤中的腐植酸主要有、黄腐酸、黑腐酸和富里酸。根据溶解度的不同,只要在试验中把富里酸与腐黑物分离,就会得到腐植酸。对于含腐植酸的风化煤样,根据溶解度,将其3个组分分离的试验原理及步骤如图2所示。

图2 试验原理及步骤

3.2 用稀H2SO4与NaOH提取腐植酸

(1)由于H2SO4具有吸水性,因此稀释后的H2SO4浓度不宜过高,否则会导致煤样脱水,因此选取H2SO4浓度小于18.4 mol/L的稀硫酸。稀H2SO4浓度对腐植酸产量的影响如图3所示。

由图3可以看出,稀H2SO4浓度为1.4 mol/L时,腐植酸产量最高。这是因为H2SO4的浓度会影响腐植酸的溶解度,随着H2SO4浓度的增加腐植酸析出会变低,反而会影响到腐植酸的提取效果。

图3 稀H2SO4浓度对腐植酸产量的影响

(2)NaOH浓度的选择。由于腐殖质由腐植酸、黄腐酸和黑腐酸组成,而腐植酸易溶于碱性溶液中,因此选用NaOH能够达到分离腐植酸的目的。NaOH浓度对腐植酸产量影响如图4所示。

图4 NaOH浓度对腐植酸产量的影响

由图4可以看出,当NaOH浓度为0.6 mol/L时腐植酸产量最低,这是因为NaOH浓度过低不利于腐植酸的溶解,因此当NaOH浓度为0.8 mol/L时,可获得的腐植酸产量较高。

(3)稀H2SO4浸泡时间选择。稀H2SO4浸泡时间对腐植酸产量的影响如图5所示。

由图5可以看出,稀释H2SO4浸泡时间较短不利于黄腐酸的释放,而浸泡时间超过11 h后,又会随着时间的增加导致部分腐植酸被碳化,腐黑物有所增加,因此腐植酸产量减少。由此可得,稀H2SO4的最佳浸泡时间为11 h。

图5 稀H2SO4浸泡时间对腐植酸产量的影响

(4)NaOH浸泡时间选择。NaOH浸泡时间对腐植酸产量的影响如图6所示。

图6 NaOH浸泡时间对腐植酸产量的影响

由图6可以看出,随着浸泡时间的延长,腐植酸的质量整体呈上升趋势,但在4 h和6 h有明显的下降,而在浸泡时间为5 h时可获得的腐植酸产量为0.042 2 g,因此浸泡时间为5 h为最佳。

(5)固液比选择。固液比对腐植酸产量的影响如图7所示。

图7 固液比对腐植酸产量的影响

由图7可以看出,当固液比为2∶25时,腐植酸产量最大。但当配比超过2∶25时,随着溶液体积的增加,腐植酸产量有所下降,因此最优固液比为2∶25。

3.3 用稀HCl与NaOH提取腐植酸

(1)稀HCl浓度选择。由于煤样本身的性质,稀HCl的浓度不宜过高,否则会影响腐植酸的质量。稀HCl浓度对腐植酸产量的影响如图8所示。

由图8可以看出,稀HCl的浓度为1.7 mol/L时,腐植酸的产量是最高的。随着稀HCl浓度的上升,腐植酸的产量下降,即黄腐酸的产量下降,分离效果不明显。

图8 稀HCl浓度对腐植酸产量的影响

(2)NaOH浓度选择。NaOH浓度对腐植酸产量的影响如图9所示。

图9 NaOH浓度对腐植酸产量的影响

由图9可以看出,当NaOH浓度为0.6 mol/L时腐植酸的产量较低,此时风化煤中的腐植酸并没有完全分离;但当浓度超过1.12 mol/L时,则超过了溶出腐植酸的最适宜范围,因此浓度在1.10~1.12 mol/L之间为最佳浓度。

(3)稀HCl浸泡时间选择。稀HCl浸泡时间对腐植酸产量的影响如图10所示。

图10 稀HCl浸泡时间对腐植酸产量的影响

由图10可以看出,煤样中的黄腐酸溶解在酸和碱中,稀HCl浸泡时间短不利于黄腐酸的分离。但浸泡时间过长会影响生产,则会增加成本。因此,从风化煤中提取腐植酸的最佳浸泡时间为11 h左右,此时的黑腐量最少,腐植酸量最多。

(4)NaOH溶液浸泡时间选择。NaOH浸泡时间对腐植酸产量的影响如图11所示。

由图11可以看出,NaOH浸泡时间短不能完全溶解腐植酸,但浸泡时间过长也会影响产量。因此从风化煤中提取腐植酸,浸泡时间为4 h时较适宜。

图11 NaOH浸泡时间对腐植酸产量的影响

(5)固液比选择。固液比对腐植酸产量的影响如图12所示。

图12 固液比对腐植酸产量的影响

由图12可以看出,随着固液比中溶液体积的增加,腐植酸产量会呈现先增加后减少的趋势。当固液比为2∶25时,获得的腐植酸产量最高,也就是腐植酸萃取率最高;当固液比中溶液体积继续增加,腐植酸的质量开始减少。因此最优固液比为2∶25。

3.4 用稀H2SO4与KOH提取腐植酸

(1)稀 H2SO4浓度选择。稀 H2SO4浓度对腐植酸产量的影响如图13所示。

图13 稀 H2SO4浓度对腐植酸产量的影响

由图13可以看出,稀释H2SO4浓度为1.4 mol/L时,腐植酸产量最高,不溶物(黑腐酸)数量最少。

(2)KOH浓度选择。KOH浓度对腐植酸产量的影响如图14所示 。

由图14可以看出,当KOH浓度为0.4 mol/L时,风化煤中的腐植酸不能完全分离,而KOH浓度过高则会影响腐植酸的质量;当KOH浓度为0.8 mol/L时,腐植酸产量最高,为0.195 8 g。

图14 KOH浓度对腐植酸产量的影响

(3)稀H2SO4浸泡时间选择。稀H2SO4浸泡时间对腐植酸产量的影响如图15所示。

图15 稀H2SO4浸泡时间对腐植酸产量的影响

由图15可以看出,酸溶液浸泡11 h时,腐植酸分离效果较好,14 h后腐植酸产量降低,腐植酸质量受到影响,部分腐植酸被碳化。而在酸溶液浸泡13 h时,腐植酸产量最高,腐黑物最少。

(4)KOH浸泡时间选择。KOH浸泡时间对腐植酸产量的影响如图16所示。

图16 KOH浸泡时间对腐植酸产量的影响

由图16可以看出,当碱性溶液浸泡1 h时,腐植酸产量很小,这表明时间太短不利于腐植酸的分离,并最终影响腐植酸产量;在KOH溶液浸泡4 h,腐植酸的产量最高。

(5)固液比选择。固液比对腐植酸产量的影响如图17所示。

图17 固液比对腐植酸产量的影响

由图17可以看出,当固液比为2∶15时,酸溶液的量太少,无法分离黄腐酸;当固液比为2∶25时,腐植酸产量最高;当固液比为2∶25后,随着浸泡液量的增加,黑腐量开始增加,腐植酸量开始减少。因此,固液比为2∶25较为适宜。

3.5 计算与结果

(1)腐植酸百分含量与萃取率见式(3)和式(4):

(3)

式中:W——腐植酸百分含量,%;

m——提取腐植酸的质量,g;

M——风化煤质量,g。

(4)

式中:X——腐植酸萃取率,%。

(2)萃取率计算。在最佳工艺条件下,不同萃取剂在最佳提取条件下对腐植酸萃取率的影响见表2。

表2 不同萃取剂在最佳萃取条件下对腐植酸萃取率的影响

酸/(mol·L-1)碱/(mol·L-1)酸浸泡时间/h碱浸泡时间/h固液比取率/%稀H2SO4为1.40NaOH为0.801152∶2516稀HCl为1.70 NaOH为1.12 1142∶2574稀H2SO4为1.40 KOH为0.80 1342∶2565

由表2可以看出,在稀HCl浓度为1.70 mol/L、NaOH浓度为1.12 mol/L、酸浸泡时间约为11 h、碱浸泡时间约为4 h、且固液比为2∶25的条件下,从风化煤中萃取腐植酸的萃取率最高,可达74%。

4 结语

以腐植酸萃取率为研究指标,研究了不同提取剂、不同催化剂对腐植酸萃取率的影响,

由试验数据可以看出稀HCl-NaOH溶液从风化煤中萃取腐植酸的效果最优。对天宝红沙梁煤矿而言,因其具有丰富的风化煤资源,从风化煤中提取腐植酸不仅能够实现资源的有效利用,还能创造更多的经济价值,该工艺具有操作相对简单的特点,可以实现批量生产。

参考文献:

[1] 成绍鑫 . 腐植酸类物质概论(第二版)[M]. 北京:化学工业出版社,2020.

[2] 刘征捷.腐殖酸及腐殖酸肥的性质与应用[J].化工管理,2021,604(25):73-74.

[3] 冯静静,许英梅,何德民,等.腐植酸的提取方法及其应用性能研究进展[J].辽宁化工,2018,47(11):1131-1133.

[4] 杨艳,王勤俭,王峰,等.矿源腐殖酸肥料研发与产业化 发展[J].浙江农业科学,2021,62(8):1621-1624.

[5] 刘灿华,袁天佑,闫军营,等. 减氮配施腐植酸对耕层土壤理化性质的影响[J]. 中国土壤与肥料,2020,289(5):77-83.

[6] 顾鑫,任翠梅,王丽娜,等. 施用腐植酸改良大庆苏打盐碱土的效应[J]. 中国土壤与肥料,2021,294(4):77-82.

[7] 周孟瑜,孙玉桃,董春华,等.喷施腐植酸水溶肥对冬莴笋产量、品质及效益的影响[J].湖南农业科学,2020,415(4):27-28.

[8] 中腐协秘书处. 新观察:土壤在减缓气候变化中潜能巨大[J]. 腐植酸,2020,193(2):89.

[9] 中腐协秘书处. 东北黑土地保护性耕作,生物腐植酸 技术大有作为 [J]. 腐植酸,2020,193(2):88.

[10] 曾宪成,李双 . 腐植酸低碳肥料与碳达峰 [J]. 腐植酸,2022,204(1):11-17,55.

[11] 谭井山,邓丽娟,刘晓羽,等.宝清县发展煤化工项目潜力分析[J].山东化工,2018,47(13):186-187.

[12] 杜作勇,庹先国,王彦惠,等.腐殖酸对U(VI)的吸附机理研究[J].环境化学,2019,38 (8):1768 -1774.

[13] 张康,戴亮,赵伟繁,等.污泥腐殖酸对Cd2+的吸附特性[J].环境科学研究,2020,33 (6):1459 -1468.

Study on extraction process of humic acid from weathered coal of Tianbao Hongshaliang Coal Mine

ZHANG Tianlu, YUAN Kai, QI Jiqiu

(Yaojie Coal and Electricity Group Corporation, Lanzhou, Gansu 730080, China)

Abstract Humic acid was extracted from weathered coal of Tianbao Hongshaliang Coal Mine, and the main factors affecting the extraction rate were analyzed in detail to determine the optimal process parameters. Taking the extraction rate of humic acid as an index, the effects of the type, concentration, soaking time and the ratio of material to liquid of the extraction agent on the extraction rate of humic acid were investigated. The research results show that when extracting free humic acid from weathered coal, the effects of dilute HCl and NaOH are better, and the conditions for extracting humic acid from weathered coal are best when the concentration of dilute HCl is 1.70 mol/L, the concentration of NaOH is 1.12 mol/L, the soaking time of dilute HCl is about 4 hours, the best soaking time of NaOH is about 11 hours, and the solid-liquid ratio of weathered coal to dilute HCl is 2∶25.

Keywords weathered coal; humic acid; extraction rate; catalyzer

中图分类号 TQ536.92

文献标志码 A

移动扫码阅读

引用格式:张田录,袁恺,戚继球.天宝红沙梁煤矿风化煤腐植酸提取工艺研究[J].中国煤炭,2023,49(4):57-63.

DOI:10.19880/j.cnki.ccm.2023.04.010

ZHANG Tianlu,YUAN Kai,QI Jijiu. Study on extraction process of humic acid from weathered coal of Tianbao Hongshaliang Coal Mine [J]. China Coal,2023,49(4):57-63.

DOI:10.19880/j.cnki.ccm.2023.04.010

作者简介:张田录(1982-),男,甘肃庄浪县人,现任窑街煤电集团有限公司副总经理,主要从事煤矿开采工程、煤化工综合利用方面的研究。E-mail:572854798@qq.com

(责任编辑 王雅琴)

(责任编辑:admin)