新煤网移动版

主页 > 技术资料 > 科技论文

东胜煤田典型煤矿开采沉陷变形破坏研究

★ 生态矿山 ★

东胜煤田典型煤矿开采沉陷变形破坏研究

王汉元1 ,赵 頔2 ,敖 嫩1 ,段 丞1 ,王明君1,祁 帅1,贾 旭1,邓 燕1,武建强3

(1.内蒙古自治区地质调查研究院,内蒙古自治区呼和浩特市,010000;2.中国矿业大学〈北京〉,北京市海淀区,100000;3.内蒙古伊泰京粤酸刺沟矿业有限责任公司,内蒙古自治区鄂尔多斯市,010300)

摘 要 针对鄂尔多斯市东胜煤田煤矿开采沉陷引起的地表变形、破坏等问题,基于采动地表移动规律,结合东胜煤田典型煤矿岩移观测台账,采用非线性函数拟合法对采动引发的地表变形规律进行拟合;应用概率积分法进行对比验证,分析得出东胜煤田地表最大下沉速度与采矿条件之间的关系;应用极差和方差进行分析得出各影响因素中最大显著因素。以上研究成果以期为矿井工作面优化设计、采动损害程度评价预测以及采煤沉陷区的生态修复等提供基础参考和科学依据。

关键词 东胜煤田;开采沉陷;非线性函数拟合;概率积分法

井工煤矿在充分采动情况下,随着综采工作面的不断推进,地表移动是一个由缓慢、剧烈、逐渐恢复直至停止的过程[1-5]。采动地表移动变形预测的传统方法是待地表稳定后进行终态预测,随着研究的不断深入以及认识水平的逐步提高,研究人员逐渐意识到地表移动变形是一个复杂的时空变形过程[6]。在开采沉陷研究过程中,实现动态预测能够较好地实现采动过程中建(构)筑物的变形及破坏评价。地表动态移动沉陷受松散层厚度、覆岩性质、沉陷阶段等诸多因素影响[7-9],为了实现对地表建(构)筑物的有效保护,基于采动地表移动规律,结合东胜煤田典型煤矿岩移观测台账,分析总结了东胜煤田地表岩移规律,为进一步研究提供基础参考。

1 基本地质条件

东胜煤田是以三叠系上统延长组为沉积基底的侏罗纪早期和中期含煤建造,主要含煤地层为侏罗系中下统延安组(J1-2y)。上覆地层有侏罗系中统直罗组(J2z)、安定组(J2a)、侏罗系上统~白垩系下统志丹群(J3-K1)、新近系上新统(N2)和第四系(Q)。

地层含煤组为2、3、4、5、6、7这6个煤组,其可采煤层厚度为1.63~28.60 m,各煤层与下覆地层为平行、不整合接触,地处鄂尔多斯台向斜的东北缘、次级构造单元——伊盟隆起东部。鄂尔多斯台向斜轮廓近长方形,呈极开阔的不对称单斜构造,向斜轴部偏西,西翼较陡,东翼宽缓。台向斜内部地质构造呈现简单,褶曲、断裂不发育,台向斜西翼构造呈现复杂,发育有巨大的倾伏倒转褶曲和逆掩断层 [10]。基本构造形态为单斜构造,向南西倾斜,倾角为1°~5°。东胜煤田南部地下水相对比较富集,北部和东部相对贫乏。东胜煤田区域性排泄带位于无定河中下游地带。水文地质勘探类型以裂隙充水矿床为主,水文地质条件简单[11]

2 典型煤矿选取

本次研究选取东胜煤田典型煤矿作为研究对象,采煤方法为走向长壁式采煤法,顶板管理均采用全部垮落法。各矿地表动态移动特征参数见表1。

表1 典型煤矿地表动态移动特征参数

观测站煤层倾角/(°)第四系松散层平均厚度/m工作面长度/m平均采深/m采厚/m倾向最大下沉值/m平均推进速度/(m·d-1)最大下沉速度/(m·d-1)高头窑煤矿23101综采工作面1~515.00270.01053.402.4610.00.172 34布尔台煤矿22207综采工作面1~310.00302.82953.502.217.80.120 90补连塔煤矿22408综采工作面1~520.62303.02305.794.8213.50.470 00上湾煤矿12401综采工作面1~515.00299.02159.006.209.00.424 00

现场调研发现,综采工作面从开切眼到最终停采线,地表裂缝首先从开切眼位置外侧出现;如果开切眼位于地形起伏较大的位置,则裂隙宽度相对较大,部分区域会出现台阶状。随着综采工作面沿走向推进,周期来压步距的出现,地表裂缝亦呈现周期性分布,大部分裂隙平行于综采工作面,呈现条带状分布,走向裂隙相对较少。在综采工作面达到充分采动直至停采,地表整体呈现“凹”形盆地状,工作面中心线位置处下沉量最大,两边其次。开采沉陷地表破坏情况如图1所示。

3 数据分析

3.1 实测数据分析

以东胜煤田典型煤矿高头窑煤矿23101综采工作面、布尔台煤矿22207综采工作面、补连塔煤矿22408综采工作面以及上湾煤矿12401综采工作面为研究对象,在综采工作面达到充分采动情况下,收集各矿井对应综采工作面地表岩移监测台账,利用绘图软件Origin Pro2022绘制各综采工作面对应倾向下沉曲线,如图2~图5所示。

图1 综采工作面开采沉陷地表破坏情况

图2 高头窑煤矿23101综采工作面沿倾向下沉曲线

图3 布尔台煤矿22207综采工作面沿倾向下沉曲线

从图2~图5可以看出,在达到充分开采的情况下,综采工作面倾向方向从开切眼位置到停采处逐渐发生下沉,地表下沉影响范围以综采工作面中心线为轴向两边扩展,且范围大于综采工作面宽度。随着综采工作面的不断推进,地表下沉逐渐呈现“凹”形盆地状,最大值下沉发生在综采工作面中心线位置处;地表下沉从综采工作面中心线位置逐渐向两边减小,综采工作面边界位置下沉盆地相比陡峭,下沉盆地边界收敛慢。地表移动最大下沉速度反映地表移动的剧烈程度,主要和采深、采厚及覆岩岩性等有关,并且呈现出采深越大,最大下沉速度越小;采厚越大,最大下沉速度越大等规律[12-15]

图4 补连塔煤矿22408综采工作面沿倾向下沉曲线

图5 上湾煤矿12401综采工作面沿倾向下沉曲线

根据实测资料线性回归得到东胜煤田典型煤矿地表最大下沉速度与采矿条件的关系见式(1):

Vmax=0.694 79-0.251 28 ln(H/MS)

(1)

式中:Vmax——地表最大下沉速度,m/d。

H——平均采深,m;

M——煤层厚度,m;

S——工作面平均推进速度,m/d。

采用非线性曲线进行拟合,采用迭代算法Levenberg-Marquardt进行优化,参数0.694 79的标准误差为0.179 78,t值为3.864 69,概率>|t|:0.060 9,相关性为0.903 51;参数-0.251 28的标准误差为0.107 89,t值为-2.328 93,概率>|t|:0.145 25,相关性为0.903 51。从拟合结果可知,达到1E-9的Chi-sqr容差值,该拟合收敛。

根据拟合公式可以指导实际生产,在给定平均采深、煤层厚度以及综采工作面平均推进速度的条件下,可以计算出给定条件下的地表最大下沉速度,从而为指导生产以及后期生态修复等提供理论指导。

3.2 概率积分法分析

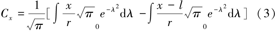
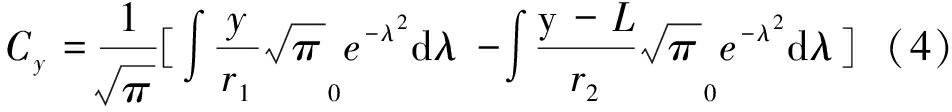
运用概率积分法对4个综采工作面进行概率积分模型分析,其原理为:地表任意点A(xy)下沉W(xy)的数学表达见式(2)~式(4)[13-19]

(2)

式中:Wcm——地表最大下沉值,m;

q——地表下沉系数;

α——煤层倾角,(°);

λ——沉陷破坏参量,无量纲;

CxCy——主断面上投影点在走向、倾向处下沉分布系数;

lL——拐点平移后走向长度及倾斜方向在地表的计算宽度;

rr1r2——走向、下山、上山的主要影像半径。

利用概率积分法对4个综采工作面进行分析,绘制其倾向最大下沉曲线,并与实测最大下沉曲线进行对比,同时利用综采工作面宽度对其进行校对。4个综采工作面倾向最大下沉曲线对比如图6~图9所示。

图6 高头窑煤矿23101综采工作面倾向最大下沉曲线对比

图7 布尔台煤矿22207综采工作面倾向最大下沉曲线对比

从图6~图9可以看出,利用概率积分法得出图像均符合正态分布,均以综采工作面中心线为轴成对称分布,模拟与实测数值耦合度较高,最大下沉值接近。从图中可以看出位于盆地中央部位和中间区域地表下沉均匀,在该地质条件下,其下沉量达到最大值。最大下沉点到采空区边界处是移动盆地内部边缘区域,其地表下沉值幅度变化较大,发生压缩变形,地表逐渐靠近中心线方向倾斜,呈现“凹”形,通过实际现场调研发现,一般情况下不出现裂缝。盆地边界到采空区边界是移动盆地外部边缘区域,其地表下沉值变化幅度大,发生拉伸变形,地表逐渐向盆地中心倾斜,呈现“凸”形,当拉伸达到一定数值并超过其极限值后会产生拉伸裂缝。

图8 补连塔煤矿22408综采工作面倾向最大下沉曲线对比

图9 上湾煤矿12401综采工作面倾向最大下沉曲线对比

3.3 采煤沉陷区地表变形响应规律分析

根据概率积分法原理和输入参数,以最大下沉值作为不同因素影响条件下地表移动的表征指标,根据开采沉陷地表移动的最主要影响因素,选取了平均采深、平均采厚、下沉系数和水平移动系数4项因素开展模拟分析。正交试验的优势在影响因素数量众多时,利用正交试验可减少模拟试验次数,工作量较少。根据选取的4个影响因素,采用L9(34)正交表格,试验中每个因素被划分为3个水平,共计9次试验。东胜煤田典型煤矿设计的四因素三水平正交试验见表2,东胜煤田典型煤矿开采沉陷概率积分正交模型见表3。

由表2和表3可以看出,平均采深、平均采厚、下沉系数和水平移动系数均是对最大下沉值产生重大影响的因素,若其中一个因素发生变化,则其最大下沉值发生变化。因此,本研究使用Minitab软件对东胜煤田典型煤矿开采沉陷地表移动规律其中的平均采深、平均采厚、下沉系数、水平移动系数四因素对最大下沉值的正交试验结果进行了统计,试验结果统计见表4。

表2 东胜煤田典型煤矿四因素三水平正交试验

影响因素平均采深/m平均采厚/m下沉系数水平移动系数水平11604.000.260.06水平23534.750.530.23水平35455.500.800.40

表3 东胜煤田典型煤矿开采沉陷概率积分正交模型

试验次数平均采深/m平均采厚/m下沉系数水平移动系数11604.000.260.0621604.750.530.2331605.500.800.4043534.000.530.4053534.750.800.0663535.500.260.2375454.000.800.2385454.750.260.4095455.500.530.06

表4 东胜煤田典型煤矿开采沉陷预测正交试验结果统计

试验次数平均采深/m平均采厚/m下沉系数水平移动系数最大下沉值/m11604.000.260.061.0421604.750.530.232.5231605.500.800.404.4043534.000.530.402.1253534.750.800.063.8063535.500.260.231.4375454.000.800.233.2085454.750.260.401.2395455.500.530.062.92

3.3.1 地表变形响应规律分析

在东胜煤田典型煤矿正交试验结果统计的基础上计算出每个因素同一水平的全部试验结果之和,每个水平进行3次试验,求出该水平3次试验结果的平均值,对表4中的试验结果进行极差分析,分析结果见表5,各因素敏感性极差曲线如图10所示。

根据极差敏感性分析评价结果,各影响因素的极差敏感性等级定性排序为下沉系数>平均采厚>平均采深>水平移动系数。

表5 东胜煤田典型煤矿开采沉陷地表最大下沉值响应因素极差分析

影响因素平均采深/m平均采厚/m下沉系数水平移动系数模型参数水平12.6532.1201.2332.587模型参数水平22.4502.5172.5202.383模型参数水平32.4502.9173.8002.583极差值Delta0.2030.7972.5670.203影响等级Rank3214

图10 各因素敏感性极差曲线

由图10中 “平均采深”因素敏感性极差曲线可知,随着平均采深在160、353和545 m这3个水平的逐层提高,平均采深在160~353 m范围内时,平均采深的极差和值与三水平数值的变化呈现负相关关系,之后平均采深在353~545 m范围内为水平线性,在该范围内极差和值无变化,整体趋势线呈现非线性响应规律。东胜煤田典型煤矿的平均采深在160 m时极差和值最小,平均采深在353 m和545 m时极差和值相当,以此为依据可计算平均采深因素的极差值,判断比较各因素的敏感性。

由图10 中“平均采厚”因素敏感性极差曲线可知,平均采厚的极差和值与三水平数值的变化呈现正相关关系,即随着因素水平值的增大,平均采厚的极差和值也逐渐增大。且曲线前后变化斜率相似,近似为一条直线,平均采厚在4.00~4.75 m范围内平均采厚增长的幅度近似等同于平均采厚在4.75~5.50 m范围内的极差和值,趋势线呈现线性响应规律。

由图10 中下沉系数因素敏感性极差曲线可知,下沉系数的极差和值与三水平数值的变化呈现正相关关系,即随着因素水平值的增大,下沉系数的极差和值也逐渐增大。且曲线前后变化斜率相似,近似为一条直线,下沉系数在0.26~0.53 m范围内平均采厚增长的幅度近似等同于平均采厚在0.53~0.80 m 范围内的极差和值,趋势线呈现线性响应规律。

由图10 中水平移动系数因素敏感性极差曲线可知,水平移动系数的极差和值与三水平的变化先呈现负相关关系后呈现正相关关系,趋势线呈现出非线性变化规律。随着水平移动系数在0.06、0.23和0.40这3个水平的逐层提高,其相应的极差和值先减小再增大。极差和值最大值出现在水平移动系数为0.06位置处,极差和值最小值出现在水平移动系数为0.23位置处。

3.3.2 预测数据方差分析

通过对东胜煤田典型煤矿开采沉陷地表移动规律的正交试验分析结果,利用Minitab数值模拟软件对正交试验涉及的9组试验结果和四因素三水平试验进行了方差分析,通过对方差分析中参数值的选定得到各因素敏感性显著效果,见表6。

表6 东胜煤田典型煤矿开采沉陷概率积分各因素方差显著性分析

因素差异源误差偏差平方和因素水平个数总自由度检验灵敏度显著性P值敏感性评价平均采深0.08320.0411.020.50不显著平均采厚0.95220.47611.700.08不显著下沉系数9.88224.941121.460.01极显著水平移动系数-----不显著

通过方差分析,可以进一步的确定东胜开采沉陷地表移动规律最大下沉值影响因素的显著特征。从表6可以看出,下沉系数对地表最大下沉值影响极显著,平均采深、平均采厚和水平移动系数3个因素对最大下沉值影响不显著。该结果与极差分析结果完全一致。由此可进一步重点分析,在显著影响因素的作用下,东胜煤田典型煤矿开采沉陷地表移动规律的特点。

根据极差和方差分析结果,在影响东胜煤田典型煤矿地表沉陷最大下沉值的因素中,下沉系数因素对地表最大下沉值的结果影响最大。而平均厚度、水平移动系数和平均采深对地表最大下沉值影响较小,说明下沉系数是控制东胜煤田典型煤矿开采沉陷地表移动程度的关键控制因素。

4 结论

(1)实测资料线性回归得到东胜煤田典型煤矿地表最大下沉速度与采矿条件的函数关系式为:Vmax=0.694 79-0.251 28ln(H/MS),根据拟合公式可知,煤矿地表最大下沉速度在给定基本采矿条件下的地表最大下沉速度,从而为指导生产以及后期生态修复等提供指导。

(2)矿井开采工作面中间区域地表下沉均匀,最大下沉点到采空区边界处是移动盆地内部边缘区域,其地表下沉值幅度变化较大,发生压缩变形,地表逐渐靠近中心线方向倾斜,呈现“凹”形,一般情况下裂缝会自我修复。移动盆地外部边缘区域,其地表下沉值变化幅度大,发生拉伸变形,地表逐渐向盆地中心倾斜,呈现“凸”形,当拉伸达到一定数值超过其极限值后会产生拉伸裂缝。

(3)根据极差和方差分析结果,在影响东胜煤田典型煤矿地表沉陷最大下沉值的因素中,下沉系数因素对地表最大下沉值的结果影响最大。而平均厚度、水平移动系数和平均采深对地表最大下沉值影响较小,因此下沉系数是控制东胜煤田典型煤矿开采沉陷地表移动程度的关键控制因素。

参考文献:

[1] 贾新果,宋桂军,陈凯.工作面推进速度对地表沉陷动态变形影响研究[J].煤炭科学技术,2019,47(7):208-214.

[2] 崔希民,车宇航,MALINOWSKA A,等.采动地表沉陷全过程预计方法与存在问题分析[J].煤炭学报,2022,47(6):2170-2181.

[3] 何国清,杨伦,凌赓娣,等.矿山开采沉陷学[M].徐州:中国矿业大学出版社,1991.

[4] 邹友峰,邓喀中,马伟民.矿山开采沉陷工程[M].徐州:中国矿业大学出版社,2003.

[5] 钱鸣高,缪协兴,许家林.资源与环境协调(绿色)开采[J].煤炭学报,2007,32(1):1-7.

[6] 崔希民,邓喀中.煤矿开采沉陷预计理论与方法研究评述[J].煤炭科学技术,2017,45(1):160-169.

[7] 黄乐亭,王金庄.地表动态沉陷变形的3个阶段与变形速度的研究[J].煤炭学报,2006,31(4):420-424.

[8] 张俊英,贾新果,李杰,等.万利矿区浅部煤层快速推进条件下开采地表移动沉陷规律研究[R].北京:煤炭科学研究总院,2012.

[9] 陈凯.东胜煤田浅埋煤层开采地表移动规律研究[D]. 北京:煤炭科学研究总院,2015.

[10] 樊克松.特厚煤层综放开采矿压显现与地表变形时空关系研究[D].北京:煤炭科学研究总院,2019.

[11] 王汉元,赵頔,段丞,等.鄂尔多斯市典型煤矿开采沉陷和地表移动规律评价预测研究设计书[R].内蒙古自治区地质环境监测院,2021.

[12] 李杰,万利矿区浅埋煤层开采地表移动变形规律[J].煤矿开采,2013,18(4):8-13,61.

[13] 沈红霞.有限开采条件地表移动时间函数研究[D].沈阳:沈阳大学,2012.

[14] 李春雷,谢谟文,李晓璐.基于GIS和概率积分法的北洺河铁矿开采沉陷预测及应用[J].岩石力学与工程学报,2007,6(1):1243-1250.

[15] 李杰,浅埋厚煤层综放开采地表移动与覆岩破坏规律研究[D].北京:煤炭科学研究总院,2012.

[16] 于广明,张春会,李振宇,等.基于GIS的矿山开采沉陷预测电算化研究[J].岩土力学,2004(Z1):52-56.

[17] 刘义新,李振国,曾柯植,等.浅埋煤层工作面快速开采速度与地表移动参数关系研究[J].中国煤炭,2018,44(5):40-44.

[18] 方军.复杂地形条件下井工开采地表变形规律研究[D].唐山:华北理工大学,2019.

[19] 沈震,徐良骥,刘哲等.基于Matlab的概率积分法开采沉陷预计参数解算[J].金属矿山,2015,9(1):170-174.

Study on mining subsidence deformation and failure of typical coal mines in Dongsheng coalfield

WANG Hanyuan1, ZHAO Di2, AO Nen1, DUAN Cheng1, WANG Mingjun1, QI Shuai1, JIA Xu1, DENG Yan1, WU Jianqiang3

(1. Geological Survey Academy of Inner Mongolia Autonomous Region, Hohhot, Inner Mongolia 010000, China;2. China University of Mining and Technology-Beijing, Haidian, Beijing 100083, China;3.Inner Mongolia Yitai Jingyue Suancigou Mining Co., Ltd., Ordos, Inner Mongolia 010300, China)

Abstract Aiming at the problems of surface deformation and failure caused by mining subsidence in Dongsheng coalfield in Ordos, and based on the law of surface movement caused by mining and the observation account of rock movement in typical coal mines in Dongsheng coalfield, nonlinear function fitting method is used to fit the law of surface deformation caused by mining. The probability integral method is used for comparison and verification, the relationship Buertai ween the maximum surface subsidence speed and mining conditions in Dongsheng coalfield is analyzed and put forward,and the most significant factor among the influencing factors is obtained by range and variance analysis. The research results are expected to provide the basic reference and scientific basis for the optimization design of working face, evaluation and prediction of the mining damage degree, and ecological remediation of coal mining subsidence areas.

Keywords Dongsheng coalfield; mining subsidence; nonlinear function fitting; probability integral method

中图分类号 TD325

文献标志码 A

移动扫码阅读

引用格式:王汉元,赵頔,敖嫩,等.东胜煤田典型煤矿开采沉陷变形破坏研究[J].中国煤炭,2023,49(4):73-79.

DOI:10.19880/j.cnki.ccm.2023.04.012

WANG Hanyuan,ZHAO Di,AO Nen,et al.Study on mining subsidence deformation and failure of typical coal mines in Dongsheng coalfield[J].China Coal,2023,49(4):73-79.

DOI:10.19880/j.cnki.ccm.2023.04.012

基金项目:内蒙古自然资源厅科技创新资助项目(2020~2022-104)

作者简介:王汉元(1990-),男,内蒙古商都县人,工程师,硕士研究生,主要从事采矿工程方面的研究。E-mail:hanyuanwang911@163.com

通讯作者:赵頔(1992-)女,河北衡水人,博士研究生,主要从事矿山环境修复治理及矿井水害防治方面的研究。E-mail:1160452438@qq.com

(责任编辑 路 强)

(责任编辑:admin)