新煤网移动版

主页 > 技术资料 > 科技论文

胜利露天煤矿煤-灰双向长距离输送系统研究与应用

★ 科技引领 ★

胜利露天煤矿煤-灰双向长距离输送系统研究与应用

王焕林,于 超

(中煤科工集团沈阳设计研究院有限公司,辽宁省沈阳市,110015)

摘 要 针对国能北电胜利能源有限公司(以下简称“胜利露天煤矿”)采用汽车运输方式将煤炭运输至胜利发电厂造成的运输成本高以及不环保等问题,提出了从胜利露天煤矿至胜利发电厂修建煤-灰双向长距离输送系统,并同时将发电厂的煤-灰通过同一条带式输送机下胶带反向输送至胜利露天煤矿进行回填的双向同步输送系统。介绍了带式输送机输送系统工艺布置方案,并详细阐述了带式输送机输送系统转弯段半径设计、转弯段托辊设计、抑尘设计等关键技术。通过近13个月的试生产运行,表明该输送系统运行平稳,沿途不撒料、不粘带、不起灰、节能环保,实现了所有设计功能。结合现场运行工况,从曲线水平转弯、“n”形防护罩、无动力曲线落煤管、非金属低噪音托辊、胶带防冻粘、多机驱动等多项技术分析,验证了高寒地区大运量、多机驱动、上带煤、下带灰的长距离水平转弯带式输送技术于一体的输送方案可行。

关键词 胜利露天煤矿;长距离输送系统;水平转弯;煤来灰去;高寒地区

胜利露天煤矿位于内蒙古自治区锡林浩特市北郊5 km,生产能力为2 800 万t/a,目前销售渠道主要以火车外运为主,其次是汽车外运至周边发电厂。胜利露天煤矿周边有胜利发电厂、北方电厂、锡林电厂及大唐电厂,除了刚投入使用的胜利发电厂外,其他电厂原料煤均靠汽运运输至厂区内,同时发电厂锅炉燃烧后的粉煤灰也是通过汽车外运至排弃地点。近年来,我国环保法规日趋严格,人们对环保意识不断增强,汽车运输过程中存在的能耗高、环境污染大、运输效率低、受天气影响大、影响道路通行效率、运输成本高等缺点已不能适应当前高质量发展的需要[1]

带式输送机相比汽车运输具有高效、节能、对环境污染较小、连续输送、可实现自动化控制、运输成本低等优势,如将电厂锅炉燃烧后的粉煤灰通过输煤带式输送机下胶带反向输送至露天煤矿回填,每年可节省运费近1 000万元,既避免了汽车运输产生的一系列问题,又保护了生态环境。考虑到输煤、运灰的起点与终点基本重合,以及输煤带式输送机运行时下胶带空载运行的工况条件,本次将下胶带改成槽型结构的承载面,使之具备弃灰的反向输送,通过一条带式输送机实现上胶带运煤、下胶带运灰双向运输的生产需求[2

中煤科工集团沈阳设计研究院有限公司根据国家能源投资集团“见不到煤,看不到灰”的高标准要求,以“生态优先,绿色发展”为理念,针对输煤、运灰的起点与终点基本重合的工程特点,在增加少量建设投资的基础上,设计新型上带煤、下带灰的双向长距离输送系统,即在满足承载胶带向电厂供煤的同时,利用回程胶带将发电厂的粉煤灰输送至露天矿排土场,形成上胶带运煤、下胶带运灰的循环作业模式,取代汽车运灰模式,真正实现“煤来灰去”流水作业的现代化输送系统[3-5]

1 工艺布置方案

本工程是将胜利露天煤矿采掘的原煤通过带式输送机输送至电厂,再将电厂燃烧后的粉煤灰输送至露天排土场进行排弃。采用轮斗+汽运方式运输至一次破碎站,经一次破碎、二次破碎及筛分系统后,由带式输送机系统将原煤输送至沿线的北方电厂、锡林电厂以及新建的胜利发电厂。

胜利露天煤矿至胜利发电厂输送系统沿线经过既有的破碎、筛分系统,然后进入新建的输送系统,输送系统依次经过胜利露天煤矿排土场、锡林河、锡乌铁路、沼泽地、村庄、奶牛场、307省道、多处乡道,穿越220 kV 和110 kV 高压线、北方电厂,最后到达胜利发电厂。沿线地形复杂多变,既要躲避一些障碍区域,还要确保工艺系统的顺畅。本系统的起点为胜利露天煤矿,终点为胜利发电厂;粉煤灰起点为胜利发电厂,排弃终点为胜利露天煤矿露天排土场。胜利露天煤矿露天排土场至胜利发电厂主输送系统为2条,其中705带式输送机主要参数为:B=1 600 mm、V=4.5 m/s、Q=3 000 t/h、N=5×800 kW、L=8 642 m;706带式输送机主要参数为:B=1 600 mm、V=4.0 m/s、Q=3 000 t/h、N=3×710 kW、L=1 492 m,为实现粉煤灰中间转载,系统又增加了2条单向输灰带式输送机,主要参数为:B=1 000 mm,V=3.15 m/s,Q=500 t/h[6]

为了躲避奶牛村、沼泽地,并穿越已投入使用的锡乌铁路、307省道桥涵,705带式输送机设计了3个水平转弯段。锡林浩特市冬季最低气温为-38 ℃,极寒天气温度超过-40℃以上。为了适应锡林浩特特殊的地理环境,本项目集7项科研成果、技术创新于一体,应用了三曲线水平转弯、“n”形防护罩、无动力曲线落煤管、非金属低噪音托辊、胶带防冻粘、多机驱动等多项技术创新,有效解决了长距离水平转弯煤-灰双向运输带式输送机启动/制动以及跑偏、散料、低噪音等问题;有效处理煤-灰在运输过程中扬尘、冻粘、堵料和清扫等问题,满足环境保护要求。

2 设计技术难点

2.1 转弯段半径

在布置长距离输送系统时,为了减少中间转载站,应尽量布置1条带式输送机,本工程主输送系统705带式输送机全长为8 642 m。为了躲避村庄、沼泽地,穿越既有铁路、公路桥涵,本工程设计了3个转弯半径。合理地计算转弯半径,防止带式输送机在各种工况下跑偏、撒料是本输送系统设计的难点之一。

在经过转弯段时,为了保证物料在高速运行过程中能不跑偏、不撒料的情况下平稳顺利通过,需确保物料在转弯段位置时每一个单元所受的向心力等于离心力[7]。因为在带式输送机转弯时,运行中的胶带会向转弯侧产生向心力,并向其圆心移动,这时为了达到受力平衡,就需要一个反向的离心力抵消向心力,而这个向心力就需要通过改变支撑胶带的托辊组的结构形式来实现。转弯段托辊布置示意如图1。

图1 转弯段托辊布置示意

计算转弯段半径时,需要同时满足力学平衡条件、胶带侧边应力条件和胶带外侧不离开托辊3个条件,然后取其中最小值[8-9]

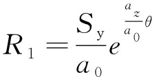
满足力的平衡条件所需的转弯半径R1见式(1):

(1)

式中:R1——满足力的平衡条件所需的转弯半径,m;

Sy——承载分支直线段与曲线段相遇点胶带的张力,N;

az ——承载分支每米的运行阻力,(N/m)

a0——胶带每米横向摩擦力, N;

θ——转弯段所对应的圆心角,rad。

满足胶带在转弯处的最大应力不超过允许值的最小转弯半径R2见式(2):

(2)

式中:R2——满足胶带外缘应力条件的最小转弯半径,m;

E0——胶带的拉伸刚度,N;

B——胶带宽度,m;

Smax——胶带的许用张力,N;

SL——转弯段终点胶带的许用张力,N。

满足胶带外侧不离开托辊的最小转弯半径R3见式(3):

(3)

式中:R3——满足胶带外侧不产生飘带的最小转弯半径,m;

S——胶带在转弯处的最大张力,N;

λ——胶带外侧与水平线的夹角(托辊槽角),(°)。

qB——胶带重量,kg/m;

g——重力加速度,N/kg;

β——带式输送机倾角,(°);

K2——胶带作用在各托辊上的重力分配系数,取K2=0.3。

从以上分析中得出同时满足这3个条件的最小转弯半径为R=max{R1R2R3},由于本工程地处开阔的大草原,转弯半径主要根据铁路、村庄的位置和公路的转弯半径来布置,经过计算,705带式输送机转弯段最小转弯半径为2.2 km,考虑当地高寒的气候条件及煤-灰双向运输的特殊工况,为了保证系统转弯段的稳定运行,在有限的空间里应尽可能选择大半径转弯,从705带式输送机机尾起,三处转弯半径分别为4 000、3 000、5 000 m,呈“S”型布置。

2.2 转弯段托辊设计

2.2.1 转弯段托辊结构形式

转弯段托辊结构设计就是抬高转弯段部分托辊架的内抬高角,确保圆弧内侧托辊轴线与水平面形成一定的夹角,这个夹角就称为内曲线抬高角(r)。产生内曲线抬高角的目的就是为了给胶带一个向外的离心力,来平衡带式输送机在转弯段运行时的向心力。为了保证转弯能够顺利实现,转弯段托辊设计采取以下措施。

(1)在线路允许的情况下,进一步调整带式输送机线路,增大弯曲半径,并尽可能避开凹弧段转弯,提高带式输送机转弯的稳定性和可靠性。

(2)采用深槽托辊组,根据胶带张力大小和转弯半径的大小,转弯段托辊组采用45°槽型托辊或60°深槽托辊[10]

(3)胶带在转弯曲线的内侧所形成的曲线叫内曲线,并产生内曲线抬高角,内曲线的抬高可减小转弯半径,内曲线抬高角愈大对转弯越有利,但过大会使物料向外滚动,因此内曲线抬高角一般不大于7°。

(4)在两回程托辊之间的胶带上增加立辊,减小回空段所确定的转弯半径。

(5)转弯处的托辊安装应具有支撑角,安装支撑角越小对胶带运行越有利,但当安装支撑角为0°时,托辊将不产生对胶带向外的推力,此时胶带将逐渐向内跑偏,一般按经验取安装支撑角为0.5°。转弯段固定内曲线抬高角(r)托辊断面示意如图2所示。

图2 转弯段固定内曲线抬高角(r)托辊断面示意

2.2.2 托辊组选型设计

通过对托辊组抬高角的设计来减少胶带的转弯半径,使胶带在转弯段平稳转弯。虽然增大内曲细抬高角(r)可使转弯半径变小,但内曲细抬高角(r)过大时会出现撒料、滚料等问题。因此,如何确定抬高角内曲细抬高角(r)尤为重要。以往工程转弯段托辊组内抬高角为多种角度可调式,这种结构优点是当现场施工与设计计算发生偏离时,可通过调整角度来弥补;缺点是结构复杂、安装时间长、设备运行时振动大。如果采用固定式内抬高角度,则须进行精密的计算。针对本次项目转弯段托辊组的设计,通过查找国内外标准及文献,进行多次对比计算后,最终确定尾部4 km 转弯段上托辊内抬高角为3°,下托辊内抬高角为5°;中部3 km 转弯段上托辊内抬高角为5°,下托辊内抬高角为5°;头部5 km 转弯段上托辊内抬高角为3°,下托辊内抬高角为3°。转弯段采用固定式内抬高角托辊组打破了常规设计,这种结构制造工序简单,现场安装省时省力,设备运行平稳。该带式输送机空载一次性试车成功,实现了胶带“零”跑偏,带式输送机各部位运转正常,控制系统及各项保护工作正常,各项技术指标均达到设计要求。

2.3 抑尘设计

由于带式输送机露天设置,在煤-灰运输过程中,带式输送机的振动颠簸、物料与空气摩擦以及风力作用会产生大量粉尘,粉尘不仅对沿线两侧的草原带来污染,而且对牧草的生长造成破坏[11]。因此,在运输过程中的环境保护至关重要[12]

输送系统在设计过程中,针对煤-灰双向运输带式输送机,利用离散元仿真模拟技术,在不同环境、不同水分的情况下,研究煤-灰在转载过程粉尘的产生状态与规律,采取有效的粉尘治理措施。在各转载点采取翻带机构[13-15]、布袋除尘、洒水抑尘的基础上,设计采用无动力除尘装置(曲线溜槽),利用EDEM分析软件,通过三维建模和离散元仿真技术,模拟物料运行过程中的状态形式,准确找到扬尘的产生部位和原因,并采取有效优化措施,降低物料速度,减少诱导风,化解物料运行中的冲击,从根本上杜绝扬尘的产生。

针对露天设置的煤-灰双向长距离输送系统,利用流体力学原理和离散元分析技术,研究风力对上下胶带高速运行的煤-灰的影响,确定防雨抑尘罩的结构形式,达到既能防雨抑尘的作用,又能方便设备的巡检与维护。通过现场测试实验数据,并结合离散元模拟仿真流场分析,优化防风抑尘罩的结构,最大限度地防止运输过程中的扬尘。防雨抑尘罩采用“n”型结构,其高度需将下胶带挡住,尽量减少风进入下胶带,避免运输过程中煤-灰产生扬尘。

经过3个月试运行后,对各个转载站点的除尘排风口进行粉尘排放监测,监测结果达到了《煤炭工业污染物排放标准》(GB20426-2006)的排放标准。具体监测数据见表1。

2.4 降噪设计

由于煤-灰双向长距离输送系统还从周边的村庄通过,因此,该系统要做好抑尘措施的同时还要处理好运行过程的噪音问题。噪音产生的因素主要来自于输送过程中胶带与托辊之间的摩擦噪音和跳动噪音,降低噪音首要问题就是选用低噪音的静音托辊。针对该地区严寒气候因素,与托辊厂家设计了一种特殊非金属低噪音托辊,这种托辊既能在严寒季节正常使用,也能确保在运行过程中产生的噪音比普通托辊低。通过现场实测,在运行过程中,非金属低噪音托辊比普通托辊产生的噪音低20 dB(A)左右。现场实测运行过程中的噪音测量值,限值参照《工业企业厂界环境噪声排放标准》(GB12348-20082)类区标准,具体噪声检测结果见表2。

表1 烟尘浓度检测结果

检测日期16号转布袋除尘器出口时间浓度/(mg·m-3)181号转布袋除尘器出口时间浓度/(mg·m-3)182号转布袋除尘器出口时间浓度/(mg·m-3)19号转布袋除尘器出口时间浓度/(mg·m-3)检测方法限值/(mg·m-3)2021年11月21日10∶002412∶002713∶002514∶0024现场实测8010∶202412∶202113∶202614∶2024现场实测8010∶402212∶402713∶402814∶4024现场实测802021年11月22日10∶302112∶102113∶102714∶1026现场实测8010∶502212∶362013∶302514∶3526现场实测8011∶202412∶502413∶502914∶4525现场实测80

表2 噪声检测结果

检测时间检测结果 /dB(A)14转15转18转19转检测方法限值/dB(A)2021年11月21日昼54.555.254.854.2现场实测昼间60夜46.146.945.555.6现场实测夜间502021年11月22日昼54.155.754.653.7现场实测昼间60夜45.846.245.343.9现场实测夜间50

2.5 防冻设计

由于气温低、湿度大,冻粘问题主要出现在冬季,煤-灰双向长距离输送系统运行过程中容易冻粘在胶带和滚筒上。因此严格控制粉煤灰的水分,改善胶带、滚筒承载面、托辊表面、溜槽表面等防粘附性能,同时在胶带表面喷洒防冻液,滚筒处增加螺旋清扫器,防雨抑尘罩加设透气帽达到效果。

2.6 多机驱动设计

根据驱动布置方式不同,所需胶带带强不同。选用头尾驱动时,所需带强为sT4500,选用头中尾驱动时,所需带强为sT3150,综合比较后采用头中尾驱动,驱动比例为2∶2∶1。通过现场多次监测,系统上胶带满负荷运行、下胶带空载时,头中尾电机电流为78 A、76 A、82 A;系统上胶带满负荷运行、下胶带满负荷运行时,头中尾电机电流为78 A、76 A、86 A;头中部电机电流变化微乎其微,只有机尾电机电流波动5 A左右[16-17]

通过上述监测数据表示,在上胶带满负荷运行、下胶带满负荷带料时,对整个系统的运行功率影响较小,实现了煤-灰双向长距离输送节能的效果。

3 应用效果

本项目于2021年9月开始试运行生产,截止2022年12月底,通过1年多的试运行生产,其节能效果较为突出,并与往年汽车运输相比产生较大的社会效益和经济效益。

3.1 社会效益

在试运行期间,煤-灰双向长距离输送系统经历了2次严寒季节,在空载调试、重载试生产2个阶段,带式输送机各部位运转正常,控制系统及各项保护工作正常,各项技术指标均达到设计要求。系统运行平稳,沿途不撒料、不粘带、不起灰、节能环保,达到了预期的设计效果,避免了因汽车运灰带来的一系列污染问题,有效保护了草原生态环境。通过降噪、防尘、防冻、高效节能等措施,煤-灰双向长距离输送系统的建成投产成功解决了胜利露天煤矿至电厂沿线的环境保护等问题。

3.2 经济效益

从经营成本的组成看,输煤系统回程运灰后,经营成本增加的主要因素是电耗增加。

(1)汽运方案。新增电厂至307省道间运灰道路,投资约325万元;电厂至露天煤矿内排土场约16 km,采用汽车运灰每公里运费按1元/t计算,按照电厂每年80万t灰的运量计算,运费为1 280万元。

(2)带式输送机+汽运方案。电厂弃灰由带式输送机运至露天矿的灰仓后,还需用汽车运至露天矿灰场,运距约2 km,每公里运费按1元/t计算,按照电厂每年80万t灰的运量计算,运费为160万元。

(3)煤-灰双向长距离输送系统。煤-灰双向长距离输送系统的电耗包含在运煤系统中,不计入运灰成本。增加的运灰带式输送机、装车等功率约200 kW·h,每年电费增加约30万元。工程投资按15 a计算,则每年运灰节省919万元。电厂二期工程建成后,每年运灰节省2 039万元,经济效益可观。

4 结语

中煤科工集团沈阳设计研究院有限公司自主创新设计了一套“正向运煤,反向运灰,中部转载,多点驱动,多曲线转弯,露天无廊道” 煤-灰双向长距离输送系统。同时,创造性地解决高寒地区散状物料运输系统运行环境差、环保要求高、双向运输等重大技术研究与工程设计难题。该套技术装备研制成功和顺利投产为胜利露天煤矿和胜利发电厂带来良好的经济效益和社会效益,也为煤炭与电力企业的资源耦合与共享、一体化建设运营管理模式和提高生产率起到示范作用。

参考文献:

[1] 宋伟刚,张尊敬,王鹰.带式输送机的研究进展[J].起重机运输机械,2004(2):1-4.

[2] 王焕林.长距离水平转弯带式输送机弯曲半径设计[J].露天采矿技术,2014,29(5):39-42.

[3] 曹亮.露天矿至火力发电厂煤灰双向运输系统的研究[J].露天采矿技术,2018,33(5):37-40.

[4] 刘焕石,幸奠军.矿井平巷单轨双向调车装置研究与应用[J].科技视界,2017(10):150,179.

[5] 王树民,李志明,刘志江,等.高寒地区煤灰一体双向运输关键技术研究[J].煤炭科学技术,2020,48(9):209-217.

[6] 宓德广.双向运输可伸缩带式输送机研究[J].煤矿机械,2009,30(3):127-128.

[7] 王焕林.托辊组在带式输送机上的防跑偏机理[J].露天采矿技术,2014,27(7):57-60.

[8] 王焕林,屈福政,陈会智.长距离水平转弯皮带输送机设计[D].大连:大连理工大学,2013.

[9] 中煤国际工程集团沈阳设计研究院,GB 50431-2020 带式输送机工程设计规范 [S].北京:中华人民共和国住房和城乡建设部,2020,107-114.

[10] 李晓宇,郭春林.管状带式输送机双向运输的研究[J].煤矿机械,2014,35(11):162-164.

[11] 宋伟刚,徐亚美,王克林,等.深槽托辊组大倾角输送机理分析的仿真方法[J].煤炭学报,2014,39(S2):563-568.

[12] 宋伟刚,于野,战悦晖.圆管带式输送机的发展及其关键技术[J].水泥工程,2005(4):42-47.

[13] 王增晖,赵成明.带式输送机翻带装置设计要点 [J].起重运输机械,2017(1):7-10.

[14] 刘伟,齐伟明.浅谈长距离带式输送机与翻带装置[J].企业技术开发,2015,34(23):125-126.

[15] 潘博,舒应秋.伊敏露天矿半连续系统增设翻带装置可行性分析[J].露天采矿技术,2018,33(3):90-92.

[16] 周广林,罗凤利.双向运输带式输送机的动力学设计[J].黑龙江科技学院学报,2002(4): 5-8,12.

[17] 刘后强.矿井煤矸双向运输技术研究与应用[J].山东煤炭科技,2015(6):132,139.

Research and application of long-distance two-way synchronous conveying system in Shengli Open-pit Coal Mine

WANG Huanlin, YU Chao

(CCTEG Shenyang Engineering Company, Shenyang, Liaoning 110015, China)

Abstract In view of the problems of high transportation cost and poor environmental protection caused by coal motor transportation from Shengli Open-pit Coal Mine to Shengli Power Plant, a long-distance two-way synchronous belt conveyor transportation system is proposed, which transports the coal from Shengli Open-pit Coal Mine to Shengli Power Plant, and simultaneously transports the coal ash from the power plant to the coal mine for backfilling through the lower belt of the same belt conveyor. This paper introduces the process layout scheme of the belt conveyor transportation system, and expounds in detail the key technologies of the belt conveyor transportation system, such as the radius design and idler design of the turning section and the dust suppression design. The trial production operation for nearly 13 months shows that the transportation system operates smoothly without scattering, sticking, dusting, realizes energy saving and environmental protection, and achieves all design functions. Combined with the field operation conditions, from the technical analysis of horizontal curve turning, n-shaped protective shield, non-powered curve coal chute, non-metallic low-noise idler, conveyor belt antifreezing, multi-machine drive and other technologies, it is verified that the transportation scheme of long-distance horizontal turning belt conveyor technology with large capacity, multi-machine drive, upper coal and lower ash transportation in high and cold areas is feasible.

Keywords Shengli Open-pit Coal Mine; long-distance transportation system; horizontal turning; coal transportation and ash return; high and cold area

移动扫码阅读

引用格式:王焕林,于超.胜利露天煤矿煤-灰双向长距离输送系统研究与应用[J].中国煤炭,2023,49(3):70-75.DOI:10.19880/j.cnki.ccm.2023.03.011

WANG Huanlin, YU Chao.Research and application of long-distance two-way synchronous conveying system in Shengli Open-pit Coal Mine[J].China Coal,2023,49(3):70-75.DOI:10.19880/j.cnki.ccm.2023.03.011

作者简介:王焕林(1979-),男,广西桂林人,硕士,高级工程师,主要从事煤矿生产系统的方案设计、工艺设计及现场工程管理。E-mail:709484790@qq.com

中图分类号 TD528.1

文献标志码 A

(责任编辑 路 强)

(责任编辑:admin)