新煤网移动版

主页 > 技术资料 > 科技论文

带式输送机传动滚筒结构优化与仿真研究

★ 科技引领 ★

带式输送机传动滚筒结构优化与仿真研究

杨 勇

(山西省长治经坊煤业有限公司,山西省长治市,047100)

摘 要 为了实现传动滚筒减重目标,达到节约成本、提高传动效率的目的,对带式输送机选型设计后的标准传动滚筒进行了有限元分析;构建了带式输送机传动滚筒的有限元优化流程和有限元模型,结合近似函数建立优化数学模型,最后采用序列二次规划算法对数学模型进行求解。分析结果表明,在满足传动滚筒许用应力和位移的条件下,滚筒减重51.396 8 kg,达到预期目标。

关键词 带式输送机;传动滚筒;响应面法;优化设计;APDL仿真

带式输送机在煤炭运输中广泛应用,不仅能够实现长距离运输,而且具有运输效率高、结构简单等优点[1]。在带式输送机中提供动力传动传输作用的是传动滚筒,所以在带式输送机的设计中,传动滚筒的设计与选择至关重要。

对于传动滚筒的研究,目前有很多学者进行了优化设计及分析。Borut Žužek和Jaka Burja[2]通过对带式输送机传动滚筒的应力工况分析,得到轴的失效原因,进而提出优化方法;王春华等研究人员[3]利用ANSYS软件对有无加强环的传动滚筒模型进行有限元分析,经过多次分析计算,得到在不同加强环数量与传动滚筒变形量的关系,最后通过函数拟合两者的关系并求解,得到变形量最小时加强环的结构;朱维胜[4]通过对ANSYS的二次开发对滚筒进行了有限元分析以及结构的优化,以传动滚筒的筒皮厚度、辐板厚度、接盘距离以及加强环半径为设计变量进行多目标优化,得出了滚筒质量的优化和滚筒焊缝应力与结构的影响规律;廖启豪等研究人员[5]运用ANSYS Workbench对传动滚筒进行分析,最后运用Design Exploration对传动滚筒进行结构优化。由于传动滚筒的受力较为复杂,在模型分析时很难准确模拟受力情况,最后导致优化结果可靠度可能不高。为了提高传动滚筒的优化效率和精度,达到节约带式输送机设计成本的目的,进行有限元参数化分析及优化很有必要。

1 响应面法

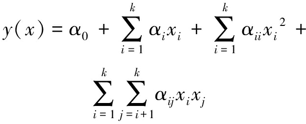
响应面设计方法是运用数学方法和统计方法来解决多变量问题的一种统计方法。常用的响应面设计方法有响应面设计(Box-Behnken Design,BBD)、全因子设计、中心复合设计、D最优设计等。响应面法采用响应面函数近似代替复杂的模型,合理的试验设计方法可以减少反复建模仿真的过程,提高优化效率[6]。因为二次多项式能在变量较少时保证函数的精确性,因此本文选择二次多项式形式[7],见式(1):

(1)

式中:k——设计变量个数;

α0αiαiiαij——响应面模型回归系数;

xixj——二次多项式的不同变量。

为了使传动滚筒的优化结果有更高的精度,本次采用BBD方法获取传动滚筒的响应面近似优化模型,它是一种评价目标和变量间非线性关系的试验设计方法[8],适用于3个及以上参数变量的优化设计。文中优化参数变量分别为筒壳厚度、辐板厚度、轮毂厚度。

2 带式输送机传动滚筒有限元优化流程设计

首先,传动滚筒的设计参数有筒壳厚度、接盘间距、辐板厚度、轮毂厚度、轮毂内径等。本次对传动滚筒的优化设计参数是筒壳厚度、辐板厚度、轮毂厚度,优化的目标是滚筒质量,根据传动滚筒参数确定初始值和取值范围,然后,采用BBD方法进行样本点的采集,改变编译好的APDL命令流对传动滚筒进行有限元分析并获得样本点的响应值,根据所得响应值构建传动滚筒最大应力和最大位移响应面模型;建立传动滚筒优化数学模型,采用序列二次规划算法进行求解,获得优化结果。带式输送机传动滚筒有限元优化流程如图1所示。

图1 带式输送机传动滚筒有限元优化流程

3 算例分析

3.1 传动滚筒的有限元模型

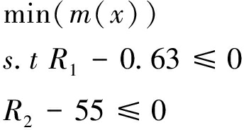
传动滚筒主要由滚筒轴、筒壳、辐板、轮毂、胀套等组成。其中,滚筒各部件的密度均为7.85×10-6kg/m3;其选型设计参数带宽1 000 mm,传动滚筒直径630 mm,最后通过设计计算得到张力为16 971.662 N,S1为7 987.49 N。滚筒的许用变形量为传动滚筒直径的0.1%,即许用变形量为0.63 mm,许用应力为55 MPa。根据相关参数在满足传动滚筒应力应变的情况下,对其进行有限元结构优化设计。传动滚筒结构如图2所示。

1-滚筒轴;2-筒壳;3-辐板;4-轮毂;5-胀套

图2 传动滚筒结构

为了在仿真过程中更好地模拟传动滚筒的受力情况,本次采用有限元APDL进行编写传动滚筒分析的命令流,实现传动滚筒从建模到网格划分、添加约束、施加载荷再到最后自动求解出滚筒的应力云图和位移云图。在本次模型建立时,忽略螺纹孔、圆角、倒角等一些细微结构和传动滚筒焊接处对有限元分析的影响[9]。模型网格采用自由划分,生成均匀的四面体单元,实体单元尺寸设计为30 mm,节点数为213 647,实体单元数为496 980。另外模型加载时,添加约束是在轴的轴承部位,采用简支梁形式的约束[10]。传动滚筒有限元模型如图3所示。

图3 传动滚筒有限元模型

3.2 响应面模型建立

本次优化设计变量中传动滚筒的筒壳厚度为x1、辐板厚度为x2和轮毂厚度为x3,其设计变量初始值为

根据设计变量取值范围采用BBD方法得到17组样本点,有5组相同的样本点作为设计中心点,根据样本点参数,改变编译好的APDL命令流相关参数,获得样本点的响应值[11]。BBD取样样本点及响应值试验结果见表1。

表1 BBD取样样本点及响应值试验结果

试验次数试验设计变量/mm筒壳厚度x1辐板厚度x2轮毂厚度x3响应值最大位移R1/mm最大应力R2/MPa126141000.097 02541.635 7220171100.083 18941.529 1323171000.071 59441.316 1423201100.069 69239.921 2520141000.084 48743.269 562617900.095 19140.729 8726171100.094 46440.030 382017900.080 02340.389 492314900.072 43343.427 9102017900.081 14142.048 2112317900.071 59441.316 11226201000.092 87439.235 3132320900.068 13140.337 61423141100.073 72242.821 41523171000.071 59441.316 11623171000.071 59441.316 11723171000.071 59441.316 1

利用Design-Expert软件对表1样本点和响应值进行拟合曲面,并采用位移和应力响应面拟合精度对响应面的拟合精度进行诊断判断分析[12]分别如图4和图5所示。

由图4(a)和图5(a)可以看出,试验数据分布几乎在一条线上,符合标准正态概率分布;由图4(b)和5(b)可以看出点的选择比较离散,说明重要变量没有被遗漏,符合残差值与预测值对应关系图;由图4(c)和5(c)可以看出,试验得到的预测值与实际值对应关系在一条直线上,表明两者几乎相同,试验数据选择分布合理。

图4 位移响应面拟合精度诊断

图5 应力响应面拟合精度诊断

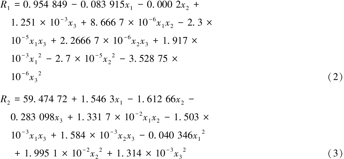
根据试验结果,用最小二乘法计算回归系数矩阵构造的最大位移和最大应力二次多项式响应面近似函数分别见式(2)和式(3):

根据模型及相关参数,构建质量目标函数m(x)见式(4):

(4)

在得到响应面近似模型之后,需要对其进行精度校核。进行复相关系数检验,通过观察R2的大小来确定模型的拟合精度,当R2的值越接近1时其精度越高。经过检验可知,2个模型的R2分别为0.999 8和0.996 8,由此可以得出响应面近似函数的拟合度较好。

3.3 结构优化设计

在满足许用应力和变形量的条件下,通过获得的响应面近似函数,构建传动滚筒的优化数学模型见式(5):

(5)

其中,目标函数、设计变量、状态变量的初始值及变化范围见表2。

表2 相关参数的初始值和取值范围

参数设计变量筒壳厚度/mm辐板厚度/mm轮毂厚度/mm状态变量滚筒最大变形/MPa滚筒最大应力/MPa目标函数滚筒质量/kg初值22181000.073 4841.16718.3取值范围20~2614~2090~110---

通过MATLAB优化工具箱中序列二次规划算法对构建的传动滚筒优化数学模型进行求解。其求解优化结果为目标函数的最优值为666.883 2 kg,其优化前后结果对比见表3。

通过表3可以看出,虽然优化后传动滚筒的最大应力和位移都略有增加,但均在其许用范围内,最后通过优化传动滚筒的质量降低了51.396 8 kg,减重率达7.16%。

表3 优化前后结果对比

目标变量滚筒最大应力/mm滚筒最大变形量/mm滚筒质量/kg优化前41.162 80.073 479718.280 0优化后43.575 20.083 546666.883 2结果对比+2.412 4+0.010 067-51.396 8

4 结论

(1)运用响应面法和APDL命令流相结合的方法进行传动滚筒的结构优化,通过BBD方法获得参数值的样本点。

(2)基于样本点数据运用有限元技术获得样本点的响应值,采用响应面法获得传动滚筒最大应力与最大位移的响应面近似优化函数。

(3)以滚筒质量最小为目标,通过建立优化数学模型,在满足传动滚筒许用应力和位移要求下,减重率达7.16%,优化效果显著。

参考文献:

[1] 蒋守勇.大运距煤炭输送系统设计及关键技术分析[D].济南:山东大学,2016.

[2] Borut Žužek,Jaka Burja.Failure of a coal transportation conveyor bet pulley[J].Engineering Failure Analysis,2019,106:104143.

[3] 王春华,范常达,程江涛,等.带式输送机大转矩传动滚筒加强环的结构设计研究[J].机械传动,2015,39(2): 8-11.

[4] 朱维胜.带式输送机滚筒参数化有限元分析及结构优化设计[D].上海:上海交通大学,2016.

[5] 廖启豪,王玲,朱冬,等.带式输送机传动滚筒有限元分析及结构优化[J].煤炭技术,2019,38(9): 155-158.

[6] 郗志刚,何杰,艾文,等.基于响应面法的金属打包机箱体结构轻量化设计[J].机床与液压,2021,49(7):102-106.

[7] Zhang Y, HO S L, FU W.Applying Response Surface Method to Oil-Immersed Transformer Cooling System for Design Optimization[J].IEEE Transactions on Magnetics,2018,54(11):1-5.

[8] 马清勇,田阿利,赵元帅,等.基于Box-Behnken响应面法的SPS烟囱结构设计优化[J].舰船科学技术,2021,43(17):37-43.

[9] 陈万宁,汤敏超,张亮有.重型传动滚筒的有限元分析[J].起重运输机械,2018(2):124-126.

[10] 关维娟.基于遗传算法的带式输送机滚筒优化及其虚拟设计[D].合肥:安徽理工大学,2009.

[11] 刘宝林,孟文俊,邬思敏,等.带式输送机驱动滚筒的有限元分析与结构优化[J].太原科技大学学报,2018,39(2):119-124.

[12] 李逸.矿用带式输送机传动滚筒的受力分析及优化设计[J].机械管理开发,2021,36(11):93-94,97.

Research on the structure optimization and simulation of belt conveyor drive drum

YANG Yong

(Shanxi Changzhi Jingfang Coal Industry Co., Ltd., Changzhi, Shanxi 047100, China)

Abstract In order to achieve the goal of reducing the weight of the drive drum, save the cost and improve the drive efficiency, the finite element analysis of the standard drive drum after the selection and design of the belt conveyor is carried out, the finite element optimization process and finite element model of the belt conveyor drive drum are constructed, and the optimization mathematical model is established by combining the approximate function, and the sequential quadratic programming algorithm is used to solve the mathematical model.The analysis results show that the weight of the drum is reduced by 51.396 8 kg by meeting the allowable stress and displacement of the drive drum, which reached the expected goal.

Keywords belt conveyor; drive drum; response surface method; optimal design; APDL simulation

中图分类号 TD528.1

文献标志码 A

移动扫码阅读

引用格式:杨勇.带式输送机传动滚筒结构优化与仿真研究[J].中国煤炭,2023,49(2):97-102.DOI:10.19880/j.cnki.ccm.2023.02.012

YANG Yong.Research on the structure optimization and simulation of belt conveyor drive drum[J].China Coal,2023,49(2):97-102.DOI:10.19880/j.cnki.ccm.2023.02.012

作者简介:杨勇(1981-),男,山西长治人,高级工程师,主要从事机电技术管理工作。E-mail:378025262@qq.com

(责任编辑 路 强)

(责任编辑:admin)