新煤网移动版

主页 > 技术资料 > 科技论文

突水淹没矿井动水巷道截流阻水墙建造技术研究

突水淹没矿井动水巷道截流阻水墙建造技术研究

董书宁1,牟 林1,2

(1.中煤科工集团西安研究院有限公司,陕西 西安 710054;2.煤炭科学研究总院 ,北京 100013)

摘 要:在突水巷道中通过灌注骨料实现截流堵水的过程涉及多个力学演化阶段,实践中为了快速复矿需更重视堵水效果,阻水墙建造的关键技术问题研究很少受到关注。结合以往工程案例的堵水过程数据,分析了从骨料灌注到注浆截流的水力学模型,提出了阻水墙建造的关键技术参数设定方法,研究了阻水墙内部应力分布状态及破坏机理。研究表明:①阻水墙建造可分为4个阶段的水力学模型,即突水稳定阶段的管道流模型、骨料灌注阶段的管道流-低速渗流模型、骨料接顶阶段的高速渗流-低速渗流模型、注浆截流阶段的低速渗流模型;②动水中骨料堆积形态是水平和垂向两个维度共同生长的结果,堆积过程与流场存在动态平衡关系;③考虑压差、巷道阻力、堆积段阻力、浆液初凝时间4个要素,提出了堆积段长度估算模型,建立了不同灌注阶段巷顶流速的预测方法和骨料粒径选择方法;④注浆后阻水墙的最大剪应力发生在距来水方向较近的位置,相较堆积段全部长度,受力影响范围仅为其很小一部分;水压力越大,剪力和轴力越大,但分布状态、影响范围及峰值位置均不变;围岩与墙体弹性模量比越大,阻水体剪应力分布越集中,峰值剪应力越靠近来水方向;当剪应力最大位置首先达到抗剪强度后,剪应力将向下游产生塑性变形直至形成新的平衡状态,否则失稳破坏。

关键词:阻水墙;建造技术;骨料灌注;力学机制;动水截流

0 引 言

早在20世纪80年代以来,我国先后发生过范各庄、东庞、骆驼山等多起煤矿水害事故,造成了重大人员伤亡或财产损失,危害相当严重。据统计,1980—2000年,我国发生重大及以上水害事故157起,死亡1 653人[1]。2001—2016年,发生重大及以上水害事故110起,死亡2 240人[2-3],目前煤矿水害安全形势依然严峻,为各类从业人员敲响了警钟。

矿井发生突水淹井后,采用截流方法切断水源与巷道系统间的水力联系,是实现快速救援与复矿的重要方法之一[4]。何思源[5]、朱继维 [6]等总结了1984年开滦范各庄特大突水事故的治理经验,设计了大流量骨料快速灌注系统、连续造浆灌注系统,研发了钻孔中投放速凝早强水泥包的装置,形成了一套较完整的动水截流水害治理技术与方法。南生辉[7]、蒋勤明[8]、刘建功等[9]分析了2003年东庞矿2903工作面陷落柱特大突水灾害治理经过,钻探工艺采用单弯螺杆+PDC钻头,单点照相仪进行测斜,提出了旋喷注浆、充填注浆、升压注浆、引流注浆等4个关键技术阶段;王则才[10]结合2002年国家庄煤矿8101工作面突水治理经验,提出了综合注浆堵水法,当钻孔漏失量小时以单液浆为主,当孔内畅通跑浆严重时,以注骨料和双液浆为主,并指出科学合理的注浆工艺是快速堵水的关键。刘生优等[11]结合2010年骆驼山煤矿特大突水淹井水害治理情况,提出了在静水条件下骨料灌注效率低下时,可采用双液浆法快速建造阻水体骨架,再采用综合注浆法灌注水泥浆液,取得了优良的堵水效果;岳卫振[12]通过黄沙矿截流堵水经验,在巷道煤岩强度低导致截流段反复冲溃的情况下,提出了采用压力平衡法改善附近水闸墙两侧受力条件的方法进行水害治理。姬中奎[13]指出了陀螺测斜定向技术及WMD无线随钻测斜定向技术在透巷施工过程中的技术先进性;王威[4]以达西定律为基础,结合水泥浆凝固沉积规律和浆液充填空隙过程,研究了注浆加固骨料堆积体机理。董书宁等[14]总结了潘二矿突水灾害治理关键技术,提出了采用定向分支斜孔命中靶区,截流、堵源同步进行的技术工艺。

以往动水截流工程长期以来停留于经验总结,加上阻水体形成后大多隐蔽不可见,使阻水墙建造过程中的内在力学机制缺乏归纳和研究[15],一些长期遗留的技术问题包括:①缺乏建造过程的水力学模型;②堆积段长度预计方法不够科学;③骨料粒径选择缺乏计算依据;④阻水墙内应力分布状态不清楚。笔者对以上关键技术问题进行了相关分析和探讨,为类似工程项目的设计与施工过程控制提供了理论参考。

1 截流堵水工程的技术特征分析

截流工程根据现场情况分静水和动水2种状态。通常堵水过程包括“截流”和“堵源”2部分,截流是指封堵从突水点到井下其他区域的过水通道,堵源是指封堵导致突水的深部导水通道,如陷落柱或断层。截流一般在堵源之前进行,目的是实现快速排水复矿,也可结合工程实际同步进行,如桃园和申家庄矿在静水截流过程中即考虑了同步施工的情况。

静水条件下阻水墙两侧没有压力差,因而工程量与初期突水量和阻水墙承受的压力差并无直接关系,而与所要充填的过水空间和施工工艺有直接关系,如申家庄矿和桃园矿为了兼顾巷道充填和后续陷落柱的治理,截流采用了灌注纯水泥浆的方案,浆液流动范围广消耗量大,注浆量分别达到了4.5万t和6.1万t。骆驼山矿在巷道截流时针对骨料灌注效率低的情况,采用了双液浆法在阻水段两端快速形成阻水骨架,进而为后续充填注浆创造了有利条件,有效降低了无效跑浆量,注浆量仅为6 500 t。唐家会矿则采用了改进的防喷孔骨料灌注工艺,在静水条件下实现了较大的骨料灌注量(2 060 m3,约130 m),注浆量仅为10 000 t。由此可见,静水环境下截流的工程量主要决定于技术方案所兼顾的侧重点,一般为了快速复矿救援,可通过工艺控制使施工周期和工程量相应减少,若要兼顾突水源头治理时,工程规模相应增大。

动水条件下进行截流堵水,与静水条件下相比存在显著差异,主要原因是骨料在动水作用下被携带、运移至下游,要快速形成有效阻水段,骨料堆积体必须能有效滞留不被水流冲走,通过削减一部分水头压力从而为注浆创造有利条件。骨料堆积体的动态平衡的本质为水的作用力与骨料及巷道的反作用力间的相互平衡问题,压差、通道条件、骨料性质和堆积长度是决定堆积段受力状态的关键,并决定了工程投入。

2 阻水墙建造的水力学模型与关键参数

2.1 阻水墙建造的“四阶段”水力学模型

截流堵水工程的治理过程,根据水流和骨料所处的水力学状态,可分为4个阶段(图1):即突水后的水量相对稳定阶段、骨料灌注阶段、骨料接顶阶段和注浆截流阶段。每个阶段水的运动状态存在显著变化,阶段与阶段之间逐渐演化过渡,研究其动态变化过程和作用机制对认识截流堵水过程有重要意义。

图1 阻水墙各建造阶段的水力学模型
Fig.1 Hydraulic model in typical construction stages of water blocking wall

2.1.1 突水稳定阶段—管道流模型

描述管道流的流态用雷诺系数表示,通过表1中的计算结果表明,即便是在较低的流速下,各矿突水后的水流雷诺系数依然远大于临界值,因此可以确定常见动水条件下的巷道中水流流态均为紊流(管道流)。流态的确定是预测巷道流动沿程损失的基础。

表1 动水截流堵巷工程突水初期流态判别
Table 1 Flow pattern discrimination in early stage of water inrush

矿名断面面积/稳定流速/黏滞系数/巷道等效雷诺数Re临界雷诺数Re'm2(m·s-1)(Pa·s)直径/m——桃园煤矿15.00.556唐家会矿15.00.010骆驼山矿17.50.061黄沙矿140.214桑树坪矿6.00.030潘二矿18.90.107太平矿16.70.0051.14×10-6(温度15°)3.91 885 5293.933 9124.2223 4403.7701 1177.7203 4744.3407 3124.117 8912 300(工业管道)

2.1.2 骨料灌注阶段—管道流+低速渗流模型

在骨料的灌注阶段,骨料尚未接顶之前,巷道内部为具有颗粒床的二元结构。此时顶部未接顶空间流速高,这部分水流可将细粒骨料携带至下游一定距离处进行堆积。下方已经堆积稳定的骨料内部为低速渗流,其流速远不及上部高。

2.1.3 骨料接顶阶段—高速渗流+低速渗流模型

在骨料形成有效接顶之后,骨料堆积体的阻水作用逐渐显现出来,同时顶部存在的薄弱区域常因为压力的逐渐抬升、流速增大形成短暂的高速渗流区,当水压积蓄至一定程度时顶部堆积体会发生瞬间“溃坝”的情形,而在下部的骨料已在长时间的冲刷、调整作用下逐渐充填密实,骨料中水流处于稳定的低速渗流状态。在接顶过程中,顶部堆积的粗骨料可有效防止堆积体被冲走,细骨料则起到了进一步充填空隙削减水头的作用,二者在反复灌注过程中调整了阻水体的骨料级配和阻水能力,最终形成截流成功后的相对平衡状态。这种平衡状态会随着时间推移而逐渐消散,应抓紧时机进行注浆截流。

以桑树坪矿为例,在骨料截流成功前水量为6 580 m3/h,截流成功后水量削减到720 m3/h,流速由3 cm/s降低至0.3 cm/s(渗流流速),削减至骨料灌注前的1/10。骨料堆积段长度约430 m,两侧水头差28 m,水力梯度0.065。文献[16]研究了不同水力梯度下骨料颗粒(1~6 mm)的渗流特性,结果显示在较低流速下,水力梯度与流速呈线性关系,此时线性渗流转高速渗流的临界渗流流速为0.23~0.78 cm/s,随粒径增大而增大,临界水力梯度为1~8,随粒径增大而减小。桑树坪矿在骨料堆积截流成功之后,流速与水力梯度处于低速渗流区,即满足达西定律。同时,按照截流后的流速0.3 cm/s初步估算,水流过430 m的阻水墙长度,所需时间为39.8 h,流经钻孔之间的长度30 m,则需要2.7 h。所采用的Pox42.5号水泥配制的水泥浆液初凝时间为6.5~12.0 h(比重1.5~1.8),浆液有足够的滞存和初凝时间,不会发生大量浆液流失,进一步说明了方案的科学性。因此,为了达到理想的灌注效果,须将沿程水力梯度或流速控制在阈值内。

2.1.4 注浆截流阶段—低速渗流模型

注浆截流阶段是骨料接顶阶段的延续,采用旋喷注浆、充填注浆、升压注浆和引流注浆等综合注浆手段将骨料接顶后形成的暂时平衡状态改造成永久平衡状态,这个过程使阻水体的流速和渗透系数进一步降低,阻水能力大大提高,该阶段的加固作用使阻水体强度接近天然岩土体的强度,为其稳定性提供了足够的安全系数。桑树坪矿在注浆截流之后阻水墙两侧水头差80 m,残余水量60 m3/h,流速降为0.03 cm/s,约为骨料截流成功时流速的1/10。

虽然井下的截流堵水工程多为隐蔽工程,项目竣工之后难以通过开挖获得反应整个堵水过程的信息数据,但是可以获得阻水墙两侧水头、水量变化等数据,有助于对巷道中水的运动状态、流速分布及骨料中的水力梯度产生直观认识,从而判断当前情况在整个截流堵水过程中所处的技术状态,对堵水工程的发展形势和演化趋势做出预判和决策具有重要意义。

2.2 动水中骨料堆积体的“生长”机制

描述了在堵水初期进行骨料灌注时的堆积体形态变化趋势,如图2所示。骨料堆积的关键是流速能够将骨料携带至下游,形成有效堆积段。如果流速相对骨料粒径过高,则骨料与水流形成流体直接流走,无法有效堆积。如果流速相对骨料粒径过低,则水流无法有效驱动骨料造成频繁堵孔,钻孔之间的巷道空间无法有效充填,因此骨料粒径的选择与流速应当相互匹配。对于某种粒径的骨料,假定在灌注初期流速较低,骨料颗粒无法被水流有效携带,在①区形成堆积,随着堆积高度的增加(②、③、④),未接顶区流速不断增大达到骨料启动的临界流速,此时骨料颗粒的堆积高度达到极限不再增加,颗粒不断被搬运到背水坡后方增加了堆积段的长度(⑤区),此时如果不增加骨料的粒径继续投注细骨料,骨料则会不断被冲走难以形成接顶状态。以上过程即为骨料颗粒向下游(巷道延展方向)“生长”的一般过程。在垂向上,通过逐级增加骨料粒径,则可在增加堆积高度的同时,同步实现堆积长度的增长,最终实现接顶。

图2 单粒径骨料灌注动态演化过程示意
Fig.2 Dynamic evolution process of single particle perfusion

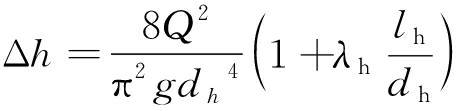
2.3 截流所需骨料堆积长度的估算方法

要确定骨料堆积段的长度需认识其主要作用:阻水消压,将流速降低至有利于注浆的阈值以下。图3描述了截流过程中各相关要素的相互关系,对于突水初期,突水量随着突水通道的快速打开,水头快速下降,水量快速增加至峰值,随后地下水位和矿井系统水位相互逼近趋于平缓。随着截流过程的进行,突水量、矿井水位、突水中心水位均发生与突水初期相逆的时空变化过程回到初始状态。通过认识不同阶段突水量、井上下水位差,有助于理解和构建数学模型。

图3 突水过程与截流堵水工程相互作用的时空关系
Fig.3 Time-space relationship of interaction between water inrush process and closure works

如图4所示,在矿井发生突水时,突水水源可以等效为1-1断面的定水头模型,右侧2-2断面为已淹没系统的标高。以2-2断面为基准,忽略所有自由液面的流速,在1-1及2-2断面利用伯努利方程求解。

图4 突水水源、通道及淹没巷道系统连通模型
Fig.4 Connection model of water inrush source,channel and flooded roadway system

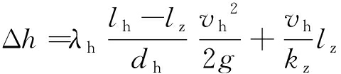
设ΔhQ为突水过程中水头差和突水量,λtltdtλhlhdh分别为突水通道和过水巷道对应的阻力系数、长度和等效直径,vtvh分别为突水通道和巷内流速。发生大型突水灾害时,通道已完全被冲开,假定突水通道阻力忽略不计,则有

(1)

Q=vh

(2)

联立式(1)、式(2),得

(3)

将任意2个时间节点t1t2上的对应的Δh1Q1Δh2Q2代入式(1)、式(2)得

(4)

t1t2两点的间距拉大,可计算得到巷道的沿程阻力系数λh的近似值。虽然λh与雷诺系数和相对糙度有关,但是对于相对糙度大的巷道而言,其λh变化幅度不大,可做近似计算视为常数。

当在巷道中灌注骨料并成功接顶后骨料中的流态为低速渗流(达西流),可建立如下等式,即

(5)

lzkz分别为骨料堆积体的长度和渗透系数,联立式(4)、式(5)可得

(6)

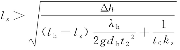
式(6)建立了堆积段长度与截流成功后流速的相互关系,括号内为骨料堆积体削减的水头,kz/vh为水力梯度的倒数,二者相乘即为堆积段长度。渗透系数kz可通过以往工程数据反分析获得,vh则应至少满足上游第1个钻孔的浆液流过阻水段期间能进入初凝状态,否则浆液无法有效滞存,设初凝时间t0,即得

lz/vh>t0

(7)

联立式(6)式(7),可得lz的迭代形式为

(8)

当骨料堆积段成功接顶起时,巷道阻力系数远小于堆积段,式(8)中根号内分母第1项可忽略不计。此外水力梯度应小于临界值Jmax(一般取0.3~0.4)以防止管涌突破,因此堆积长度还应满足:

lzh/Jmax

(9)

式(8)式(9)是建立在考虑巷道和骨料堆积体沿程阻力、初凝时间、水力梯度的骨料堆积长度计算模型,也说明了骨料堆积和注浆过程是截流成功与否的关键点,以往堵水段长度计算模型为

(10)

其中,P为水压,A为巷道面积,c为周长,τ为堆积体硬化后的抗剪强度,f为安全系数,其力学内涵为阻水段周边提供的剪切力能阻抗巷道来水方向的水压力,这导致即使τ取最小值(如0.1 MPa),其计算的长度仍远远小于实际施工过程中所需要的骨料堆积段长度,这主要是实际施工中忽略了骨料堆积长度计算,只关注最终有效阻水体长度的计算,并将2个概念混为一谈。该模型并没有反应施工过程中的关键技术问题,仅能用于预估最小有效注浆段的长度。

2.4 截流过程中骨料粒径选择的估算方法

开始骨料灌注时巷道内水流平均流速理论上为从该节点到工程结束期间的最大平均流速(按全断面计算),该流速随着时间的推移逐渐降低直到静水状态。为了实现快速有效的骨料灌注施工,过低的流速不利于骨料的运移,而过高的流速则造成骨料用量大,削减流速所需的堆积段也更长。另外,如果一开始就选择堆积过大的粗骨料,则削减水头效果不好。因此,合适的骨料灌注时机和正确的灌注顺序是确保顺利截流的前提。

井下动水截流灌注骨料的难点主要为掌握流速与粒径的匹配关系,而要做到实时匹配则应了解流速随堆积高度增加而动态变化的规律。现场实测数据(图5)表明,在骨料灌注后截流成功之前的流量Q基本稳定(波动在30%以内),接顶成功之后呈快速的下降趋势。由此可以认为截流成功前未接顶空间的流量稳定,流速随未接顶高度的减小而不断增加:

(11)

图5 骨料灌注期间井下涌水量变化曲线
Fig.5 Water inflow during aggregate pouring

式子(11)中dj为剩余未接顶高度,由此可估算不同堆积高度时的巷道顶部流速。随着顶部未接顶高度的逐渐变小,流速将不断增大,但显然流速不会无限增大,因为接顶过程最后会演化成流体力学中的管口出流模型,骨料截流成功的后两侧的水头高差是维持在一定范围的。此时流速与断面面积没有关系,只与两侧压差有关系:

(12)

式(11)(12)构建了截流过程中随堆积高度增加而导致流速变化的估算方法,堆积高度可以通过钻探过程中的实测托底位置和骨料灌总注量进行判断,掌握流速的变化规律则可进行骨料粒径的动态匹配。

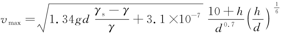
关于骨料的启动速度,其并非定值,骨料的受力状态实时在变化,启动是随机事件,因而骨料的启动流速也是随机事件。根据泥沙启动数量的多少,可将启动状态分为弱动、中动、普动和强动4个阶段,其对应的启动概率依次增加。文献[17]讨论了散粒体和黏性泥沙的最小和最大启动流速表达式:

(13)

(14)

式中:γsγ分别为颗粒及水的容重;d为颗粒直径;h未接顶高度;g为重力加速度。以上二式可计算不同颗粒粒径的启动流速区间,结合式(11)、式(12)求取的巷道实时流速,使vmin<vd<vmax,可以判定哪种颗粒粒径适用于当前的流速环境。

动水巷道中水流条件复杂,不同区域泥沙的级配条件及颗粒状态差异很大,通过上述公式进行初步估算后,可在骨料灌注之前进行简易的骨料启动流速现场实验,进一步优化骨料粒径的选择方案。

3 阻水墙的强度分布状态及破坏判据

骨料灌注施工完毕之后,注浆结石体的强度是随时间变化的函数,在某一特定时刻,结石体的强度为定值。整个结石体与围岩的关系类似于插入岩土体中的大直径桩体[18],载荷为水平方向的巷道断面水压力。区别只是土体中的摩擦桩为垂直状态,而阻水墙在巷道之中则为水平状态。对于垂直桩体,随着深度增加到一定程度,桩体中轴力、剪力和沉降值降低至零。类似地,在骨料注浆形成的结石体开始产生强度之后,侧向水压力载荷对阻水体的作用范围是随阻水体实时强度而变化的范围,且该范围不会无限延伸,而是很快在有限的范围内消散殆尽。由此可见过长的注浆段并不会明显改变阻水墙的受力状态,而是在距离迎水端较近的有限范围内产生了作用。

3.1 阻水墙应力分布的Mindlin模型

如图6所示,根据Mindlin原理[19-20],半无限的弹性空间中的任意一点K(xyz),在深度Z处的集中荷载N作用下该点的竖向位移为

(15)

式中:Eμ为岩土体弹性模量和泊松比;R1为集中力作用点NK点距离,N′点至K点的距离,K点的竖向位移,m。

建立阻水墙的受力分析模型如图6所示,图6a的坐标原点O与图6b中水压的作用位置等效,假定阻水段无限长,其沿巷道延伸的方向与图6a中向下的Z坐标延伸方向一致。阻水段受水压作用的力学模型顺时针旋转90°即与Mindlin计算模型一致。

图6 基于Mindlin模型的阻水墙受力分析
Fig.6 Force analysis of water blocking wall based on Mindlin Model

由(15)式得,在阻水墙最左侧作用位置,取x=y=z=0,集中载荷NO点产生的位移为

(16)

3.2 阻水体与围岩接触面剪应力解

将墙体划分为无数个图6中的单元体,每个单元体对四周巷道的作用力视为向下的集中力,可表示为4zdz,该集中力在水压作用点产生的位移为

(17)

代入E=2G(1+μ)得

(18)

式中:G为围岩切变模量,MPa;D为巷道边长,假定为正方形,m;τz为阻水体与围岩的剪应力,MPa。

假定阻水墙的长度为无限长,且与巷道围岩四周接触面之间不产生相对滑动,则阻水墙的压缩量和水压力作用点处围岩的变形量相等,得

(19)

式(19)可化为二阶变系数齐次常微分方程为

τz+z+2z=0

(20)

式中:为阻水墙的弹性模量,MPa;A为阻水墙截面积,m2

利用桩身边界条件(z=0时,τz=0;z=τz=0)和阻水墙左侧水压作用力为

P=4Dτzdz

(21)

解方程式(20)可得阻水墙与围岩的剪应力,即

(22)

对式(22)积分得轴力Q

(23)

3.3 阻水墙轴向应力及剪力分布特征

假定巷道截面为正方形,边长D=4 m,阻水体弹性模量Ep取1×104 MPa(等效水泥砂浆标号C20,下同)。围岩巷道泊松比0.25,弹性模量E=1×103 MPa(模拟煤巷),阻水体近端轴向水压5 MPa,按断面面积16 m2计算水压力为8×104 kN。阻水墙轴力和四周剪力分别如图7所示。可以看出以下3个特征:①在阻水墙的最左侧,剪应力为零,在进入阻水墙一定深度后,应力分布呈现单峰曲线,且峰值靠近来水方向;②最大剪应力发生在距离来水方向较近的位置,之后逐渐衰减至0;③在弹性状态下,阻水体在来水一侧的受力影响范围仅为其全长的很小的一部分。

图7 阻水墙剪应力和轴力分布曲线(E/Ep=0.1)
Fig.7 Shear stress and axial force distribution

3.4 阻水体受力和来水压力的关系

仍假定巷道截面为正方形,边长D=4 m,阻水体弹性模量Ep取1×104 MPa,围岩巷道泊松比0.25,弹性模量E=1×103MPa(模拟煤巷),断面面积16 m2,变换水压为1、2、3、4、5 MPa,即水压力分别取1.6×104、3.2×104、4.8×104、6.4×104、8×104 kN,阻水墙轴力和四周剪力如图8所示。结果表明水压力越大,剪力和轴力越大,但轴力、剪力的分布状态和影响范围不变,峰值的位置也没有改变。

图8 不同水压条件下阻水墙剪应力和轴力分布
Fig.8 Distribute of shear stress and axial force under water different pressures

3.5 弹性模量比对应力分布的影响

下面讨论模量比对应力分布的影响,假定阻水墙弹性模量Ep取1×104 MPa。围岩泊松比0.25,弹性模量E分别取1×103、2×103、3×103、4×103、5×103MPa,断面面积16 m2,水压5 MPa,即水压力8×104kN,阻水墙四周剪力和轴力分布如图9所示。

图9 不同模量比(E/Ep)下阻水墙剪应力和轴力分布
Fig.9 Distribution of shear stress and axial force under different modulus ratios

结果表明模量比越大,阻水体剪应力分布越集中,峰值剪应力越靠近来水方向,应力影响范围受模量比影响明显,模量比越小,影响范围越大。

3.6 阻水体的强度破坏判据

根据剪力分布解(22)式,对z求导数,当τz=0的时候可得弹性状态下最大剪力的位置,即

(24)

得出时剪应力对大,代入得最大剪应力:

(25)

根据摩尔-库仑准则,在阻水墙与四周围岩滑动剪切带上,极限抗剪力为

τ=c+σtan ψ

(26)

cψ为黏聚力和摩擦角,σ为垂向应力,最大剪应力应小于极限抗剪力为

(27)

得出弹性状态下最大水压承载力为

(28)

阻水体形成后,剪应力最大处最先发生剪切破坏。对于阻水体自身强度,注浆过程中随着时间增长,其黏聚力和摩擦角都会快速增加,巷道围岩与接触面上的胶结体强度也会随时间不断增长,因而阻水墙的最大承载力是随时间变化的函数。

当阻水体强度远大于围岩的强度,例如巷道位于软弱煤岩中时,剪切破坏将从软弱煤岩中率先发生,水流从阻水体外侧绕流突破周边软弱煤岩体形成溃坝。因而式(28)中,cψ取值应为某一时刻,阻水体的强度、胶结带强度、围岩强度比较后的最小值,垂向应力σ与注浆的总体效果有关,在注浆初期未紧密接触、固结产生强度,可近似认为取值为零。

沿着阻水墙轴线方向靠近水压作用点一侧附近,当剪应力最大的位置首先达到抗剪强度后,剪应力将向下游产生塑性变形直到达到临界平衡状态,如果阻水墙长度不足以达到临界平衡,阻水墙将溃坝失稳。

4 结 论

1)研究表明骨料截流过程存在4个水力学阶段,即突水后的水量相对稳定阶段、骨料灌注阶段、骨料接顶阶段、注浆截流阶段,其巷道水流分别对应的流态为:管道流、管道流+低速渗流、高速渗流+低速渗流、低速渗流。通过区分这4个阶段的流态,对当前阶段在整个截流堵水过程中所处的技术状态进行判识,可对堵水工程的演化过程做出预判。

2)骨料在巷道中向下游堆积、“生长”的过程,实质上是骨料堆积体不断适应巷道流速形成动态沙坡的过程,不同高度位置休止角不断变化,当顶端流速超过启动速度一定程度时,休止角变得平缓趋于零,而坡体下部的颗粒因流速不够滞留在原处。利用该原理可将与当前流速相匹配的骨料运送至下游不断滞留堆积而不增加堆积高度,形成水平方向的长度“生长”。进一步增大粒径则可实现巷道高度方向的垂向“生长”,最终实现接顶截流的过程。

3)基于流体力学理论,建立了堆积段长度的计算模型,考虑了水头压差、巷道阻力、骨料堆积段阻力、浆液初凝时间4个与施工过程密切相关的关键参数,描述了动水截流堵巷工程的技术难点,该计算模型较以往纯岩石力学计算判据更符合现场实际情况。

4)动水截流的难点在于骨料堆积体的接顶,接顶成功之前发生多次“溃坝”是随机事件,但随着骨料堆积长度的增加,接顶骨料粒径、级配的优化,最后实现成功接顶则是必然事件。接顶成功前流量基本稳定,成功后流量快速衰减并呈现近似线性的下降趋势。基于此建立了接顶前流速随巷内堆积体高度增加而动态变化的流速计算模型,并利用管口出流模型设定了流速上限。通过计算实时变化的未接顶空间流速,可以动态匹配骨料粒径,实现堵水方案的动态调整。

5)基于Mindin应力解分析了阻水墙水平方向的应力分布情况,发现墙体与巷道剪切带最大剪应力发生在距来水方向较近的位置,相较墙体全部长度,主要受力影响范围仅为阻水墙全长很小一部分。来水方向水压力越大,阻水墙的剪力和轴力越大,但分布状态、影响范围、峰值位置不变。围岩与墙体弹性模量比越大,阻水体剪应力分布越集中,峰值剪应力越靠近来水方向,弹性模量比越小,影响范围越大。

6)动水巷道截流堵水工程是典型的学科交叉问题,随着施工过程的进行,问题的内在机制在不断发生转化,加上工程的隐蔽性,相关技术细节容易被忽视,建议业内加强相关基础研究平台的建设,使工程投入、技术可靠性和时效性达到最优状态。

参考文献(References):

[1] 陈 红,谭 慧,祁 慧.中国煤矿重大水害事故规律分析[J].中国矿业,2005,14(8):22-25.

CHEN Hong,TAN Hui,QI Hui.The analysis of rules of colliery of fatal water hazard accidents in China[J].China Mining Magazine,2005,14(8):22-25.

[2] 孙文洁,韩 权,杨 恒,等.2000-2015年我国煤矿水害事故特征分析[J].煤炭工程,2017,49(5):95-98.

SUN Wenjie,HAN Quan,YANG Heng,et al.Analysis on water inrush accidents in China's coal mines 2000-2015[J].Coal Engineering,2017,49(5):95-98.

[3] 宫厚健.2012-2016年我国煤矿水害事故统计分析[J].内蒙古煤炭经济,2017(23):107-108.

GONG Houjian.Statistical analysis of coal mine water accidents in China from 2012 to 2016 [J].Inner Mongolia Coal Economy,2017(23):107-108.

[4] 王 威.动水条件下堵巷截流技术与阻水段阻水能力研究[D].北京:煤炭科学研究总院,2012:55-58.

[5] 何思源.开滦范各庄矿岩溶陷落柱特大突水灾害的治理[J].煤田地质与勘探,1986,14(2):35-42.

HE Siyuan.Treatment of the great water inrush disaster of the Karst collapse column in Fangezhuang Mine,Kailuan [J].Coal Geology & Exploration,1986,14(2):35-42.

[6] 朱际维.河北开滦矿务局范各庄矿奥灰岩溶陷落柱特大突水灾害及治理[C]//岩石工程事故与灾害实录(第一册).北京:中国岩石力学与工程学会,1994:83-102.

[7] 南生辉.综合注浆法建造阻水墙技术[J].煤炭工程,2010(6):29-31.

NAN Shenghui.Construction technology of water retaining wall by comprehensive grouting method [J].Coal Engineering,2010 (6):29-31.

[8] 蒋勤明.大埋深突水巷道“阻水段”骨料灌注技术[C]//2017年钻探工程学术研讨会论文集.鄂尔多斯:中国煤炭学会钻探工程专业委员会,2017:210-212.

[9] 刘建功,赵庆彪,白忠胜,等.东庞矿陷落柱特大突水灾害快速治理[J].煤炭科学技术,2005,33(5):4-7.

LIU Jiangong,ZHAO Qing biao,BAI Zhongsheng,et al.Rapid holding and control for special large water inrush from sink hole in Dongpang Mine[J].Coal Science and Technology,2005,33(5):4-7.

[10] 王则才.国家庄煤矿8101工作面动水注浆堵水技术[J].煤田地质与勘探,2004,32(4):26-28.

WANG Zecai.Water plugging technology by dynamic grouting in 8101 working face of Guozhuang Coal Mine [J].Coal Geology & Exploration,2004 ,32(4):26-28.

[11] 邵红旗,王 维.双液注浆法快速建造阻水墙封堵突水巷道[J].煤矿安全,2011,42(11):40-43.

SHAO Hongqi,WANG Wei.Rapid construction of water blocking wall to block water inrush pathway by doubleslurry grouting [J].Safety in Coal Mines,2011,42 (11):40-43.

[12] 岳卫振.平衡压力法在极松散煤巷注浆截流堵水中的应用[J].煤炭工程,2012(8):40-42.

YUE Weizhen.Balanced pressure method applied to grouting and water sealing of loose seam gateway [J].Coal Engineering,2012 (8):40-42.

[13] 姬中奎.矿井特大突水巷道动水截流钻探技术研究[J].煤炭技术,2014,33(5):12-14.

JI Zhongkui.Researchon drilling technology for roadway dynamic water sealing in supergiant water inrush coal mine[J].Coal Technology,2014,33(5):12-14.

[14] 杨志斌,董书宁.动水大通道突水灾害治理关键技术[J].煤炭科学技术,2018,46(4):115-121.

YANG Zhibin,DONG Shuning.Key technology of water inrush disaster control under hydrodynamic large channel condition[J].Coal Science and Technology,2018,46(4):115-121.

[15] 虎维岳.矿山水害防治理论与方法[M].北京:煤炭工业出版社,2005:1-2.

[16] 杨 斌,徐曾和,杨天鸿,等.高水力梯度条件下颗粒堆积型多孔介质渗流规律试验研究[J].岩土力学,2018,39(11):4017-4024.

YANGBin,XU Zenghe,YANG Tianhong,et al.Experimental study of non-linear water flow through unconsolidated porous media under condition of high hydraulic gradient[J].Rock and Soil Mechanics,2018,39(11):4017-4024.

[17] 何文社,方 铎,杨具瑞,等.泥沙起动流速研究[J].水利学报,2002,33(10):51-56.

HE Wenshe,FANG Duo,YANG Jurui,et al.Study on incipient velocity of sediment[J].Journal of Hydraulic Engineering,2002,33(10):51-56.

[18] 肖宏彬,竖向荷载作用下大直径桩的荷载传递理论及应用研究[D].长沙:中南大学,2005:1-15.

[19] 赵立昌.Mindlin解在刚性桩复合地基沉降计算中的应用[D].邯郸:河北工程大学,2017:41-52.

[20] 李金德.基于Mindlin位移解的锚杆设计及其应用[D].北京:中国地质大学(北京),2018:13-22.

Study on construction technology of water blocking wall in hydrodynamic pathway of submerged mine

DONG Shuning1,MOU Lin1,2

(1.Xian Research Institute of China Coal Technology & Engineering Group Corp.,Xian 710054,China;2.China Coal Research Institute,Beijing 100013,China)

Abstract:The process of blocking water by pouring aggregate into the water passage involves many mechanical evolution stages,people pay more attention to the water blocking effect than the project cost,which leads to the key technical problems of the construction process rarely involved.Based on the data of previous engineering cases,this paper analyzes the general construction process of water retaining wall,establishes a hydraulic model to describe the process from aggregate accumulation to grouting closure,puts forward the calculation method of relevant parameters,and studies the internal stress distribution and failure mechanism of water retaining wall.The results show that:①The construction of water retaining wall can be divided into four stages of macro hydraulic model:the pipeline flow model in water inrush stage,the pipeline flow and low-speed seepage model in aggregate pouring stage,the high-speed seepage and low-speed seepage model in aggregate topping stage,and the low-speed seepage model in grouting closure stage.②The aggregate grows in horizontal and vertical direction in moving water and has an equilibrium relation with the flow field.③Considering the factors of pressure difference,wall resistance,accumulation section resistance and initial setting time of slurry,the estimation model of accumulation section length is established,and the prediction method of roadway top velocity at different stages and the selection method of aggregate particle size are proposed.④The maximum

shear stress in the water blocking wall occurs near the direction of incoming water.Compared with the whole length of the wall,the affected range of stress is only a small part of it.The larger the water pressure is,the larger the shear force and axial force are,but the distribution state,the range of influence and the peak position remain unchanged.The larger the ratio of elastic modulus of surrounding rock to wall,the more concentrated the distribution of shear stress,the closer the peak shear stress is to the direction of incoming water.When the maximum shear stress first reaches the shear strength,the shear stress will flow to the downstream until the equilibrium state is formed,otherwise the instability will be destroyed.

Key words:water blocking wall; construction technology; filling aggregate; mechanical mechanism; closure of hydrodynamic water

中图分类号:TD741

文献标志码:A

文章编号:0253-2336(2021)01-0294-10

移动扫码阅读

董书宁,牟 林.突水淹没矿井动水巷道截流阻水墙建造技术研究[J].煤炭科学技术,2021,49(1):294-303.doi:10.13199/j.cnki.cst.2021.01.027

DONG Shuning,MOU Lin.Study on construction technology of water blocking wall in hydrodynamic pathway of submerged mine[J].Coal Science and Technology,2021,49(1):294-303.doi:10.13199/j.cnki.cst.2021.01.027

收稿日期:2020-10-08

责任编辑:曾康生

基金项目:“十三五”国家重点研发计划资助项目(2017YFC0804106);中煤科工集团西安研究院有限公司2019年度科技创新基金资助项目(2019XAYMS22)

作者简介:董书宁(1961—),男,陕西蓝田人, 研究员。E-mail:dongshuning@cctegxian.com

通讯作者:牟 林(1985—),男,湖北松滋人,副研究员。E-mail:258323938@qq.com

(责任编辑:admin)