新煤网移动版

主页 > 技术资料 > 科技论文

基于时空网络的煤炭铁路运输重车调度优化研究

★ 经济管理 ★

基于时空网络的煤炭铁路运输重车调度优化研究

段宏海,韩 杨,孔祥胜,刘荣杰

(国家能源投资集团有限责任公司,北京市东城区,100011)

摘 要 针对大型能源集团煤炭“产运销储用”一体化配送供给过程中,铁路重车易在港前拥堵、列车调度分配效率低、煤炭铁路运输抗风险能力弱的问题,提出铁路运输重车调度优化模型。基于一体化煤炭供应链中铁路下游分流业务,构建了动态重车车流调配时空网络模型,充分考虑了煤炭一体化配送供给方式下日分流计划定量约束及铁路自身运力、保留能力限制以及列车运行规则限制等因素;在实际应用中以增大铁路运输效率为优化目标,为尽量减少重车中途保留及港前拥堵时间,构建了大规模混合整数线性规划模型。国内某大型能源集团一体化链条铁路重车调度的实验结果表明:该模型能有效应对车流不均衡等问题,通过重车分流调配优化,有效降低了铁路重车拥堵时间,防止了重车港前拥堵,提高了运输效率。

关键词 时空网络;煤炭铁路运输;重车调度;调度优化模型

0 引言

我国的煤炭储备主要集中在西北部的晋陕蒙地区,而煤炭消耗主要集中在东南部沿海地区,为提高煤炭的利用效率,我国主要大型能源集团逐步形成了“产(采)运销储用”一体化的煤炭运营体系[1]。大型能源集团的煤炭“产(采)运销储用”一体化链条具有供应链关系复杂、铁运物流建模复杂的特点,重载铁路运输车流调配优化是提升铁路运输效率、保证资源高效分配的关键。随着煤炭资源日益紧张,能源企业往往采用以产定销的配送制资源供给方式[2-3]。在该种供给方式下,如何有效调整煤炭“产运销储用”一体化链条的运输,保证资源的有效运出,是同时实现上游资源有效利用、下游用户保供的有效途径。

铁港联运是煤炭一体化运输的主要形式,因此目前国内外对煤炭调运问题的研究主要集中在煤炭资源合理分配和铁路车流系统合理规划两方面。文献[4]分析了煤炭运输物流系统,以铁路到港及沿线直达运输为前提建立了多时间尺度的煤炭运输模型,该模型以运输成本最低为优化目标,并考虑铁路运力、安全库存等约束,构建仿真模型;文献[5-7]提出了铁路与港口之间的配合优化模型,其中文献[5]主要分析了秦皇岛港不同接卸能力下的铁路最优运输方式;文献[8-11]以运输成本最低为优化目标,考虑运输中的节点分布、库存变化等非线性约束,分别采用线性规划、粒子群算法、模拟退火算法等对运输路径进行规划;文献[12]通过重车车流组织分析,考虑列车开行条件及费用,构建了以耗时最小为优化目标的车流组织优化模型;文献[13]基于对开单元重车和编组重车的重载铁路装车区域车流组织优化问题,以运输耗时最少和区间流量最大为优化目标,构建了车流组织优化模型。

从目前的调运研究来看,国内外研究集中于运输路径的优化和流量的分配优化,对于煤炭资源的分配和煤炭重载铁路列车的调度构建了较好的模型框架。针对大型能源集团煤炭“产运销储用”一体化配送供给过程中,铁路重车易在港前拥堵、列车调度分配效率低的实际问题,依据一体化煤炭调度业务经验规则,结合路径及分流优化思想,提出了煤炭铁路运输重车调配优化规划模型,减少重车中途保留及港前拥堵的时间,保证铁路运输通道的通畅性和高效性。

1 研究背景

以某大型能源集团为背景,该集团涵盖煤炭、火电、运输、化工等多个产业板块,采用煤电路港航(化)一条龙、“产运销储用”一体化管控的运营模式,如图1所示,煤炭产销供应链上下游高度关联,资源处于持续高效的周转状态。目前集团采用以产定销的配送制运营模式,由集团统一协调并制定周、日煤炭生产、运输及销售计划。由于煤炭资源周转迅速,铁路运力利用高效,任何不合理计划或突发事件的发生均易导致一体化链条的中断或拥堵,引起上下游的连锁反应。

图1 煤炭“产运销储用”一体化链条

煤炭一体化链条运输过程中,铁路运输既承接上游生产又涉及下游的港口及用户供给,是煤炭运输的关键环节,主要分为上游的装车网络和下游的分流网络。重车运输到铁路下游前需要进行编组,再运输并分流给铁路沿线用户及港口。铁路下游的运输网络示意如图2所示,图中实线表示某大型能源集团自有铁路,虚线表示国家铁路网。

图2 铁路下游树形网络示意

目前引发铁路运输效率降低的原因往往是港前重车拥堵,因此合理调度重车运行计划,防止重车堵港,是目前铁路调度人员主要关注的问题之一。重车堵港常常是由于下游重车分流计划安排不合理引起某段时间进港列车密度过大,超过了港口接卸能力,或者由于港口翻车机临时故障,港口接卸能力下降,导致大量重车在港前拥堵。

铁路业务调度人员在发现港前重车保有量过高时,主要采取增大其他流向分流及增加沿线保留的方式来降低进港列车密度,以达到尽快疏通港口的目的。为减轻对一体化链条其他环节的影响,并尽量保证日运输计划的执行,调度人员采取的调度方式往往按照以下优先顺序调节:一是用户日供给量不变条件下,增大未来几小时国家铁路网用户或其他港口的分流量;二是增加铁路沿线的重车保留量;三是减少铁路上游的来车量;四是与销售或用户协调增加沿线或国家铁路网用户的日供给量。

受车流、车型限制和计划兑现等情况约束,铁路调度人员在重车堵港情况即将发生或发生后才采取相应措施进行调整,一般依靠调度员的调度经验下达调度方案,并根据执行情况逐步调整,无法迅速有效地达到线路疏通的效果。因此,笔者构建研究模型,分析在考虑铁路下游网络结构和调度员调度经验的基础上,优化重车调度计划,防止重车港前拥堵;或者在发生重车堵港情况后,优化调配策略,以迅速疏通港前线路。

2 模型构建

2.1 时空网络构建

煤炭铁路防堵港重车调配优化问题可以假设为一个单配送中心至多用户的物流配送时空网络模型,铁路上下游的铁路线交界口可假设为配送中心,各分流口或沿线客户为用户。重车的调配优化既涉及到重车的运输分流途径,也涉及到其运行或保留时间,是一个动态车流调配的问题。通过构建离散型的时空网络,可以将时间和空间要素有机结合起来。离散型时空网络是在将时间轴进行离散化处理的基础上,将车站等物理节点布置在时间轴中,从而形成二维的离散型时空网络,如图3所示。

图3 离散型时空网络

由于上游装车和发车时间的不确定性,以一天为决策周期进行重车调配无法有效执行,为避免上游来车不确定性因素的影响,笔者以调度班计划时间(12 h)为1个决策周期,并将决策周期划分为6个时段,即每个时段2 h,也可以根据实际需求决定决策周期及时段长短。例如重车1的运行及保留时空状态如图3所示,重车1从车站1发车,在时段3到达车站3,并在车站3保留至时段4,在时段5到达车站4。

所研究的铁路下游区段如图2所示,按照铁路站点的类型可以将车站分为始发站、中途站、卸车站(分流口)。始发站即铁路上下游的铁路线交界口,以上游铁路交重计划作为下游铁路的发车计划参考,中途站即铁路运输途经车站,有些具备列车保留能力,卸车站即与用户需求关联的火车站。

重车的调配优化主要是优化各重车的运输及分流计划,即优化列车在哪个时间段在哪个车站运行或保留,在哪个时间段在哪个车站分流或卸车交送给煤炭用户。因此决策变量可设置如下:

(1)

式中:I——铁路站点集合;

i——第i个车站,i=1~n

J——重车的集合:

j——第j辆重车;

t——时段;

xtij——t时段第j辆重车是否经过i车站,取1或0,其中1表示是,0表示否;

ytij——t时段第j辆重车是否在i车站保留,取1或0,其中1表示是,0表示否;

ztij——t时段第j辆重车是否在i车站分流或卸车,取1或0,其中1表示是,0表示否。

2.2 模型假设

由于此类重载铁路重车调配优化问题相对复杂,为方便模型描述和简化问题,构建模型时进行如下假设:

(1)各车站和分流口没有车型的要求,不考虑煤种的要求;

(2)重车均考虑在分流口车站或用户对应车站卸车,不考虑后续运输;

(3)不考虑列车编组问题,均考虑以标准列运输,编组影响的运力问题通过添加运力约束解决;

(4)不考虑配送日计划临时更改,列车、线路检修等因素。

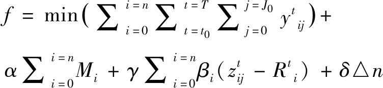
2.3 目标函数

实际铁路重车调度业务中以防止列车港前拥堵、提高铁路的运输效率为调度目标。在目标模型构建时可以以重车在港前或铁路沿线保留时间最短为优化目标,列车在铁路运输中的保留时间直接反应了铁路的输送效率。目标函数可表示为:

(2)

式中:i=0——始发站;

i=n——港前站;

t0——第1个时段;

T——最后一个时段;

J0——决策周期内始发站接重重车总数。

在进行列车调度优化时需要综合考虑铁路调度人员在重车堵港后的经验调度策略,并以惩罚系数权重的形式体现在目标函数中,考虑调度人员经验调度策略后的目标函数可以改写为:

(3)

式中:α——需要调节上游来车的惩罚系数;

Mi——第i个车站用户的需求可调节量;

γ——需要调节日内用户到车顺序的惩罚系数;

βi——第i个车站对应用户需求未按时满足的惩罚系数,根据调度员调度分流的优先策略设置不同的权重;

Rti——第i个车站用户在t个时间段的需求量;

δ——需要更改用户当日需求的惩罚系数;

n——始发站接重上游车辆数目的变化量。

调度过程中应尽量避免对日计划的更改,尽量保证按日计划的分流计划量执行,如果为了避免堵港时间过长需要调节日计划时,应尽量避免对上游装车的影响,依据此原则,惩罚系数设置时应保证γ<δ<α

2.4 约束条件

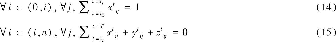
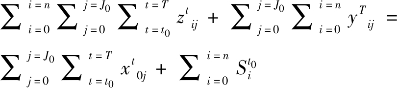
考虑铁路列车实际的运输过程及集团配送制计划的执行过程,调配优化模型构建时应满足以下约束条件。

(1)供需平衡约束。决策周期内始发站发车计划与周期开始时重车在途量之和必须等于决策周期内各车站卸车量与周期结束时线路保留列车之和,即:

(4)

式中:优化开始时第i个车站的重车在途数量,车站区间的重车假设到相近的车站。

(2)港口动态库存及卸车能力约束。包括港口的动态库存不得超过其安全库存范围约束,港口卸车量受港口翻车机状态和港口库存的约束,即:

式中:Qportt——t时刻的港口库存量;

Vj——第j量车的煤炭运输量;

OUTt——t时刻的港口装船量;

minQport、maxQport——港口安全库存的上下限;

ntcar——t时刻港口可用翻车机数量;

k1、k2——相关系数。

(3)铁路能力及防堵港约束。包括列车在各运输区段的运力约束和车站的保留能力约束,即:

式中:Di——第i个车站在t时段内允许通过的最大列车数;

Si——第i个车站的列车可保留量。

(4)日计划执行约束。包括卸车量与用户日计划需求量的平衡约束和始发站上游接重量与计划量之间平衡约束,即:

式中:Sut0——t时刻下游始发站的计划上游接重量。

(5)列车运行约束。包括每辆车只能在一个车站卸车约束,列车在任何车站任意时刻只能处于保留、运行、卸车某一个状态或都不处于,即:

列车只允许单向顺序通过,约束条件可以设置为重车在卸车之前,在卸车站之前任意站点必须且只能通过1次,在卸车之后,卸车站之后任意站点不可以运行或保留,假若第j辆列车在tt时刻在i站点卸车,则单向顺序约束可以表示为:

3 案例分析

以图2所示的某大型能源集团重载铁路下游的重车调度业务为例,为了降低算例规模,对车站、用户等进行归类合并简化,简化后算例网络如图4所示,根据上游列车装车情况确定站点A的到达计划,重车依次从站点A发出,开往自有铁路沿线用户站点C,国铁用户站点D及港口站点F。

图4 算例树形网络示意

该案例以运输通道能力饱和、重车密度大时易引发重车堵港的场景为背景。该线路当前重车状态为26列在途,根据在途位置可以简化为14列在站点C、12列在站点D。翻车机状态良好,港口的卸车能力为5列/h,港前重车最大保留数量为30列,目前已存在28列待卸。站点A在12 h内的接重计划为6∶00-8∶00(时段1)15列,8∶00-10∶00(时段2)12列,10∶00-12∶00(时段3)9列,12∶00-14∶00(时段4)9列,14∶00-16∶00(时段5)8列,16∶00-18∶00(时段6)8列。根据站点A的接重计划及当前铁路重车在途情况,在各卸车点的分流计划见表1。

表1 各卸车点的分流计划

时段站点C卸车量站点D卸车量站点F卸车量6∶00-8∶0000108∶00-10∶00001210∶00-12∶00201412∶00-14∶00221514∶00-16∶0000816∶00-18∶00027

若按照计划执行则会在8∶00-10∶00时段港前重车场出现满线情况,在10∶00-12∶00时段开始发生堵港,而且无法在今日完成疏通。

参照图4所示的重载铁路结构及当前运输状态,按照式(1)~式(15)构建混合整数线性规划模型,并调用求解器进行求解。优化后各卸车点的卸车计划见表2。

表2 优化后各卸车点的分流计划

时段站点C卸车量站点D卸车量站点F卸车量6∶00-8∶0011108∶00-10∶00221110∶00-12∶00221112∶00-14∶00001014∶00-16∶00001016∶00-18∶000010

优化后的重车调配方案时空网络如图5所示。从优化结果来看,由于前期到港车流密度较大,通过将原在16∶00-18∶00时段在站点C和12∶00-14∶00时段在站点D卸车的列车调节至8∶00-12∶00时段,并各增加1列6∶00-8∶00时段在沿线的列车,使到港重车车流密度均匀。并通过调节部分重车在中途站点的保留,调节到港量,避免了列车集中到达产生的重车堵港问题。

图5 优化后重车调配方案时空网络

重车调配优化前后港前重车拥堵情况对比如图6所示,优化模型通过对重车车流的时空调节,有效防止了港前重车拥堵,提高了重载铁路运输效率。

图6 优化前后港前重车拥堵情况对比分析

4 结语

对大型能源企业煤炭“产运销储用”一体化调运过程中煤炭铁路运输重车调配优化问题进行了研究。综合考虑煤炭重载铁路列车调配运行特点和实际调度人员业务经验,构建了基于时空网络的煤炭铁路运输重车调度混合整数线性规划模型,并应用优化求解器求解。通过案例分析验证了模型的有效性,优化结果表明,调配优化模型能有效应对车流不均衡问题,避免重车港前拥堵,保证一体化链条高效顺畅。

参考文献:

[1] 许雪峰.煤炭资源铁路运输发展与现状研究[J].内蒙古煤炭经济,2020(12):73-74.

[2] 白志军,解春生.神华集团煤炭产运销一体化调运优化模型[J].计算机应用,2013,33(S1):295-297.

[3] 马俊.神华纵向一体化运营模式的现状与未来[J].煤炭经济研究,2016,36(1):40-46.

[4] LI Y B,LI R.Simulation and optimization of the power station coal-fired logistics system based on witness simulation software[J].Power Electronic and Interlligent Transportation System,2008,8(4):394-398.

[5] 朱恒.津冀煤炭港口铁海联运路径优化研究[D].秦皇岛:燕山大学,2019.

[6] 陈红梅,宋浩贤,田然.考虑碳排放的煤炭铁海联运路径优化[J].物流技术,2020,39(7):77-82,102.

[7] CHANG H,WANG P,CHEN H,et al.On the study of shortest-path problem on coal-transportation networks using Dijkstra's Algorithm[C].Taiwan:IEEE International Conference on Consumer Electronics,2019.

[8] TIWARI M K,KUMAR R A,MOHAPATRA P,et al.Route selection and consolidation in international intermodal freight transportation[J].Applications of Multi-Criteria and Game Theory Approaches:Manufacturing and Logistics,2014:181-194.

[9] GEDIK R,MEDAL H,RAINWATER C,et al.Vulnerability assessment and re-routing of freight trains under disruptions:A coal supply chain network application[J].Transportation Research Part E Logistics &Transportation Review,2014,71(11):45-57.

[10] GHOSEIRI K,GHANNADPOUR S F.Multi-objecte vehicle routing problem with time windows using goal programming and genetic algorithm[J].Applied Soft Computing,2010,10(4):1096-1107.

[11] LIU R,XIE X L,VINCENT A,et al.Heuristic algorithms for a vehicle routing problem with simultaneous delivery and pickup and time windows in home health care[J].European Journal of Operational Research,2013,230(3):475-486.

[12] 卢巍.基于径路选择的装车地直达车流组织的优化研究[D].北京:北京交通大学,2020.

[13] 赵鹏,张进川,唐宝刚.基于组合列车的重载铁路装车区车流组织优化模型研究[J].中国铁道科学,2010,31(6):116-121.

Research on the scheduling optimization of coal railway heavy vehicles based on time-space network

DUAN Honghai,HAN Yang,KONG Xiangsheng,LIU Rongjie

(China Energy Investment Corporation,Dongcheng,Beijing 100011,China)

Abstract In view of the problems of heavy railway vehicles easy to be congested in front of the port,low efficiency of train dispatching and distribution,and weak anti-risk ability of coal railway transportation in the process of integrated distribution and supply of coal production,transportation,storage and utilization of large energy groups,this paper proposes an optimization model for railway transportation heavy train dispatching.Based on the downstream shunting business of the railway in the integrated coal supply chain,a dynamic time-space network model for the dispatching of heavy vehicles is constructed.Fully considering the quantitative constraints of the daily shunting plan under the integrated coal distribution and supply mode,as well as the constraints of the railway's own transport capacity,retention capacity and train operation rules and other factors;with the optimization goal of increasing the efficiency of railway transportation and minimizing the retention of heavy vehicles and the congestion time before the port in actual application,a large-scale mixed-integer linear programming model is constructed.The experimental results in a large domestic energy group integrated chain railway heavy vehicle dispatching show that the model can effectively deal with the problems of uneven traffic flow,and effectively reduce the time of heavy vehicle congestion,prevent the heavy vehicle congestion in front of port,and improve the transportation efficiency through the optimization of the distribution and dispatching of heavy vehicles.

Keywords time-space network;coal railway transportation;heavy vehicle dispatching;dispatching optimization model

中图分类号 TD-954

文献标志码 A

移动扫码阅读

引用格式:段宏海,韩杨,孔祥胜,等.基于时空网络的煤炭铁路运输重车调度优化研究[J].中国煤炭,2023,49(1):51-57.DOI:10.19880/j.cnki.ccm.2023.01.006

DUAN Honghai,HAN Yang,KONG Xiangsheng,et al.Research on the scheduling optimization of coal railway heavy vehicles based on time-space network[J].China Coal,2023,49(1):51-57.DOI:10.19880/j.cnki.ccm.2023.01.006

基金项目:国家能源集团科技项目“大型能源企业一体化煤炭供应链实时调度智能决策支持关键技术研究项目”(GJNY-22-142)

作者简介:段宏海(1976-),男,山西大同人,工程师,主要从事铁路列车优化调度及煤炭一体化运输管理研究工作。E-mail:11073301@ceic.com

(责任编辑 郭东芝)

(责任编辑:admin)