新煤网移动版

主页 > 技术资料 > 科技论文

基于可拓云模型的矿井通风系统可靠性评价及灵敏度分析

★ 煤矿安全 ★

基于可拓云模型的矿井通风系统可靠性评价及灵敏度分析

王豪杰1,2,郑凯歌1,王泽阳1,薛黎明2

(1.中煤科工集团西安研究院有限公司,陕西省西安市,710054;2.中国矿业大学(北京) 能源与矿业学院,北京市海淀区,100083)

摘 要 针对矿井通风可靠性综合评价等级划分边界信息具有模糊性与随机性,综合可拓云理论可融合定量与定性分析的特点和云模型处理双重不确定性的优势,提出一种基于可拓云模型的矿井通风可靠性综合评价模型。介绍了可拓云理论,研究了可拓云评价模型,建立了相关指标体系,并对指标数据进行了标准化处理,采用主客观综合赋权法确定了评估指标的权重,进而确定了评价等级;根据评价结果引入指标值灵敏度分析方法,通过计算各指标的灵敏度区间大小,为决策者提供各评价指标的优化顺序。最后,选取8个矿井样本数据进行实例验证,评价结果与ANN模型、FDA模型的评价结果相吻合,验证了该模型的准确性与有效性。

关键词 矿井通风系统;可靠性评价;可拓云理论;可拓云评价模型;灵敏度分析

矿井通风系统是矿井通风方式、通风方法和通风网络的总称。其任务是向井下各用风地点提供新鲜空气,以保证井下工作人员的生存需要。另外要保证矿井发生灾害时,能够及时控制风向和风量,并配合其他措施防止灾害的扩大[1]。由此可见通风系统在煤矿生产过程中有着重要的地位,只有维持通风系统的稳定运转,才能为井下工作人员的安全和矿井的正常生产提供保障。因此客观、准确地对矿井通风系统的可靠性进行分析评价不仅是矿井生产的必要任务,也是对不合理的通风系统进行优化的前提工作。

近年来,矿井通风系统可靠性评价问题引起了国内外学者的广泛关注。现有的关于通风系统可靠性的单一评价方法主要有基于概率统计理论的评价方法[2]、基于模糊数学理论的评价方法[3-4]和基于人工智能算法的评价方法[5]。以上研究成果在一定程度上丰富了我国矿井通风系统评价理论,但依然存在不足之处。例如利用概率统计方法进行分析时,评价结果的准确性对各项指标的基准值有很强的依赖性;基于模糊数学理论的通风体系评价方法在构建各项指标的隶属度函数时,受主观因素的影响较大,忽略了评估结果的客观性;基于人工智能算法的评价方法在处理过程中,需要大量训练样本,导致指标数据的获取成为难题。基于此,我国学者在矿井通风系统综合评价方面做了大量研究。程健维等[6]利用灰色系统理论中的灰色聚类分析和模糊综合评价方法,建立了矿井通风系统综合评价模型,从而对通风系统可靠性做出了定量化的评价;陈开岩等[7]将变权原理引入模糊综合评价中,建立了多级变权模糊综合评价模型,使得变权评价结果的各等级隶属度差别更加明显,更加符合矿井实际情况;王克等[8]将物元分析理论应用到矿井通风系统评价中,综合考虑多种衡量条件对评价目标的优劣利弊,利用关联度信息对通风系统的等级进行可拓识别,取得了满意的效果。

基于物元理论的评价方法将通风系统评价作为一个确定的数学模型进行处理,没有考虑系统分级界限的随机性和模糊性。笔者通过改进层次分析法(AHP法)得到各项指标的主观权重,利用熵权法得到各项指标的客观权重,结合博弈论组合原理确定各项指标的综合权重。在此基础上引入云模型,将隶属函数的精确性拓展为具有统计分布的不确定性,再结合可拓学中的物元理论能够定性、定量分析问题的优点,提出了一种基于可拓云理论与组合赋权的矿井通风系统可靠性评价方法。

1 可拓云理论简介

1.1 云理论

李德毅院士[9]在研究概念的模糊性与随机性问题时提出了云理论,该理论可以实现定性概念与定量数值之间的转换。设X是一个定量论域,X={x},C是与X对应的定性概念,对于任意的xX,若存在有稳定倾向的随机数y=μA(x),则称yxA的隶属度,而y在论域X上的分布称为隶属云。一般通过期望Ex、熵En和超熵He等数字特征表征。其中期望值Ex表示隶属云的分布中心,反应了定性概念的信息中心值;熵 En 是定性概念的可度量粒度,熵值越大概念越宏观,刻画了可以被分级概念所接受的数据样本范围的模糊性;超熵 He 是熵的不确定性度量,反映了云滴的离散程度。通过三者的结合能够兼顾分级界限的模糊性与随机性,构成定性与定量间的相互映射,实现分级区间的软化。其数字特征和隶属云如图1所示。

图1 隶属云图

1.2 可拓云理论

蔡文教授在处理矛盾性问题时提出了可拓理论,以物元理论和集合理论为基础,从定性和定量两方面处理多指标综合性评价的不相容问题。将物元概念引入可拓理论中,从而使对象M、特征C和量值V三者相结合,记为:R=(MCV)。笔者考虑到云模型具有处理事物的双重不确定推理特性,利用正态云模型中(ExEnHe)取代V,从而实现对评估过程中随机性和模糊性的数学描述。可拓云模型可表示为:

(1)

式中:R——评价等级;

Ci——评价指标;

(ExiEniHei)——各评价指标对应的云特征数。

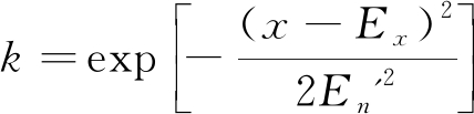
可拓云关联函数的计算类型为数值与标准正态可拓云之间的关联度模式。首先将待评估的通风系统各项指标因子值x视为一个云滴,并随机生成服从对应期望值为Ex、标准差为HE的正态分布方差En',最后计算出各指标对应的待评估值x与可靠等级界限可拓云模型之间的关联度k[10],计算公式为:

(2)

式中:k——关联度;

x——指标因子;

Ex——期望;

En'——方差。

2 博弈论-可拓云评价模型

运用可拓云模型对矿井通风系统进行评价的过程如图2所示。

图2 可拓云模型评价流程

2.1 指标体系的建立

目前对于矿井通风系统是否可靠合理尚未形成明确统一的衡量标准,但是对于评价指标的选取应该遵循科学性、完备性、层次性、可操作性和定性与定量相结合等原则。综合考虑我国矿井通风系统的实际情况和指标数据的可获得性,在已有研究成果的基础上从技术可行、安全可靠和经济合理3方面建立了由风压合理性、等积孔和通风机运转稳定性等16个评价指标构成的矿井通风系统可靠性评价指标体系,并将矿井通风系统的可靠性等级分为可靠、一般和不可靠3个等级,分别用 Ⅰ~Ⅲ 级表示。矿井通风系统可靠性评价指标体系见表1。

由表1可以看出,数值越大,结果越好的指标称为效益型指标,包括通风机运转稳定性U11、反风系统合格率U12、防灾设施合格率U13、通风设施合格率U14、检测利用率U16、风压合理性U21、矿井等级孔U22、用风点风量合格率U24、用风点风质合格率U25、通风方式合理性U26和通风机效率U32等;数值越小,结果越好的指标称为成本型指标,包括通风网络复杂程度U15、吨煤通风电耗比U31和外部漏风率U33等;而对于矿井风量供需比U23和用风地点温度U27两个指标的量值处于某一区间内结果最佳,所以称为区间型指标。

表1 矿井通风系统可靠性评价指标体系

准则层因素层等级标准Ⅰ级Ⅱ级Ⅲ级指标类型安全可靠U1通风机运转稳定性U11/%≥80[60,80)<60效益型反风系统合格率U12/%≥90[80,90)<80效益型防灾设施合格率U13/%≥90[80,90)<80效益型通风设施合格率U14/%≥80[60,80)<60效益型通风网络复杂程度U15/%≤40[40,70)≥70成本型矿井通风检测利用率U16/%≥90[80,90)<80效益型技术可行U2矿井风压合理性U21/%≥80[60,80)≤60效益型矿井等积孔U22/m2≥2[1,2)≤1效益型矿井风量供需比U23/%[1.0,1.2)[1.2,2.0)≥2.0区间型用风点风量合格率U24/%≥80[60,80)<60效益型用风点风质合格率U25/%≥80[60,80)<60效益型通风方式合理性U26/%≥70[50,70)<50效益型用风地点温度U27/℃[20,24)[24,27)[27,30)区间型经济合理U3吨煤通风电耗比U31≤0.8[0.8,1.5)≥1.5成本型通风机效率U32/% ≥75[60,75)≤60效益型外部漏风率U33/%≤1.5[1.5,3.5)≥3.5成本型

2.2 指标数据标准化处理

为消除指标量纲对评价结果的影响,应对指标数据进行标准化处理。根据上文的指标分类对指标数据进行标准化计算。

(1)对于效益型指标:

(3)

式中:dij——标准化处理后的指标值;

aij——第j个指标的原始值;

ajmin——第j个指标的最小值;

ajmax——第j个指标的最大值。

(2)对于成本型指标:

(4)

(3)对于区间型指标:

(5)

式中:u1j——第j个指标的允许下界;

u2j——第j个指标的允许上界。

2.3 指标权重的确定

为了保证权重分配的合理性,采用主客观综合赋权法确定评估指标的权重。其中采用层次分析法确定主观权重,熵权法确定客观权重,并采用博弈论组合原理综合主客观权重确定指标的综合权重,该方法不仅有效避免了单一赋权法的缺陷,同时实现了权重分配的主客观统一,从而保证了各指标权重系数的合理性。

改进层次分析法是一种定性与定量相结合的多目标决策赋权方法。划分问题的影响因素,形成具有支配关系的层次结构,然后依次比较相邻变量得出相对重要性排序。具体可参考薛黎明等[11]计算步骤。

熵权法是一种根据各项指标观测值提供信息量大小来确定指标权数的方法。指标信息量越大,则不确定性越小,对应的熵值也就越小。具体可参考杨力等[12]计算步骤。

博弈论组合赋权法[13]将主、客观赋权法得到的权重进行优化、融合,从而得到评价指标的综合权重。具体步骤如下所述。

(1)求n种单一赋权方法的线性组合:

(6)

式中:wk——基本权重向量;

ak——不同赋权方法的线性组合系数。

(2)对线性组合进行优化,使wwk的离差极小化,求出组合系数ak

(3)归一化处理,得到组合权重:

式中:a*——不同赋权方法经优化后的线性组合系数;

w*——博弈论组合权重。

2.4 评价等级的确定

将矿井通风系统评价指标分级界定为双约束空间,通过各指标区间值和式(11)~(13)计算出指标等级可拓云模型的数字特征:期望Ex、熵En和超熵He。各指标数字特征结果如表2所示。

表2 可拓云模型数字特征

评价指标等级标准Ⅰ级Ⅱ级Ⅲ级U11(90.00, 8.492 6,0.02)(70.00, 8.492 6,0.02)(50.00, 8.492 6,0.02)U12(95.00, 4.246 3,0.02)(85.00, 4.246 3,0.02)(75.00, 4.246 3,0.02)U13(95.00, 4.246 3,0.02)(85.00, 4.246 3,0.02)(75.00, 4.246 3,0.02)U14(90.00, 8.492 6,0.02)(70.00, 8.492 6,0.02)(50.00, 8.492 6,0.02)U15(20.00, 16.985 1,0.02)(55.00, 12.738 9,0.02)(85.00, 12.738 9,0.02)U16(95.00, 4.246 3,0.02)(85.00, 4.246 3,0.02)(75.00, 4.246 3,0.02)U21(90.00, 8.492 6,0.02)(70.00, 8.492 6,0.02)(50.00, 8.492 6,0.02)U22(2.50, 0.424 6,0.02)(1.50, 0.424 6,0.02)(0.50, 0.424 6,0.02)U23(1.10, 0.084 9,0.02)(1.60, 0.339 7,0.02)(2.50, 0.339 7,0.02)U24(90.00, 8.492 6,0.02)(70.00, 8.492 6,0.02)(50.00, 8.492 6,0.02)U25(90.00, 8.424 6,0.02)(70.00, 8.492 6,0.02)(50.00, 8.492 6,0.02)U26(85.00, 12.738 9,0.02)(60.00, 8.492 6,0.02)(40.00, 8.492 6,0.02)U27(22.00, 1.698 5,0.02)(25.50, 1.273 9,0.02)(28.50, 1.273 9,0.02)U31(0.40, 0.339 7,0.02)(1.15, 0.297 2,0.02)(1.85, 0.297 2,0.02)U32(87.50, 10.615 7,0.02)(67.50, 6.369 4,0.02)(52.50, 6.369 4,0.02)U33(0.75, 0.636 9,0.02)(2.50, 0.849 3,0.02)(4.50, 0.849 3,0.02)

式中:Ex——期望;

En——熵;

He——超熵;

xij1——等级标准区间的最小值;

xij2——等级标准区间的最大值。

式中s可结合相应指标的模糊性和随机性进行调整,本文取0.02。

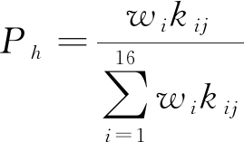
结合各指标等级云模型的数字特征和式(1)求得评价目标与第j级的第i个指标的云关联度kij(i=1,2…,16;j=1,2…,5),令:

(14)

式中:Ph——云关联度的分布密度值;

wi——综合权重对应的分量。

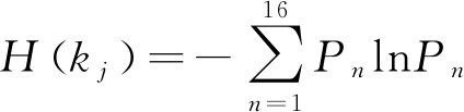
结合熵理论和云关联系数,定义云熵为:

(15)

根据熵理论可知,当待评估样本的云熵最大时,表明待评估样本对相应电能质量等级的标准隶属云的影响最均衡,最大云熵对应的电能质量等级最能体现待评估样本的性质。

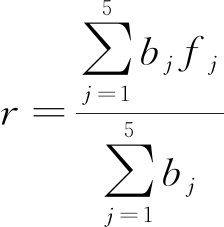
通过式(1)计算出各项指标关联度,得出综合评判矩阵Z,结合权重矩阵W 得出评判向量B=WZ。利用加权平均法得出综合评判分数r为:

(16)

式中:bi——向量B的分量;

fi——第i等级的量值。

由式(16)可知,在计算云关联度的过程中存在随机因素,因此本文在运行100次后得出综合评判值的期望Erx和熵Ern

期望值最能够代表通风系统可靠性等级的评估值;熵是对评估结果离散度的衡量,熵值越大评判结果越分散。定义可信度因子θ为:

(19)

可信度因子θ值越大表示评价结果离散度越大,结果的可信度越小,反之结果的可信度越大。

3 灵敏度分析方法

灵敏度分析是根据矿井通风系统评价结果的优劣对系统进行优化的一种方法。通过灵敏度分析,可以得出每个指标对评价结果的影响程度,从而确定各指标优化的先后顺序,进而根据评价结果对个别指标做出调整,在一定的经济技术条件下得出最好的优化策略。借鉴已有的灵敏度分析思想[13,15],笔者提出了矿井通风系统可靠性评价结果对指标值变化的灵敏度分析方法。

3.1 边际指标值

当指标Ur的数据值xr变化为而其他指标值和权重值不改变时,使得待评价物元的评价等级j的综合关联度和相邻等级l的综合云关联度相等,则称为指标Ur的边际指标值。

根据可拓云评价方法可得在边际指标值下,通风可靠性与等级j和等级l的综合云关联度分别为:

式中:边际指标值在等级j的云关联度;

边际指标值在等级l的云关联度。

由(20)和(21)相等可得到:

(22)

由云关联度计算公式(2)可得到:

将式(23)和式(24)代入式(22)中可求出待评价物元在指标Ur上的边际指标值

3.2 灵敏度分析

根据计算结果,进行通风系统评价结果对各指标基于边际指标值的分析如下所述。

(1)如果边际指标值不在该指标的实际取值范围之内,则该指标为不灵敏指标。即该指标的任意变化均不会改变矿井通风系统可靠性的综合评价等级。

(2)如果边际指标值在该指标的实际取值范围之内,且该指标值xr与边际指标值相距很近,则该指标为灵敏指标。即该指标的微小变化均有可能改变矿井通风系统可靠性的综合评价等级。当指标值xr变为时,使得对应的krjkrl满足则评价结果不变;若则评价结果改变。

根据上述可以得到矿井通风系统可靠性评价等级jl的综合云关联度与指标灵敏度区间如图3所示。

图3 综合云关联度与指标值的灵敏度区间

根据图3可定义灵敏度区间Δr长度为:

(25)

式中Δr越小,xr距离对应的边际指标值越近,表明该指标的灵敏性越高。在实际评估过程中可以设定Δr的阈值,根据阈值的大小对指标进行优先改善。

4 实例应用

为了验证该模型评价结果的准确性,笔者以史秀志等[16]和程刚等[17]8组数据为样本进行实例分析。结合评价指标和实测数据通过改进AHP法计算主观权重,熵权法计算客观权重,基于博弈论原理得出评价指标的组合权重,实测数据和指标权重见表3。

表3 原始数据及其权重

评价指标样本数据12345678指标权重改进AHP法熵权法博弈论组合U1186.7065.1089.9070.4049.6035.8036.1093.200.076 40.032 30.075 8U1299.8097.3096.1098.1094.3091.3089.6071.900.076 40.002 40.075 4U1391.1095.7097.6093.5080.3086.4087.1061.200.076 40.004 70.075 4U1499.4092.4093.4095.8089.4087.2084.6076.200.063 70.001 60.062 8U1519.0021.6032.8015.6042.1038.9047.6052.600.043 00.042 90.043 0U1685.9089.1095.1092.1084.1081.6080.1061.400.055 70.003 90.055 0U2156.0079.0043.0021.0072.0066.0055.0049.000.054 80.173 70.056 5U224.324.865.233.252.581.861.651.240.065 80.398 60.070 5U231.081.021.191.151.491.381.382.090.054 80.014 40.054 3U2499.4097.3096.8098.0086.1090.4089.5064.900.065 80.004 10.064 9U2599.1095.2093.4095.3079.2084.1077.4051.600.047 00.009 00.046 5U2680.0070.0090.0070.0045.0060.0050.0030.000.055 70.154 80.057 1U2725.6024.2026.5025.1027.4029.2020.4031.200.047 00.003 80.046 4U310.960.810.640.511.501.391.291.960.073 70.136 10.074 6U3263.0076.5085.1079.6062.0055.9056.7045.100.088 50.010 70.087 4U331.802.902.802.502.202.902.603.100.055 30.006 90.054 6

结合样本1的实测数据和各指标等级云模型数字特征,通过式(1)可以得到各评价指标云隶属度矩阵Z,再结合权重矩阵W可以分别得到2个样本通风系统可靠性的综合云关联度,对综合云关联度进行加权平均可求得综合评价值Ex。以各指标云隶属度矩阵为基础,依据最大确定度原则可求得熵En和超熵He,从而得到样本1的评价结果数字特征为(1.612 4,0.131 8,0.040 0)。利用正向云发生器可绘制出评价等级云图,实现结果的可视化,如图4所示。其中期望表示隶属云的分布中心,量值大小反应了矿井通风系统的稳定性等级;等级云图的跨度描绘了矿井通风系统稳定性评价等级的模糊性,跨度越大表明评价等级的模糊性越强;云图的厚度刻画了通风系统稳定性评价等级的随机性,厚度越大表明评价等级的随机性越强。

图4 样本1评价结果云图

由图4分析得出,样本1矿井通风系统可靠性为Ⅰ~Ⅱ级,通风状况介于可靠和一般之间。为便于各结果等级可视化对比,分别绘出样本5和样本8的评价结果云图,如图5、图6所示。并得到各样本通风系统可靠性等级。为验证该模型的准确性,将评价结果分别与ANN模型和FDA模型进行对比,结果见表4。并在各样本矿井的实际情况基础上对评价结果进行分析。

图5 样本5评价结果云图

图6 样本8评价结果云图

由表4可知,样本1与其他模型评估结果有所不同,其他样本均与其他模型评估结果相同。分析样本1的实测数据可知指标U11U15U22U26 属于Ⅰ级,指标U16U27U33 属于Ⅱ级,而指标U21属于Ⅲ级,综合各指标的隶属等级情况,采用可拓云模型不仅兼顾了系统信息的不确定性,也实现了对等级标准分级的软化,因此将该样本矿井通风系统可靠性判定为Ⅰ~Ⅱ级之间更加合理。

表4 各样本评价结果

样本ⅠⅡⅢ评价值评价结果可信度因子θ本文模型ANN模型FDN模型10.453 10.537 50.049 81.612 40.024 8Ⅰ~ⅡⅠⅠ20.621 70.320 00.025 61.383 70.028 9ⅠⅠⅠ30.747 70.155 50.060 81.287 40.031 0ⅠⅠⅠ40.638 60.294 80.026 21.361 90.029 3ⅠⅠⅠ50.310 40.458 10.254 61.945 40.020 5ⅡⅡⅡ60.271 10.492 60.196 81.922 60.020 8ⅡⅡⅡ70.237 20.516 70.215 81.978 00.020 2ⅡⅡⅡ80.070 60.151 30.757 32.701 30.014 8ⅢⅢⅢ

样本2~4矿井通风系统的可靠性为Ⅰ级,通风系统状况可靠。这4个样本矿井中反风系统的灵活性较高,防灾设施的质量较好,若发生煤尘燃烧、瓦斯爆炸等灾害时,能够迅速改变风流方向,降低危险程度。另外矿井风量供需合理,既满足各用风地点的风量和风质要求,又没有造成风量过量的浪费。在合理布置采掘巷道的基础上,矿井通风系统较为简单,矿井通风较为容易,通风系统可靠性较好。

样本5~7矿井通风系统的可靠性为Ⅱ级,通风系统状况一般。这3个样本矿井虽然具有通风设施和反风系统的灵活性较高、通风系统的复杂程度较低和矿井风量比较合理等优点,但是通风机运转不稳定,存在一定的安全隐患。在经济因素方面,矿井外部漏风率较高和吨煤通风电耗比较大,导致通风系统状况一般。另外井下工作面和施工巷道的温度较高,工人的工作环境较差。以上综合因素导致这3个矿井的通风系统稳定性为Ⅱ级。

样本8矿井通风系统的可靠性为Ⅲ级,通风系统状况不可靠,可能会在矿井实际生产中引发矿井事故,为此对各指标进行分析。由指标原始数据可以得出:通风机运转稳定性U11、通风设施合格率U14、通风网络复杂程度U15、矿井等积孔U22、用风点风量合格率U24、外部漏风率U33等6项指标值隶属于Ⅰ、Ⅱ级,说明这6项指标对应的矿井通风情况较好。其余10项指标值均属于Ⅲ级,严重影响了矿井通风系统的可靠性。因此根据式(20)~(25)计算,这10项指标的边际指标值和灵敏度区间长度,并进行灵敏度分析,计算结果见表5。

表5 各指标的边际指标值及灵敏度区间长度

指标k rj-k rl边界指标值灵敏度区间长度改善顺序U120.552 198.800.272 31U130.632 099.600.383 53U160.552 199.200.383 12U212.422 3-不灵敏-U230.758 51.020.512 05U251.335 6-不灵敏-U261.454 0-不灵敏-U271.221 4-不灵敏-U310.482 10.510.739 86U320.635 387.600.485 24

由于云关联度的取值在0~1之间,所以的取值应该在-1~1之间,因此指标U21U25U26U27均不存在边际指标值,不属于灵敏指标。而指标U12U13U16U23U31U32属于灵敏指标,以指标U12为例,当U12的指标值由71.9调整为98.8时,综合云关联度与Ⅱ级的综合云关联度相同,如果继续提高指标值可以使通风系统的评价等级由Ⅲ级变为Ⅱ级。

灵敏度区间长度Δr越小,则指标的灵敏度越高,由表5可以看出,指标U12U32的灵敏度区间长度排序为ΔU21 <δ> U 16 <δ> U 13 <δ> U 32 <δ> U 23 <δ> U 31。因此矿井决策人员可以结合矿井的实际情况以这6个指标的灵敏度区间大小排序为依据,对矿井通风系统进行优化。

5 结论

基于博弈论-可拓云模型的矿井通风可靠性评价结果与工程实际相符,并且比传统评价模型更为精准,为矿井通风可靠性评价提供了一种新的可借鉴方法。

(1)矿井通风系统可靠性评价是一种多属性复杂问题,笔者基于博弈论组合优化理论将主观权重与客观权重相结合得到组合权重,既考虑了主观意愿的影响,也兼顾了指标值的客观情况,增强了赋权结果的合理性。

(2)针对目前矿井通风可靠性评价指标分级和评价过程存在随机性、模糊性和信息不相容性等问题,将云模型的不确定推理特征融入可拓学物元理论中,构建了基于可拓云的矿井通风可靠性综合评价模型,提高了评价结果的准确性。

(3)将基于指标值的灵敏度分析方法引入到矿井通风系统可靠性评价领域,根据评价结果,分析矿井通风系统综合评价等级对各指标值变化的灵敏程度,分别得到了各指标的灵敏度变化区间,决策者可根据区间大小为参考依据对矿井通风系统进行优化。

参考文献:

[1] 吴立云,杨玉中,张强.矿井通风系统评价的TOPSIS方法[J].煤炭学报,2007,32(4):407-410.

[2] 王洪德,马云东.基于故障统计模型的可修通风系统可靠性指标体系研究[J].煤炭学报,2003,28(6):617-621.

[3] 周福宝,王德明,李正军.矿井通风系统优化评判的模糊优选分析法[J].中国矿业大学学报,2002(3):49-53.

[4] 李树刚,马超,王国旗.基于未确知测度理论的矿井通风安全评价[J].北京科技大学学报,2006(2):101-103.

[5] 程磊,杨运良,熊亚选.基于人工神经网络的矿井通风系统评价研究[J].中国安全科学学报,2005(5):88-91.

[6] 程健维,杨胜强.基于灰色聚类分析-模糊综合评价的矿井通风系统综合评价[J].矿业安全与环保,2009,36(1):26-28.

[7] 陈开岩,王超.矿井通风系统可靠性变权综合评价的研究[J].采矿与安全工程学报,2007(1):37-41.

[8] 王克,李贤功.基于可拓和组合赋权的矿井通风系统优化评价[J].数学的实践与认识,2017,47(11):150-156.

[9] 李德毅,杜鹢.不确定性人工智能[M].北京:国防工业出版社,2005.

[10] 李如琦,苏浩益.基于可拓云理论的电能质量综合评估模型[J].电力系统自动化,2012,36(1):66-70.

[11] 薛黎明,龚爽,崔超群,等.主客观权重相结合的湖南省矿产资源竞争力综合评价[J].中国矿业,2015, 24(9): 44- 49.

[12] 杨力,刘程程,宋利,等.基于熵权法的煤矿应急救援能力评价[J].中国软科学,2013(11): 185-192.

[13] 石宝峰,修宇鹏,王静. 基于博弈论组合赋权的地市绿色产业评价[J]. 技术经济,2017,36(2):75-84.

[14] 林振智,文福拴,薛禹胜.黑启动决策中指标值和指标权重的灵敏度分析[J].电力系统自动化,2009,33(9):20-25.

[15] 陈钊. 基于灵敏度的通风系统稳定性分析[J]. 中国煤炭,2007,33(11):46-47.

[16] 史秀志,周健.用Fisher判别法评价矿井通风系统安全可靠性[J].采矿与安全工程学报,2010,27(4):562-567.

[17] 程刚,陆卫东,陈志峰,等.基于FAHP-MODM的矿井通风系统可靠性综合评价[J].中国安全生产科学技术,2018,14(2):99-105.

Reliability evaluation and sensitivity analysis of mine ventilation system based on extension cloud model

WANG Haojie1,2, ZHENG Kaige1, WANG Zeyang1, XUE Liming2

(1. CCTEG Xi'an Research Institute, Xi'an, Shaanxi 710054, China;2. School of Energy and Mining Engineering, China University of Mining and Technology-Beijing, Haidian, Beijing 100083, China)

Abstract In view of the fuzziness and randomness problems of grade division boundary information in the reliability comprehensive evaluation of mine ventilation, combined with the characteristics of quantitative and qualitative analysis of extension cloud theory and the double uncertainties advantages of cloud model dealing, a comprehensive reliability evaluation model for mine ventilation based on the extension cloud model is proposed. The theory and evaluation model of extension cloud are briefly introduced and studied, the relevant index system is established, and its index data is standardized, and the weight of the evaluation index is determined by the subjective and objective comprehensive weighting method, and the evaluation grade is then obtained. According to the evaluation results, sensitivity analysis method of index value is introduced and the optimization order of each evaluation index is provided for decision-makers by calculating the sensitivity interval size of each index. Finally, sample data of eight mines is selected for example verification, and the evaluation results are consistent with the evaluation results of ANN model and FDA model, which verifies the accuracy and effectiveness of the model.

Keywords mine ventilation system; reliability evaluation; extension cloud theory; extension cloud evaluation model; sensitivity analysis

中图分类号 TD72

文献标志码 A

移动扫码阅读

引用格式:王豪杰,郑凯歌,王泽阳,等.基于可拓云模型的矿井通风系统可靠性评价及灵敏度分析[J]. 中国煤炭, 2022, 48(9): 57-65.DOI:10.19880/j.cnki.ccm.2022.09.009

WANG Haojie , ZHENG Kaige , WANG Zeyang,et al.Reliability evaluation and sensitivity analysis of mine ventilation system based on extension cloud model[J]. China Coal, 2022, 48(9): 57-65.DOI:10.19880/j.cnki.ccm.2022.09.009

作者简介:王豪杰(1995-),男,陕西渭南人,主要从事矿山动力灾害防治工作。E-mail:13011882619@163.com

(责任编辑 张艳华)

(责任编辑:admin)