新煤网移动版

主页 > 技术资料 > 科技论文

采空区大面积悬顶危险性预警模型研究 ——以陕西省榆林市榆阳区二墩煤矿为例

采空区大面积悬顶危险性预警模型研究
——以陕西省榆林市榆阳区二墩煤矿为例

吴颖龙1,2,揣筱升1,杜海龙3

(1. 中国矿业大学(北京) 应急管理与安全工程学院,北京市海淀区,100083;2. 陕西省榆林市榆阳区能源局,陕西省榆林市,719000;3. 陕西省榆林市榆阳区二墩煤矿,陕西省榆林市,71900)

摘 要 针对煤矿采空区大面积悬顶危险性难预警的问题,在对现场采空区大面积悬顶灾害资料统计分析的基础上,分析了岩体结构等静态地质因素和回采技术等动态开采因素对陕西省榆林市榆阳区二墩煤矿采空区大面积悬顶灾害的影响,构建了包含岩体结构、煤体强度等10个静态指标和动态指标相结合的预警指标体系,运用层次分析法确定了顶板位移量、采动应力、岩体结构、深厚比和锚索锚杆应力5个预警敏感指标;利用模糊综合评价法确定事故的因素集、分级集和隶属函数,建立了采空区大面积悬顶灾害AHP-FUZZY综合预警模型。选取8组预警样本对该模型进行应用检验,预警结果与实际相符,为预防煤矿采空区大面积悬顶灾害提供了技术支撑。

关键词 大面积悬顶;静态地质因素;动态开采因素;层次分析法;模糊综合评价法;AHP-FUZZY综合预警模型;二墩煤矿

陕西省榆林市榆阳区煤矿开采初期多采用房柱式和条带式开采技术,在井下形成了大面积空顶区,其范围高达几百平方公里,由于长期的覆岩活动作用,煤柱失稳而诱发的矿震、塌陷、火灾等矿井灾害严重威胁着矿井安全生产,破坏了生态环境。采空区大面积悬顶危险性评价和预警是各类灾害预防与治理的前提和关键。因此,开展采空区大面积悬顶灾害预警研究十分必要。目前综合指数法[1]、证据融合理论[2]、模糊聚类法[3-4]、神经网络分析法[5-6]、模糊评判法[7-8]、未确知测度理论[9]和量纲分析法[10]等方法在采空区顶板危险性预测与评价中得到了广泛应用。对比采空区顶板危险性预测预警方法,采用单指标进行预警不能全面反映顶板事故的影响因素,采用单一数学方法进行预警不能反映指标间的耦合作用关系。因此,笔者采用层次分析-模糊综合评判法(AHP-FUZZY)[11]对煤矿采空区大面积悬顶危险性进行预警综合分析。通过深入分析二墩煤矿采空区大面积悬顶灾害的影响因素,选取能够全面反映采空区顶板危险程度的预警指标,运用层次分析法确定科学的预警指标体系,结合模糊综合评判法建立采空区大面积悬顶危险性预警模型,并于二墩煤矿选取试验区对预警模型进行应用检验,以期为煤矿安全生产提供指导。

1 矿井地质概况

1.1 地质概况

二墩煤矿总体为NW~NWW向微倾的单斜构造,倾角小于1°,区内未发现大型断层或褶皱,构造简单。矿井可采煤层2层,分别为3号、3-1号煤层,目前仅回采3号煤层。3号煤层厚8.43~8.85 m,煤层埋深163~236 m,平均埋深180 m,该煤层为结构简单、全区可采的稳定型特厚煤层。煤层顶板主要以泥岩、粉砂岩为主,基本顶为砂岩,属于中等冒落顶板。直接顶中的泥岩和粉砂岩组抗压强度29.6 MPa、抗拉强度1.8 MPa、抗剪强度29.8 MPa,属于力学性质差的软弱岩层;基本顶中的砂岩组抗压强度52.1 MPa、抗拉强度2.7 MPa、抗剪强度25.6 MPa,属于力学性质强的坚硬岩石。矿井受采掘破坏或影响的含水层主要为侏罗系延安组碎屑岩类裂隙含水层,补给条件差、来源少,属弱富水性含水层。矿井自有掘进活动以来,未发生突水情况,水文地质类型划分为中等型。

1.2 矿井开采概况

二墩煤矿井田面积6.090 2 km2,主采3号煤层,1997-2009年采用“采14 m留8 m”房柱式采煤方法,形成采空区面积0.484 7 km2,分布于工业广场西侧和东侧。2009-2017年采用“采12 m留8 m”条带式采煤方法,条带之间每40 m设一条联络巷,联络巷断面尺寸为3.5 m×3.5 m,工作面内每隔100 m留20 m的区域保安煤柱,工作面运输巷保留完好,采空条带与运输巷之间留设8 m巷道保安煤柱,形成采空区面积2.409 0 km2,分布于矿井中南及东南部。2017年至今采用“采10 m留15 m”条带式采煤方法,采空区面积0.044 6 km2,主要分布于矿井东北部,如图1所示。

图1 二墩煤矿采空区分布

二墩煤矿顶板主要由留设煤柱支撑,目前煤矿未发生冒顶事故,但采空区大面积悬顶诱发的矿震和塌陷严重威胁矿井安全生产。截至目前,该矿共发生3次采空区塌陷事故,具体事故时间及塌陷情况见表1。由表1可知,采空区塌陷引起的矿震震级通常在2.4~2.5级,塌陷面积12 500~130 300 m2,塌陷区形状为圆形或椭圆形。

表1 二墩煤矿采空区塌陷事故

时间震级塌陷面积/m22015年1月4日2.586 7102013年10月9日2.512 5002009年10月9日2.4130 300

2 采空区大面积悬顶灾害影响因素分析

深入分析采空区大面积悬顶灾害影响因素对科学选取预警指标意义重大。

2.1 静态地质因素

(1)岩体结构。主要由结构面和结构体组成,决定了岩石内在性质和物理特性。岩体结构完整、围岩稳固,采空区则比较稳定;如果岩体结构比较复杂,稳定性就较差。二墩煤矿顶板以泥岩、粉砂岩和砂岩为主,抗剪强度和抗压强度大,属Ⅱ类中等冒落顶板,目前该矿未发生过冒顶事故。

(2)地质构造。在地质环境复杂的地区进行开采施工,形成的采空区稳定性较差[12-13]。二墩煤矿构造简单,未发现大规模断裂及褶皱,生产过程中未揭露井下小型断裂与褶曲构造,无岩浆岩侵入,但遇断层,应加强地质观测。

(3)煤岩层倾角。要注意控制倾角大小,倾角大,顶板不容易出现破坏,倾角小则易发生冒落。二墩煤矿煤层倾角平缓,倾角类型为简单,对矿井安全生产无影响。

(4)煤柱抗压强度。抗压强度越大煤柱支撑力越强,顶板危险性越低。二墩煤矿煤柱抗压强度7.43~9.98 MPa,平均抗压强度8.28 MPa,目前“采14 m留8 m”房柱式采空区煤柱和“采12 m留8 m”条带式采空区煤柱属于不稳定等级,“采10 m留15 m”条带式采空区煤柱属于稳定等级。

(5)顶板厚度。顶板越厚,越不容易被断岩破坏。二墩煤矿3号煤层顶板厚度20~30 m,不易垮断。

(6)开采深度。开采越深矿井地应力越大,越容易发生危险。二墩煤矿开采深度146~248 m,最大主应力分布于3.94~6.70 MPa,地应力较小。

(7)水文条件。岩石是由颗粒或晶体粘结形成的结合体,地下水对岩石的作用会导致岩体发生微观结构变化,降低岩体强度。二墩煤矿煤层主要为侏罗系延安组碎屑岩类裂隙含水层,补给来源少,属弱富水性,涌水量小,目前共圈划了13个积水线,井下基本无较大积水情况,仅以顶板淋水为主,对矿井生产影响不大。

2.2 动态开采因素

(1)包括回采几何尺寸(采空区面积、采空区体积、煤柱宽高比等)和回采技术(回采工艺、顶板处理方式与垮落情况等)。二墩煤矿主要采用房柱式和条带式采煤方法,导致大面积悬顶形成。通常采空区形成的暴露面积越大,其稳定性就会越差。“采14 m留8 m”房柱式采煤方法形成的采空区面积0.484 7 km2,煤柱宽高比为1.14;“采12 m留8 m”条带式采煤方法形成的采空区面积2.409 0 km2,煤柱宽高比为1.14;“采10 m 留15 m”条带式采煤方法形成的采空区面积0.044 6 km2,煤柱宽高比为2.14。

(2)重复采动程度,主要指重复采动次数。上下及周围煤层开采情况以及是否发生过采空区顶板失稳现象都对其有重要影响。二墩煤矿主要采用跳采方式回采,不存在上下及周围煤层开采影响,2009年、2013年和2015年分别在4301和4303工作面、矿井西南角以及变电所北部发生过采空区塌陷事故,上述3个位置对邻近采空区大面积悬顶有一定影响。

3 采空区大面积悬顶灾害预警指标及模型研究

3.1 采空区大面积悬顶灾害预警指标体系构建

通过分析可知,采空区大面积悬顶灾害影响因素主要包括自然因素和开采技术因素。在选取预警指标时,应考虑全面性、客观性、可测性、灵敏性、可比性和科学性等原则[8]。根据井下调研结果,主要从静态和动态两方面确定指标。静态预警指标包括岩体结构、煤体强度、埋深、面积采出率和深厚比;动态预警指标包括顶板位移量、采动应力、锚索锚杆应力、地表沉降量和采空区暴露时间。进而构建采空区大面积悬顶灾害预警指标体系,如图2所示。

图2 煤矿采空区大面积悬顶灾害预警指标体系

3.2 采空区大面积悬顶灾害预警敏感指标确定

3.2.1 层次分析法

运用层次分析法[14]分析预警指标间的耦合关系并计算预警指标权重比例,结合现场实际情况确定预警敏感指标。层次分析法计算过程如下。

(1)建立层次结构模型。对研究目标进行系统分析,确定研究目标评价指标。找出决定每个评价指标的次一级评价指标,由此形成了从上到下的梯阶层次支配关系。

(2)构建判断矩阵。层次结构模型建立后,采用1~9及其倒数标度法[14],获得两两因素相比较的结果并构成判断矩阵。判断矩阵B表示如下:

(1)

式中:bij——BiBj相比较的结果;

Bi——横列第i个评价指标;

Bj——纵列第j个评价指标。

(3)单因素排序及一致性检验。计算判断矩阵每一行元素乘积的n次方根,并对进行归一化处理:

(2)

式中:判断矩阵第i行元素乘积的n次方根;

n——判断矩阵阶数。

通过对式(2)进行归一化处理得到特征向量W,然后计算判断矩阵的最大特征值λmax

(3)

式中:W——特征向量;

Wi——特征向量中的第i个元素。

最后对λmax进行一致性检验,得到一致性比率CR

式中:CR——一致性比率;

CI——一致性指标;

RI——随机指标。

(4)总因素排序及一致性检验。假设第k层组合权重Wk由本层n个指标的相对权重Rk与上一层m个指标的组合权重Wk-1的乘积求得,其表达式如下:

Wk=RkWk-1

(6)

式中:Wk-1——第k-1层指标对总目标的组合权重;

Rk——第kn个指标的相对权重。

对总排序结果进行一致性检验,综合性比率:

(7)

式中:CRk——第k层综合性比率;

CIk——第k层一致性指标;

RIk——第k层随机指标;

k层第j个元素的一致性指标;

k层第j个元素随机指标。

3.2.2 预警敏感指标及临界值确定

将煤矿采空区大面积悬顶灾害A作为目标层,选取静态预警指标B1和动态预警指标B2为准则层,岩体结构C1、煤体强度C2、埋深C3、面积采出率C4、深厚比C5、顶板位移量C6、采动应力C7、锚索锚杆应力C8、地表沉降量C9和采空区暴露时间C10为指标层。进而根据构建的采空区大面积悬顶灾害层次结构,结合各预警指标权重及一致性检验结果,求得各预警指标对采空区大面积悬顶灾害的权重比例。构建准则层和指标层判断矩阵见表2~4。

(1)求解判断矩阵A-BB1-CB2-C的各指标权重,以B1-C为例:

计算判断矩阵每一行元素乘积的n次方根,从而得到矩阵并对其进行归一化处理得到特征向量:

(8)

计算判断矩阵的最大特征值λmax为5.058 6,并对λmax进行一致性检验,CR=0.013 2<0.1,表明判断矩阵B1-C的层次排序结果满足一致性检验要求。

(2)通过对各判断矩阵进行求解,获得层次单排序结果见表5。一致性检验结果显示CR值均小于0.1,表明层次单排序结果均满足要求。

表5 层次单排序结果

矩阵权重向量WλmaxCRA-B[0.4444 0.5556]T2.000B1-C[0.391 3 0.097 3 0.167 7 0.064 2 0.279 5]T5.060.0132B2-C[0.396 5 0.339 9 0.136 4 0.056 6 0.070 6]T5.150.0377

(3)总因素排序及一致性检验。通过式(6)计算获得指标层对目标层的综合权重,同理可得其他指标对采空区大面积悬顶灾害的综合权重,见表6。

表6 层次总排序结果

B-C排序A-B排序B1B20.444 40.555 6层次总排序权重总排序CRC10.391 300.173 93C20.097 300.043 27C30.167 700.074 56C40.064 200.028 510C50.279 500.124 24C600.396 50.220 31C700.339 90.188 82C800.136 40.075 850.024 7接收C90 0.056 60.031 49C100 0.070 60.039 28

对总层次排序结果进行一致性检验:CR=0.024 7<0.1,表明层次总排序结果满足要求,确定的采空区大面积悬顶灾害各预警指标权重设置合理。通过上述计算可知,10个预警指标中,顶板位移量、采动应力、岩体结构、深厚比和锚索锚杆应力的敏感性较高,其敏感性大小依次为0.220 3、0.188 8、0.173 9、0.124 2、0.075 8。结合现场实际情况,考虑预警指标采集的可操作性及预警准确性,确定上述5个指标为预警敏感指标。

敏感指标临界值的确定是采空区顶板危险性预警的重要内容。通常采空区顶板的危险状态是一个持续变化过程,此过程中存在临界点,该点两侧代表不同的风险状态,当超过这些临界值时采空区顶板的危险状态发生了重大转变,据此可判断出采空区顶板的危险程度。目前预警指标临界值的确定方法[12]主要包括系统化法、专家确定法、突变论法和控制图法等,常用方法为系统化法和专家确定法。

根据《煤矿安全手册》和二墩煤矿采空区大面积悬顶灾害防治经验,由单因素评价准则,将采空区大面积悬顶危险性划分为无危险、中等危险和危险,并确定各预警指标的分级准则。根据实际操作规程与预警对象的特点,结合二墩煤矿历史数据和专家意见[1-6,8-10],从科学性角度出发,确定了采空区大面积悬顶灾害各预警指标及临界值。其中岩体结构为定性指标,通常当顶板岩层为完整块状结构时,采空区顶板危险程度较低;顶板岩层为层状结构时,采空区顶板危险程度中等;顶板岩层为碎裂结构或松散结构时,危险程度较高[9],根据标准化原则对该指标进行处理并汇总于表7。

表7 采空区大面积悬顶灾害预警指标及临界值

危险等级及判据顶板位移量/mm采动应力/MPa岩体结构深厚比锚杆锚索应力/kN无危险<100<6[0,0.5)>60<100中等危险(100,200](6,8][0.5,1.0)(30,60](100,150]危险≥200≥81.0<30≥150

3.3 采空区大面积悬顶灾害预警模型建立

3.3.1 层次分析-模糊综合评判法

首先,确定因素集和预测集[15]。通过实际所需进行相应因素集和预测集的确定,以便对各指标定性。即选取U为因素集,V为预测集。

然后,确定模糊关系矩阵。模糊关系矩阵R为因素集U到预测集V的一种模糊关系,即影响因素与预测对象之间的“合理关系”。R可以表示为:

(9)

式中:R——模糊关系矩阵;

rij——uivi之间隶属“合理关系”的程度;

rnm——第n个因素对预测对象作出第m种预测的可能程度。

最后,进行综合预测。根据关系矩阵R和各预警指标权重W,即可做出综合性预测。根据矩阵符合运算,由R确定一个变化,任意给出U上一个模糊子集,便可确定V上的模糊子集A。其表达式为:

A=W·R

(10)

式中:A——评价预测集;

W——权重集;

R——模糊评判矩阵。

求出综合评价结果A=[A1A2,…,An],An为第n级评判等级的隶属度,评判集A中最大隶属度Ai所在的位置即对应目标的最终评判等级。

3.3.2 采空区大面积悬顶灾害预警模型

采用AHP-FUZZY法对采空区大面积悬顶灾害进行预警,预警模型建立过程如下所述。

(1)确定因素集及危险性分级集。因素集U指对采空区大面积悬顶灾害影响因素形成的集合,即该因素集由顶板位移量u1、采动应力u2、岩体结构u3、深厚比u4和锚杆锚索应力u5组成。采空区大面积悬顶灾害分级判断集A={无危险,中等危险,危险},判断集中各指标表示发生采空区大面积悬顶灾害的可能性。

(2)确定指标权重。利用层次分析法确定预警指标权重。预警指标的判断矩阵B

(11)

其中,特征向量和最大特征根λmax为5.0198,一致性指标CR=0.004 5<0.1,通过一致性检验。因此,各指标权重:顶板位移量0.334 8、采动应力0.267 8、岩体结构0.185 2、深厚比0.145 2和锚索锚杆应力0.067 0。

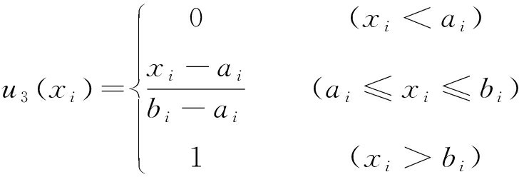
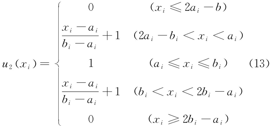
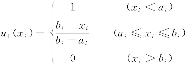
(3)建立隶属函数。通过对预警指标进行统计分析,根据其分布特征,选取对采空区大面积悬顶灾害等级划分的隶属函数为k次抛物线型,隶属函数为半阶梯分布函数[15],取阶次k=1。标准方程为:

(12)

(14)

式中:xi——第i个预警指标;

un(xi)——第i个预警指标对第n级采空区大面积悬顶灾害发生可能的隶属度;

ai bi——第i个预警指标不同危险等级的临界值,具体见表7。

将表7中的指标临界值代入式(12)~(14)中,得到3个隶属函数方程。第一个预警指标的隶属函数方程如下,同理可得其他。

(4)构建预警模型。将模糊关系矩阵R与综合权重矩阵W按加权平均算法合成,得到综合评价集A,根据最大隶属度原则,即可对采空区大面积悬顶灾害发生的可能性进行综合预警。

(18)

式中:A——采空区大面积悬顶危险性综合预警集;

W——预警指标综合权重集;

R——预警指标4行3列的模糊关系矩阵。

进而建立了基于AHP-FUZZY的采空区大面积悬顶灾害预警模型。

4 采空区大面积悬顶灾害预警模型应用

4.1 采空区大面积悬顶灾害预警模型现场应用

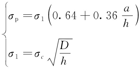
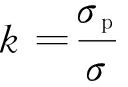
选取二墩煤矿二盘区4305、4307、4309、3103和3105共5个工作面的采空区作为试验区进行应用检验(如图1所示)。该区域均为“采12 m留8 m”的条带式采空区,埋深190 m,采高7 m,采深与采厚比27,面积采出率60%,煤柱宽高比1.14,其中煤柱安全系数可进行如下求解。煤柱破坏的极限强度理论[16]认为,煤柱安全系数k判据如下:

(19)

式中:k——煤柱安全系数;

σp——煤柱极限抗压强度,MPa;

σ——煤柱内部应力,MPa。

根据分载面积法,回采区上方岩体自重全部转移到煤柱上方,煤柱内部的平均应力可按式(20)计算:

(20)

式中:γ——上覆岩体平均容重,MN/m3

H——开采深度,m;

ab——煤柱宽度和条带宽度,m。

煤柱抗压强度可根据Bieniawski提出的线性煤柱强度计算公式:

(21)

式中:σ1——临界立方体试样抗压强度,MPa;

h——煤柱高度,m;

σc——实验室煤的单轴抗压强度,MPa;

D——实验室试块尺寸,m。

式(21)中,当为圆柱体时D取0.05 m,当煤柱高度大于0.9 m时,一般取0.9 m,煤柱的极限抗压强度为7.44 MPa。通过式(19)计算可知,煤柱内部应力为11.88 MPa,进而得到煤柱的安全系数为0.63,判定区域采空区顶板危险性较高。目前二墩煤矿主要采用单一指标法对采空区大面积悬顶危险性进行预警,即在与采空区相邻的东回风大巷、南运输大巷、东辅助运输大巷和北回风大巷间隔100 m设置一组测站,每组测站安装1台围岩移动传感器、2两台钻孔应力计和1组锚杆锚索应力计,依据各预警指标的变化情况判断采空区顶板危险性。

通过现场编录,共采集了8组有代表性的采空区大面积悬顶灾害预警指标数据,见表8。利用此8组指标数据对预警模型进行应用检验。将数据代入到AHP-FUZZY模型进行预警,由于篇幅有限,下面以测点Z1为例进行分析。

利用测点Z1指标数据计算隶属度矩阵R

(22)

结合预警指标权重计算综合评价集A

(23)

对综合评价集A进行归一化处理得到根据最大隶属度原则可知测点Z1的预警结果为无危险。同理可得Z2~Z8测点的预警结果。

4.2 采空区大面积悬顶灾害预警效果分析

将预警结果和实际情况汇总于表8,并绘制预警结果对比曲线,如图3所示。通过分析可知,AHP-FUZZY模型预警结果与实际情况基本吻合。仅测点Z8预警结果存在偏差,但从单指标预警角度看,顶板变形量达100 mm,采动应力达6.2 MPa,该测点及所在区域存在采空区大面积悬顶灾害安全隐患,而预警为中等危险程度的Z3测点在实际中出现了顶板变形和地表小范围塌陷现象。目前矿方已对上述2个测点所在区域采取了挂钢带和钢槽、补打锚索和锚杆等一系列措施,并在4307和3103工作面运输巷和回风巷加设防爆密闭墙。4307工作面防爆密封墙按混凝土墙体厚度2.2 m 进行构建;3103工作面防爆密封墙按混凝土墙体厚度1.1 m进行构建,用锚杆代替掏槽。同时加大了对上述区域顶板位移量、采动应力等预警指标的监测力度。

表8 二墩煤矿采空区大面积悬顶灾害预警指标及结果

测点位置预警指标顶板位移量/mm采动应力/MPa岩体结构深厚比锚索锚杆应力/kNZ1Z24305采空区93.20.5271073.20.5279Z3Z44307采空区1506.20.5275083.60.5279Z5Z64309采空区153.00.527855.20.5278Z73101采空区103.10.5279Z83103采空区1006.20.527100测点位置预警等级无危险中等危险危险预警结果实际结果Z1Z24305采空区0.635 10.257 10.107 9无危险正常0.638 20.253 30.108 4无危险正常Z3Z44307采空区0.344 30.478 80.176 9 中等危险顶板变形,地表小范围下陷0.636 60.255 20.108 1无危险正常Z5Z64309采空区0.625 70.268 00.106 3无危险正常0.572 40.330 30.097 2无危险正常Z73101采空区0.633 50.258 90.107 6无危险正常Z83103采空区0.417 00.496 30.086 6中等危险正常

图3 二墩煤矿采空区大面积悬顶灾害预警曲线

4.3 采空区大面积悬顶灾害预警模型适用性分析

该预警模型主要适用于榆阳矿区具有相似地质条件和开采条件的矿井,适用条件主要包括:房柱式和条带式开采形成的采空区;构造简单,无大规模断裂及褶皱发育矿井;煤层埋深较小,地应力影响较小矿井;水文地质类型属于简单或中等,涌水量小,水害对回采无影响矿井;不受上下及周围煤层开采扰动影响矿井。目前该预警模型正在二墩煤矿应用,下一步可重点推广到三台界、永乐、常乐堡、上河、白鹭、榆卜界、常兴、常家梁、薛庙滩等煤矿。

5 结论

(1)二墩煤矿采空区大面积悬顶灾害主要影响因素包括岩体结构、地质构造、煤岩层倾角、煤柱抗压强度、顶板厚度、开采深度和水文地质条件等静态地质因素,以及回采几何尺寸、回采技术和重复采动程度等动态开采因素。

(2)通过分析采空区大面积悬顶灾害影响因素,综合运用层次分析法和模糊数学法,选取了顶板位移量、采动应力、岩体结构、深厚比和锚索锚杆应力5个预警敏感指标,确定了事故的因素集、分级集和隶属函数,构建了AHP-FUZZY综合预警模型。

(3)现场应用结果表明,采空区大面积悬顶灾害综合预警模型具有准确性和适用性,可为二墩煤矿安全生产提供指导。该模型可推广至榆阳矿区具有与二墩煤矿相似地质条件和开采条件的其他矿井,具有较高的实用价值。

参考文献:

[1] 李文. 房采采空区失稳危险性评价[J]. 中国安全科学学报, 2011, 21(3): 95-100.

[2] 贾瑞生, 孙红梅, 闫相宏.基于证据融合理论的煤矿顶板安全评价模型[J]. 煤炭学报, 2010, 35(9): 1496-1500.

[3] 郭松, 郭广礼, 李怀展, 等.基于降维模糊C均值聚类算法的采动场地稳定性评价[J]. 煤炭科学技术, 2020, 48(10): 137-142.

[4] ZHAO B, ZHAO Y Q, WANG J M. New stability forecasting model for goaf slope based on the AHP-TOPSIS theory[J]. Arabian Journal of Geosciences, 2021, 14(1): 1-12.

[5] ZHANG X, NGUYEN H, BUI X N, et al. Evaluating and predicting the stability of roadways in tunnelling and underground space using artificial neural network-based particle swarm optimization [J]. Tunnelling and Underground Space Technology, 2020, 103: 103517.

[6] 来兴平, 张立杰, 蔡美峰. 神经网络在大尺度采空区损伤演化统计与预测中应用[J]. 北京科技大学学报, 2003, 25(4): 300-303.

[7] 孙向成, 张友谊. 首山一矿己组煤层地质构造复杂程度研究[J].中国煤炭, 2019, 45(6): 102-107.

[8] 韩科明. 模糊综合评判法在采煤沉陷区地基稳定性评价中的应用[J].中国煤炭, 2015, 41(5): 36-41.

[9] 宫凤强,李夕兵,董陇军,等.基于未确知测度理论的采空区危险性评价研究[J].岩石力学与工程学报, 2008, 27(2): 323-330.

[10] 姚囝,叶义成,王其虎,等.基于量纲分析的缓倾斜空区顶板稳定性的影响规律研究[J].岩土力学, 2018, 39(11): 4232-4241.

[11] 张小东,张硕,孙庆宇,等.基于AHP和模糊数学评价地质构造对煤层气产能的影响[J].煤炭学报, 2017, 42 (9): 2385-2392.

[12] 黄昌富,田书广,吴顺川,等.基于突变理论和广义H-B强度准则的采空区顶板稳定性分析[J].煤炭学报, 2016, 41(S2): 330-337.

[13] 郭德勇, 周心权, 韩习运.煤层顶板稳定性预测构造解析法研究与应用[J].煤炭学报, 2002, 27 (6): 586-590.

[14] LIU Y, ECKERT C M, EARL C. A review of fuzzy AHP methods for decision-making with subjective judgements[J]. Expert Systems with Applications, 2020, 161: 113738.

[15] 焦建康, 张镇, 颜立新,等.中小型煤矿巷道围岩稳定性定量化评价及分级支护技术[J].采矿与安全工程学报, 2022, 39(3): 598-606.

[16] 石祥超, 孟英峰, 李皋.几种岩石强度准则的对比分析[J].岩土力学, 2011, 32(S1): 209-216.

Study on forewarning model for large-area suspended roof risk in goaf—Taking Erdun Coal Mine of Yuyang district, Yulin city, Shaanxi province as an example

WU Yinglong1,2, CHUAI Xiaosheng1, DU Hailong3

(1. School of Emergency Management and Safety Engineering, China University of Mining and Technology-Beijing, Haidian, Beijing 100083, China;2.Energy Bureau of Yuyang District, Yulin City, Yulin, Shaanxi 719000, China;3.Erdun Coal Mine of Yuyang District, Yulin City, Yulin, Shaanxi 719000, China)

Abstract Aiming at the problem that it is difficult to forewarn the danger of large-area suspended roof in coal mine goaf, the influence of static geological factors such as rock mass structure and dynamic mining factors such as mining technology on large-area suspended roof disaster in the goaf of Erdun Coal Mine in Yuyang district, Yulin city, Shaanxi province is analyzed based on the statistics and analysis of field data of large-area suspended roof disaster in the goaf, and an forewarning index system including ten static and dynamic indexes such as rock mass structure and coal strength is constructed. Based on analytic hierarchy process method, five forewarning sensitive indexes are established including roof displacement, mining stress, rock mass structure, ratio of depth and thickness and anchor bolt stress. Based on fuzzy comprehensive evaluation method, the factor set, grading set and membership function of accidents are determined, and the AHP-FUZZY comprehensive forewarning model is established for predicting the large-area suspended roof disaster. Taking eight sets of forewarning samples to test the forewarning model, the forewarning results are in accord with actual situation, which provides technical support for large-area suspended roof disasters in coal mine goaf.

Key words large-area suspended roof; static geological factor; dynamic mining factor; analytic hierarchy process; fuzzy comprehensive evaluation method; AHP-FUZZY comprehensive forewarning model; Erdun Coal Mine

中图分类号 TD327

文献标志码 A

移动扫码阅读

引用格式:吴颖龙, 揣筱升, 杜海龙.采空区大面积悬顶危险性预警模型研究——以陕西榆林市榆阳区二墩煤矿为例[J]. 中国煤炭, 2022, 48(7): 79-87. doi:10.19880/j.cnki.ccm.2022.07.013

Wu Yinglong , Chuai Xiaosheng , Du Hailong. Study on forewarning model for large-area suspended roof risk in goaf —Taking Erdun Coal Mine of Yuyang district, Yulin city, Shaanxi province as an example[J]. China Coal, 2022, 48(7): 79-87. doi:10.19880/j.cnki.ccm.2022.07.013

基金项目:国家自然科学基金重点资助项目(41430640)

作者简介:吴颖龙(1988-),男,陕西榆林人,工程师,硕士,主要从事煤矿顶板灾害防治研究。E-mail: 857379049@qq.com

(责任编辑 张艳华)

(责任编辑:admin)