新煤网移动版

主页 > 技术资料 > 科技论文

煤炭地下气化煤系地层含水性识别及含水量预测测井评价方法

★ 生产开发 ★

煤炭地下气化煤系地层含水性识别及含水量预测测井评价方法

郝丽萍,郭祥光,马建坡,王 伟,吴存艳,尚 勇,胡 博

(中国石油集团测井有限公司天津分公司,天津市滨海新区,300280)

摘 要 准确判别气化目标煤系地层含水性和预测其含水量对煤炭地下气化工程成功与否具有重要作用。通过实验室煤芯及顶底板岩样岩石物理实验,分析了气化目标煤岩及顶底板岩石孔隙结构,利用实验室煤芯等温吸附实验和含气量测试结果综合判定,实验区煤岩煤层气处于吸附状态,且煤储层孔隙都被地层水填充;通过容积法计算煤岩含水体积并预测煤岩含水量,根据补偿中子测井测量原理,通过体积模型计算储层可动水体积,并判断实验区煤岩底板含水性;利用实验室岩芯实验确定岩电参数,准确求取底板岩层含水饱和度,利用容积法计算储层含水体积,从而预测煤岩底板含水量;通过测井方法判别气化目标煤系地层含水性和预测其含水量,为煤炭地下气化工程提供测井技术支撑。

关键词 煤炭地下气化;煤系地层;顶底板储层;测井方法;含水量预测

0 引言

当前,以绿色低碳为方向的新一轮能源革命正在全球蓬勃兴起,煤炭地下气化作为一种煤炭原位清洁转化技术,变物理采煤为化学采煤,具有安全性高、环境友好、高效等特点[1-3]。煤炭地下气化(Underground Coal Gasification,UCG)是指通过一定的工艺技术,在原位条件下,将地层中的煤炭进行有控制的燃烧,使其在热作用及化学作用下产生可燃烧气体(包括CH4、H2、CO等)的过程[4-7]。煤炭地下气化是一门融多学科为一体的综合性能源生产技术,涉及到地质学、水文学、钻井技术、点火燃烧控制技术、产品气加工利用技术、生态环境保护技术等一系列技术[8],其实现商业化应用需要不同学科协同合作,测井作为地球物理探测技术之一可以为煤炭地下气化工程提供一定的技术支撑。从国内外煤炭地下气化实验项目还没有取得规模产业化发展的原因分析可见,地质选区过程中论证不充分为主要原因之一,如因地层水大量涌入气化腔导致实验停止等;另外,煤炭地下气化过程中,当涌水量增加到一定量时,水分会带走气化工作面大量热量,使得温度急剧下降,导致煤气热值大大降低,甚至迫使气化停止[9]

国内外学者对煤炭地下气化工程的可行性开展研究较多,对水文地质条件作为可行性研究的一部分进行了综述,具体利用测井资料对煤系地层含水性识别及进行含水量预测研究较少。本文在煤岩及煤岩顶底板孔隙结构分析基础上,利用测井资料进行煤系地层含水性识别及含水量预测,为煤炭地下气化选址工作提供一定的技术支撑,对相似井田的煤炭地下气化工程提供借鉴和指导。

1 气化目标煤岩及顶底板岩石孔隙结构分析

1.1 不同煤阶煤岩孔隙结构分析

煤岩孔隙结构复杂,而煤岩孔隙中的水分布与孔隙结构密切相关,同时也是进行煤岩含水量预测的基础。煤岩孔隙中的水包括吸着水(强结合水)、薄膜水(弱结合水)、重力水、毛细水、气态水5类。其中,吸着水和薄膜水都是受分子引力和静电引力作用而吸附于岩石颗粒表面的水,不传递静水压力,统称结合水。重力水和毛细水均可传递静水压力,统称液态水,是煤储层地下水渗流研究的主要对象[10]。气态水随气体流动而流动,并在一定温度、压力条件下与液态水相互转化,保持动平衡[11]。苏联学者霍多特(Ходот,B.B.)将煤孔隙分成大孔( 孔径>1 000 nm )、中孔(孔径100~1 000 nm )、小孔(孔径10~100 nm)和微孔(孔径<10 nm)[12]。其中微孔和小孔在煤储层中所占比例较大,提供了煤层气的吸附空间;中孔和大孔提供了游离气的空间,同时也是煤储层液态水储集的空间[13]

样品核磁共振测试是实验室较为准确进行煤岩孔隙结构分析的手段之一。为了分析不同煤阶煤岩孔隙特征,实验室选取不同煤阶煤岩样品,将样品置于配置好的饱和盐水中,在真空条件下饱和24 h以上进行核磁共振测试,获得饱和水状态下不同煤阶核磁共振T2谱特征分布。由于弛豫机制和弛豫速度的差异[14],不同孔径孔隙中的流体将有不同的观测弛豫速度,出现在T2谱的不同位置上,因此可以用饱和水T2谱表征煤岩孔隙结构,不同煤阶核磁共振T2谱特征分布如图1所示。

由图1可以看出,弛豫时间对应不同的孔径大小,孔径越大,T2谱弛豫时间越长,谱峰面积越大,所代表的孔隙越多。图1(a)中双峰不连续分布,左峰谱峰面积明显大于右峰谱峰面积,微小孔所占比例高;图1(b)中双峰连续分布,微小孔减少,中孔比例增加;图1(c)中三峰连续分布,微小孔更少,中大孔比例增加。煤岩孔隙结构和煤岩组分及煤分子结构差异有关,煤孔隙结构随着煤阶段的不同而变化,随着煤演化程度的加强,大孔受物理压实作用使大孔破碎,水分排出,使得原生孔隙减少[15]。因此,低阶煤的结构松散,孔隙体积大,中、大孔占一定比例;中阶煤大孔隙减少,中、小孔较发育;高阶煤孔隙体积小,微孔占主导地位。

图1 不同煤阶核磁共振T2谱特征分布

1.2 气化目标煤岩孔隙结构分析

气化目标研究区为侏罗系发育西山窑组和八道湾组2套煤层,陆相成煤,面积大、厚度大、发育相对稳定;其中西山窑组煤层埋深在1 500 m以浅,镜质体反射率Ro普遍小于0.6%,煤阶以中低煤阶为主,属褐煤-长焰煤,是气化优势煤种。针对研究区气化煤岩样品进行实验室核磁共振测试,测试结果如图2所示。

图2 测试井煤岩样品核磁共振T2谱特征分布

由图2可以看出,不同样品孔隙度有所差异,导致谱峰幅度高低有所不同,但不同样品孔隙结构基本相似,均为三峰连续分布,与低阶煤孔隙结构一致,可见研究区煤岩为低阶煤。

1.3 气化煤岩顶底板岩石孔隙结构分析

研究区西山窑组煤层顶板岩性以泥岩、碳质泥岩为主。取顶板6块岩样在实验室做饱和水核磁共振实验,获得的T2谱如图3所示。

图3 测试井顶板岩石核磁共振T2谱特征分布

由图3可以看出,6块岩样的核磁共振T2谱形态基本一致,均呈单峰分布,谱峰位置在0.01~0.1 ms 之间,以微小孔为主,中大孔不发育,不含可动水。

研究区西山窑组煤层底板岩性以泥质粉砂岩或细砂岩为主。取底板9块岩样在实验室做饱和水核磁共振实验,获得的T2谱如图4所示。

图4 测试井底板岩石核磁共振T2谱特征分布

由图4可以看出,底板岩样的核磁共振T2谱图形与顶板岩样相比有明显不同,首先T2谱图形连续不间断分布,从1号-9号样品,谱图逐渐宽缓,表明其孔隙结构逐渐发生变化;1号样和2号样谱图基本重叠,窄单峰明显,表明这2个样品和顶板岩性基本一致,为泥岩特征;3号样和4号样谱图基本重叠,谱峰分布比1号样和2号样靠右,表明泥质含量有所减少,砂质含量有所增加;5号~9号样,谱峰更加靠右,谱图右边信号逐渐增多,表明砂质含量更多,孔隙结构变好,微小孔减少,中大孔增多,可动水含量增加。

2 含水性识别及含水量预测

2.1 煤岩含水量预测

由上文煤岩孔隙结构分析可见,研究区煤岩为低阶煤,中大孔占一定比例,中孔和大孔提供了游离气的储集空间,同时也是煤储层液态水储集的空间。要准确预测煤岩含水量,首先需要确定游离气含量。本文收集整理了70余块次低阶煤煤芯实验室含气量测试数据,统计其含气量与深度关系见图5。

由图5可以看出,煤岩含气量与深度相关关系并不明显,深度在1 300 m以内,低阶煤空气干燥基含气量基本小于7.0 cm3/g。研究区测试井气化煤层在地层中埋深约1 000 m,根据现场试井资料确定的地层压力梯度为0.912,计算气化煤层深度地层压力约为9 MPa。在实验室对研究区测试井煤芯进行等温吸附实验结果表明,实验压力为9 Mpa时吸附含气量为9.2 cm3/g,如图6所示,远大于实验室测试的低阶煤总含气量7.0 cm3/g,说明研究区测试井煤储层在原始状态下,煤层气处于吸附状态,孔隙中游离气含量很少,可以认为煤储层孔隙都是被地层水所填充,即煤储层含水饱和度为100%。

图5 煤岩含气量与深度关系

图6 测试井等温吸附实验测试

预测煤层含水量,需要考虑煤层中的全部水,包括结合水和液态水;结合水主要分布在孔隙直径小于100 nm 的微小孔中,液态水主要分布在大于100 nm 的大孔和裂隙中[11]。核磁共振测井是一种可以准确测量包括微小孔和大孔在内的煤层总孔隙度的测井方法,总孔隙度为岩石样品中所有孔隙空间体积与该岩样总体积的比值。煤层的非均质性可以用孔隙度进行表征,随着深度变化,孔隙度发生变化,核磁共振测井可以提供一条随深度变化的连续的总孔隙度曲线。假设煤层厚度为Hm,按测井采样点计数为0.125 m/点,则每个厚度为0.125 m的煤层单元其孔隙度均不同。本文研究区煤层孔隙里全部充填水,通过容积法可计算单位面积的煤层总含水量,见式(1):

(1)

式中:Gm——单位面积的煤层总含水量,m3

Hm——煤层厚度,m;

j——采样点,无量纲;

A——煤层面积,设为1 m2

Φj——第j个0.125 m厚度煤层总孔隙度, %。

2.2 煤岩顶底板岩层含水性识别及含水量预测

2.2.1 含水性识别

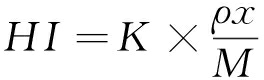
中子测井能够测量地层对中子的减速能力,测量结果主要反映地层的含氢量。为了方便,在中子测井中把淡水的含氢量规定为一个单位,用它来衡量地层中所有其它岩石或矿物的含氢量。1 cm3的任何岩石或矿物中氢核数与同样体积的淡水中氢核数的比值,称为该岩石或矿物的含氢指数,用HI表示[16]。按此规定,淡水(纯水)含氢指数为1,而任何其它物质的含氢指数将与其单位体积内的氢核数成正比,即:

(2)

式中:HI——含氢指数,无量纲;

K——比例常数,无量纲;

ρ——介质密度,g/cm3

x——介质分子中的氢原子数,无量纲;

M——介质的分子量,无量纲。

补偿中子孔隙度测井是在贴井壁的滑板上安装同位素中子源和远、近2个热中子探测器,用远、近探测器计数率比值来测量地层含氢指数的一种测井方法[17],其测量的是地层中所有氢的含量响应,包括地层孔隙可动流体中氢的含量、束缚水中氢的含量以及岩石结晶水中氢的含量响应[18]。对于气化煤岩顶底板储层,考虑到储层内可能含水含气的特征,按体积模型计算储层总含水孔隙度CN见式(3)和式(4):

(4)

式中:CN——储层总含水孔隙度, %;

Hma——岩石骨架含氢指数,无量纲;

φ——地层孔隙度, %;

Hw——储层孔隙中水的含氢指数,无量纲;

Sw——孔隙中含水饱和度, %;

Hg——储层孔隙中天然气的含氢指数,无量纲;

φw——地层含水孔隙度, %。

假设储层岩性很纯,泥质含量很少,不考虑泥质的影响,储层骨架含氢指数为零(Hma=0),储层中水的含氢指数接近于1(Hw≈1),储层中天然气的含氢指数很小也近似于零(Hg≈0),则式(3)结合式(4)可以变换为式(5),即补偿中子测井曲线测量数值约等于储层总含水孔隙度。

(5)

对于泥岩而言,地层中主要是束缚水,补偿中子测井测量的是束缚水孔隙度。自然伽马测井能够反映储层泥质含量,理论上自然伽马曲线数值高低与储层泥质含量多少呈线性相关关系。因此选取与目标储层相邻近的纯泥岩层作为标志层,读取其补偿中子测井曲线数值(CN泥岩)和自然伽马测井曲线数值(GR泥岩),依据表征泥质含量的自然伽马曲线,通过线性关系计算,构建目标储层束缚水孔隙度(CN束缚),见式(6):

(6)

式中:CN束缚——储层束缚水孔隙度, %;

GR——储层自然伽马测井曲线数值,API;

GR泥岩——纯泥岩层自然伽马测井曲线数值,API;

CN泥岩——纯泥岩层补偿中子测井曲线数值, %。

储层可动水孔隙度用CC表示,为储层总含水孔隙度CN和储层束缚水孔隙度CN束缚二者差值,见式(7):

CC=CN-CN束缚

(7)

式中:CC——储层可动水孔隙度, %。

通过计算,若CC>0,说明储层中含有可动水,且数值越大可动水体积越大,由此进行储层含水性识别。

2.2.2 含水量预测

评价煤岩顶底板储层含水量,首先通过测井岩性及物性资料判别储层有效性,对于无效储层,微小孔中所含可动水量很少,不予考虑;对于有效储层,重点考虑储集于中大孔中的可动水,核磁共振测井可提供反映中大孔的有效孔隙度。同时需要考虑到储层可能含气或是含油,必须先准确计算储层含水饱和度,方可准确预测储层含水量。本文在研究区取煤岩顶底板岩样20块,以阿尔奇(Archie)公式为基础,通过取芯样品的岩电实验测量,计算出顶底板储层的含水饱和度。为了预测煤岩顶底板储层含水量,利用容积法计算单位面积的储层总含水量GC,见式(8):

(8)

式中:Gc——单位面积的储层总含水量,m3

Hc——储层厚度,m;

A——储层面积,设为1 m2

PORj——第j个0.125 m厚度储层的有效孔隙度, %;

Swj——第j个0.125 m厚度储层的含水饱和度, %。

3 应用实例

应用煤系地层含水性识别及含水量预测测井评价方法对研究区测试井进行评价,评价结果如图7所示。

图7 测试井煤系地层含水性识别及含水量预测测井评价成果

由图7可见,第1列为地层深度;第2列为岩性测井曲线;第3列为电阻率测井曲线;第4列为孔隙度测井曲线;第5列为核磁共振测井标准T2谱,可以评价煤层及顶底板储层孔隙结构;第6列为可动水孔隙度曲线,可以对顶底板砂岩进行含水性识别;第7列为煤层及顶底板含水量曲线,可以对含水量进行预测;第8列为岩性剖面;第9列为测井解释结论。从第5列核磁共振标准T2谱可见,煤层三峰连续分布,第1个谱峰幅度较高,微孔所占比例较大,第2个谱峰和第3个谱峰幅度较低,中大孔所占比例虽然小于微孔,但也比较发育,与低阶煤孔隙结构一致,可以判定研究区发育为低阶煤。应用本文研究方法对煤层进行含水量预测,煤层单位面积内累积含水量约为22 m3;煤层底板发育一套砂岩,从核磁共振标准T2谱可知,该层基本呈单峰分布,谱峰靠后,孔隙结构好,以中大孔为主,孔隙内束缚流体少,以可动流体为主;应用本文研究方法对该层进行含水性识别,计算可动水孔隙度为5%~10%,结合岩性曲线、电阻率曲线及孔隙度曲线,认为煤层底板储层为水层,单位面积内累积含水量约为17 m3。煤层顶板为大套厚泥岩分布,从核磁共振标准T2谱可知,泥岩谱峰靠左,基本以束缚流体为主,可动水很少。

4 结论

(1)通过煤岩核磁共振实验数据分析,明确了变质程度较高的煤(高阶煤)基本以微小孔隙为主;变质程度较低的煤(中阶煤)微小孔减少,中孔比例增加;低阶煤(褐煤、长焰煤、不黏煤、弱黏煤)微小孔更少,中大孔比例增加;研究区煤岩为低阶煤典型特征,为煤炭地下气化优势煤岩。

(2)研究区煤岩顶板岩层孔隙基本呈微小孔分布,泥岩特征,不含可动水;煤岩底板孔隙结构好,束缚流体少,可动水含量高。

(3)利用实验室煤芯等温吸附实验和含气量测试结果综合判定研究区煤岩煤层气处于吸附状态,孔隙中游离气含量很少,认为煤储层孔隙都是被地层水填充,通过容积法计算煤岩含水体积,预测煤岩含水量;利用补偿中子测井测量原理,通过体积模型计算煤岩底板储层可动水体积,可以较为准确判断研究区煤岩底板含水性;利用实验室岩石实验确定岩电参数,准确求取底板岩层含水饱和度,通过容积法计算储层含水体积,从而预测煤岩底板含水量。

参考文献:

[1] 秦勇,王作棠,韩磊.煤炭地下气化中的地质问题[J].煤炭学报,2019,44(8):2516-2530.

[2] 梁杰,王喆,梁鲲,等.煤炭地下气化技术进展与工程科技[J].煤炭学报,2020, 45(1):393-402.

[3] 梁杰.煤炭地下气化技术进展[J].煤炭工程,2017,49(8):1-4, 8.

[4] PERKINS C,SAHAJWALLA V.Modelling of heat and mass trans-port phenomena and chemical reaction in underground coal gasifi-cation[J].Chemical Engineering Research and Design,2007,85(3):329-343.

[5] KHADSE A,QAYYUMI M,MAHAJANI S,et al.Underground coal gasification:a new clean coal utilization technique for India[J].Energy,2007,32(11):2061-2071.

[6] 杨兰和,梁杰,余力,等.徐州马庄煤矿煤炭地下气化试验研究[J].煤炭学报,2000,25(1):88-92.

[7] 邹才能,陈艳鹏,孔令峰,等.煤炭地下气化及对中国天然气发展的战略意义[J].石油勘探与开发,2019,46(2):195-204.

[8] 陈石义,李乐忠,崔景云,等.煤炭地下气化(UCG)技术现状及产业发展分析[J].资源与产业,2014,16(5):129-135.

[9] 邢铁寰,梁杰.地下气化炉运行状态监测系统:中国,CN1673487[P]. 2005-09-28.

[10] 周志成,王念喜,段春生.煤层水在煤层气勘探开发中的作用 [J].天然气工业. 1999,19(4):36-38+35.

[11] 张松航 ,唐书恒,孟尚志,等.煤储层含水性及其对煤层气产出的控制机理[J].煤炭学报,2022.

[12] 汤达祯,王生维,金振奎,等.煤储层物性控制机理及有利储层预测方法[M].北京:科学出版社,2010.

[13] 孙斌,杨敏芳,杨青,等. 准噶尔盆地深部煤层气赋存状态分析[J].煤炭学报,2017,42(1):195-202.

[14] 肖立志.核磁共振成像测井与岩石核磁共振及其应用[M].北京:科学出版社,1998.

[15] RICE D D,FLORES R M.Controls of bacterial gas ac-cumulations in thick Tertiary coal beds and adjacent channel sandstones, Powder River Basin, Wyoming and Montana[J].AAPG Bulletin,1991(75):661.

[16] 黄隆基.放射性测井原理[M].北京:石油工业出版社,1996.

[17] 洪有密.测井原理与综合解释[M].东营:中国石油大学出版社,2008.

[18] 胡年友,韩桂芹,黄大琴,等.补偿中子测井估计油气流体密度[J].测井技术,2004,28(3):209-213.

Research on logging evaluation method for water content identification and water content prediction of coal measure strata for underground coal gasification

HAO Liping, GUO Xiangguang, MA Jianpo, WANG Wei, WU Cunyan, SHANG Yong, HU Bo

(Tianjin Branch of China National Petroleum Corporation Logging Co., Ltd., Binhai New Area, Tianjin 300280, China)

Abstract Accurately distinguishing and predicting the water content of target coal measure strata for coal gasification plays an important role in the success of underground coal gasification project. Through the rock physical experiments of coal cores and rock samples from roof and floor in the laboratory, the pore structures of target coal rocks for coal gasification and rocks from roof and floor are analyzed. The results of isothermal adsorption experiment of coal cores and gas content test in the laboratory comprehensively judged that the coal seam gas in the test area is in the adsorption state, and the pores of coal reservoirs are filled by formation water; the water-bearing property of coal rock floor in the test area is predicted by volume calculation and water content prediction of the water-bearing coal rock by volume method, the compensated neutron logging principle and the movable water volume calculation by the volume model. The rock electrical parameters are determined by the laboratory core experiment to accurately calculate the water saturation of the floor rock, and the water content of the coal rock floor is predicted through reservoir water content volume calculated by the volume method. The water-bearing property of the target coal measure strata is identified and its water content is predicted by logging method, which provides logging technical support for the underground coal gasification project.

Key words underground coal gasification; coal measure strata; roof and floor reservoir; logging method; water content prediction

移动扫码阅读

引用格式:郝丽萍,郭祥光,马建坡,等. 煤炭地下气化煤系地层含水性识别及含水量预测测井评价方法[J].中国煤炭,2022,48(7):27-33.doi:10.19880/j.cnki.ccm.2022.07.005

HAO Liping, GUO Xiangguang, MA Jianpo,et al. Research on logging evaluation method for water content identification and water content prediction of coal measure strata for underground coal gasification [J].China Coal,2022,48(7):27-33.doi:10.19880/j.cnki.ccm.2022.07.005

基金项目:中国石油天然气股份有限公司重大科技攻关项目(2019E-25)

作者简介:郝丽萍(1974-),女,河北蔚县人,高级工程师,主要从事应用地球物理研究。E-mail:HaoLP@cnpc.com.cn

中图分类号 TD84

文献标志码 A

(责任编辑 路 强)

(责任编辑:admin)