新煤网移动版

主页 > 技术资料 > 科技论文

中厚煤层沿空留巷端头顶板断裂位置及巷旁支护强度研究

★ 科技引领 ★

中厚煤层沿空留巷端头顶板断裂位置及巷旁支护强度研究

刘跃东1,2

(1.中煤科工开采研究院有限公司,北京市朝阳区,100013;2.煤炭科学研究总院开采研究分院,北京市朝阳区,100013)

摘 要 针对沿空留巷端头顶板断裂位置不可见、很大程度影响巷旁支护强度计算的问题,围绕浅埋深中厚煤层工作面端头垮落特征和来压规律,采用理论分析与现场实测相结合的研究方法确定顶板断裂位置,并得出巷旁支护载荷及其强度;研究结果表明:通过“O-X”理论,计算得出破断位置在实体煤柱侧2.4 m,实测破断位置在实体煤柱侧2~3 m之间;根据理论计算墩柱载荷为7 473 kN;现场实测墩柱受力出现“增-减-增”3个阶段,最大载荷超过8 500 kN。

关键词 沿空留巷;板断裂;巷旁支护;钻孔应力计;中厚煤层

0 引言

沿空留巷是指采用一定支护技术,沿上一个工作面采空区边缘保留原有巷道,供下一个工作面复用的一种无煤柱开采方式[1]。作为煤矿绿色开采的一种方式,沿空留巷技术已经在薄及中厚煤层大量应用。其中,留巷的成败关键在于巷旁充填体的选择。巷旁充填体最初采用木垛、单体支柱、矸石墙等被动支护方式[2],这些方式无法控制顶板岩层移动,尤其当巷道高度变大时,此类型巷旁支护存在施工难度大、稳定性差、支撑能力弱等问题,因此限制了沿空留巷技术在中厚煤层中的推广应用。目前巷旁支护主要有柔模混凝土墙、柔模高水墙、钢管混凝土墩柱、套管高水墩柱等主动支护方式[3-6],这些方式机械化水平高、施工速度快、留巷效果好。从巷旁充填体结构而言,混凝土墙体由不同配比的C20~C40混凝土构成主体结构,外侧对拉锚杆和钢筋梯子梁等护表构件形成外约束,高水墙体采用水灰比3∶1~1.5∶1的高水材料配制而成,墩柱采用钢管和套管等外约束构件形成外部结构。

巷旁充填体强度的理论依据目前主要有分离岩块力学模型、顶板倾斜力学模型、矩形叠加层板弯矩破坏力学模型、煤体极限平衡梁力学模型、弹性薄板力学模型等[7-11]。这些模型中的核心参数均与顶板断裂线位置有关,因此学者对其进行了相关研究。

王红胜[12]分析了顶板断裂位置存在的4种情况,通过理论研究和数值模拟证明断裂位置处于巷道顶板上方时,巷旁支护受力最大,顶板受压变形可锚性差。张东升等[13-14]发现采用高强锚杆锚索主动支护与工字钢棚被动支护相比,顶板断裂线向采空区方向偏移,顶煤硬度的增加会实现顶板稳定承载,断裂线偏向巷道内。文志杰等[15]通过“断裂拱”和“应力拱”对充填体和煤体的受力时空特征分析,提出了煤体上方“内应力场”和“外应力场”的力学概念。柏建彪等[16]在传统顶板“O-X”断裂基础上,得出了沿空留巷顶板“关键块B”的断裂位置和跨度。陈勇[17]分析了沿空留巷全生命周期内煤柱的受力和变形特点,提出顶板活动经历3个阶段,并根据“关键块B”建立相应关键块稳定模型。张农等[18]对不同阶段采取分区治理手段,保证围岩“大-小结构”稳定,其中小结构的范围与断裂线位置密切相关。殷帅峰等[19]采用无巷旁充填支护对沿空留巷顶板断裂位置力学解析和数值计算,以剪应力最大确定断裂位置。韩昌良等[20]采用爆破方式人工干预顶板断裂位置,降低悬臂长度、减小附加载荷。

上述研究对顶板断裂位置研究具有重要意义,但由于顶板断裂位置不可见,大多采用理论分析、相似模拟和数值模拟等手段,现场通过打钻方法确定断裂线位置,施工难度大、观测效果差。鉴于此,笔者以何家塔煤矿浅埋深中厚煤层为例,通过煤柱安设钻孔应力计方式,反演顶板破裂过程中煤柱受力过程,从中确定顶板断裂位置,进而得出合理巷旁支护强度。

1 工作面留巷情况介绍

何家塔煤矿主采煤层为5-2煤层,埋深86~245 m,平均156 m,煤厚2.6~3.6 m,平均煤厚3.2 m,煤层倾角1°~5°,直接顶为13.5 m厚的粉砂岩,零星分布粉砂岩、中粒砂岩,直接底为10 m厚的砂质泥岩,遇水强度降低,基本顶为中粒砂岩、砂质泥岩等中厚层状稳定岩层。工作面顶底板柱状见图1。

图1 顶底板柱状

留巷巷道为50108工作面运输巷,宽度5.5 m,高度3.2 m,在工作面侧打设直径800 mm混凝土墩柱,间距1.3 m,巷道支护断面见图2。

图2 50108工作面运输巷支护断面

2 留巷顶板断裂演化模型

根据地质资料,何家塔煤矿50108工作面直接顶属于浅埋、厚硬顶板,当其来压破断后,断裂位置一般处于巷道实体煤柱上方,同时其悬臂长度较长,会出现分次断裂情况,需对其破断演化过程进行分析。

2.1 工作面超前来压

工作面来压阶段为沿空留巷第二阶段,第一阶段为掘巷阶段,巷道变形不大,变形量可忽略。受超前支承压力的作用,沿空留巷巷道煤柱侧压力开始增加,此时未超过煤体极限强度,煤柱侧应力峰值不断增加,见图3(a)。

2.2 工作面滞后一次断裂

随着工作面不断推进,顶板开始弯曲下沉,形成三边固支、一边悬空的薄板,在滞后工作面周期来压步距内,发生“O-X”破断,由于顶板较为坚硬,顶板断裂的位置位于实体煤柱侧,此时煤壁已经发生屈服破坏,进入塑性区并产生“内应力场”,煤柱的压力会发生一次突降。根据悬臂梁理论,在悬臂铰结点处力矩为0,此时对下方煤柱的压力最低。因此,压力下降的位置为顶板断裂的位置,见图3(b),根据破断后形成的“弧形三角块”,可根据式(1)计算出关键块B的结构参数:

(1)

式中:S1——内应力场,m;

h——采高,取3.2 m;

A——侧压系数,取0.3;

K——应力集中系数,取2;

γ——上覆岩层平均体积力,25 MN/m3

M——埋深,取156 m;

c0——煤体内聚力,取0.5 MPa;

φ0——煤体内摩擦角,取27°;

P——煤帮支护强度,取0.15 MPa。

根据计算可得,内应力场S1大小为2.4 m。根据现场经验,关键块B的侧向长度L近似等于周期来压步距,何家塔工作面实测周期来压步距为11~15 m,因此L大小介于11~15 m。

2.3 工作面滞后二次断裂

在工作面发生周期性破断后,采空区矸石、巷旁墩柱、巷内支护、煤体共同承担顶板压力。当巷旁支护体强度较大时,顶板主要为“限定变形”,当支护体强度较小时,顶板主要为“给定变形”。在更高层位岩层垮落压力加载下,基本顶关键块B会发生断裂,高强高刚度巷旁充填体支撑会起到切顶作用。此时关键块B的长度减小,破断为B1和B2,煤柱的载荷会发生二次降低。因此,对煤柱压力进行监测,可得出顶板二次断裂的时机和位置见图3(c)。

注: 顶板发生“O-X”破断,破断成A、B、C三块。A块处于实体煤柱上方,B快处于巷道上方,C块处于采空区上方。
S1为内应力场,S2为应力升高区,S3为应力降低区
图3 留巷顶板断裂结构

3 巷旁支护载荷与强度计算

3.1 巷旁支护阻力计算

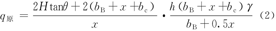
传统的“分离岩块法”计算巷旁载荷,表示沿空留巷巷旁充填体上方4倍采高范围内分离岩块的重量构成了巷旁充填体荷载,更高层位没有力的传递。其优点为参数少,在薄及中厚煤层应用较广,缺点为假设断裂位置在煤壁侧,未考虑断裂位置和实体煤柱的支撑。根据沿空留巷力学模型(图4),可由式(2)计算出实际载荷:

图4 沿空留巷力学模型

式中:q——传统巷旁支护强度,kN/m;

H——直接顶厚度,一般为4倍采高,m;

θ——破断角,取26°;

bB——留巷后宽度,取4.7 m;

x——巷旁支护宽度,取0.8 m;

bc——悬顶长度,取4.5 m;

h——煤层厚度,m;

γ——上覆岩层平均体积力,取25 MN/m3

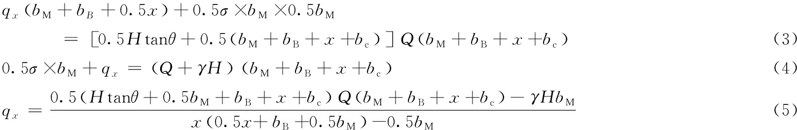
考虑实体煤柱支撑,根据力矩和力平衡,建立的方程见式(3)、式(4)和式(5):

式中:qx——改进巷旁支护强度,kN/m;

bM——断裂线进入实体煤柱位置,m;

σ——煤体承载强度,kN/m2

Q——上方岩层对分离岩块的载荷,kN/m2

根据上述公式,当bM为0时,Qγ×4h时,上述推导公式(4)和传统“分离岩块法”公式(1)计算的结果一致。

根据理论计算,qx为4 790 kN/m,巷旁墩柱为不连续支护,墩柱中对中距离为1.3 m,因此墩柱载荷为6 227 kN,当考虑动载1.2倍系数后,需要承担载荷7 473 kN。

3.2 巷旁支护强度实测

为了测试墩柱的极限强度,制作直径800 mm、高度3 000 mm的混凝土墩柱,主体结构C30等级混凝土,外部结构采用高强约束套管,在煤炭科学研究总院采育园区国家重点实验室进行1∶1测试(图5),试验机压力可达20 000 kN,压力机采用位移加载方式,位移控制速率为10 mm/min,墩柱受力与变形曲线如图6所示。

图5 墩柱试验

图6 墩柱受力与变形曲线

从图6可以看出,墩柱加载会呈现“全应力应变”曲线,尤其是存在峰后残余强度,这与传统混凝土呈现脆性破坏不同,主要原因为外部采用刚性套管约束,保证了残余承载能力。当变形为46 mm时,强度达到8 030 kN,此时内部出现破坏,但整体性较好。在峰后段,出现套管变皱、顶部涨大现象,主要与顶板应力集中有关,中下部并未发生破坏。因此,后续顶部应该加强设计,最终墩柱残余变形达160 mm。

4 留巷顶板压力现场监测

4.1 煤柱应力计监测

为了监测煤柱侧压力变化,在不同位置、不同深度安装钻孔应力计,在距工作面1 900 m和1 850 m位置处安装不同深度(3 m、6 m、9 m、11 m)钻孔应力计,每个钻孔间距为2 m,在距工作面1 800 m和1 750 m位置处安装不同深度(2 m、5 m、8 m、11 m)钻孔应力计,每个钻孔间距也为2 m。工作面推进方向为1 900 m→1 750 m。钻孔应力计安装如图7所示,不同位置钻孔应力计受力如图8所示。

图7 钻孔应力计安装

图8 不同位置钻孔应力计受力情况

图8中横坐标数值负值代表滞后工作面,正值代表超前工作面。由于9 m、11 m深度的钻孔应力计应力变化不大,因此不重点分析。从图8可以得出以下结论。

(1)受超前支承压力的作用,沿空留巷巷道煤柱侧压力从25 m处开始增加,工作面超前压力并不大,应力上升较慢,主要影响阶段为滞后段。距工作面1 900 m位置处由于处在7联巷交叉口,受超前影响较早、较大,在超前工作面70 m处,3 m深度的钻孔应力计有应力增加。

(2)除距工作面1 900 m位置处钻孔外,所有3 m深度的钻孔来压系数均大于6 m深度的钻孔来压,3 m位置处应作为支护的主控区。

(3)以距工作面1 900 m位置处钻孔为例,3 m钻孔应力计在滞后工作面6 m出现应力第一次下降,表明端头顶板在煤柱3 m处发生断裂;3 m、9 m钻孔应力计在滞后工作面43 m处应力第二次下降,表明发生二次断裂,两次断裂间距37 m。

以距工作面1 800 m位置处钻孔为例,煤柱2 m深度的钻孔应力计在滞后工作面5 m处出现应力第1次下降,表明端头顶板在2 m处发生断裂;2 m、5 m、9 m深度的钻孔应力计在滞后工作面46 m处应力第2次下降,表明发生2次断裂,2次断裂间距41 m。

以距工作面1 750 m位置处钻孔为例,煤柱2 m深度的钻孔应力计在滞后工作面0 m处出现应力第1次下降,表明端头顶板在2 m处发生断裂;2 m深度的钻孔应力计在滞后工作面32 m处应力第2次下降,表明发生2次断裂,2次断裂间距32 m。

对比3 m和2 m深度的钻孔应力计变化规律,说明距离煤壁帮越近,滞后压力影响越大,产生破坏的时机越提前。

(4)3 m和2 m深度的钻孔应力计在应力降低后,应力会继续上升,说明煤柱进入塑性区,依然可以承载。一方面与何家塔煤矿煤体较为坚硬有关,在加卸载作用下,在锚杆等护表构件侧向约束作用下,煤体即使破碎仍能保持块状,实现有效承载。另一方面与整体支护系统有效有关,巷内强力锚杆锚索、单元支架、巷旁强力墩柱,共同组成稳定性较高的支护系统。

(5)根据钻孔应力计后续监测,应力在巷道150 m后开始稳定,说明顶板活动稳定范围在滞后工作面150 m,按照10 m/d推进度计算,滞后影响期为15 d。

4.2 墩柱应力计监测

为了证明顶板的分次断裂,对巷旁支护墩柱的受力进行大量监测,现场采用KSE-II型测力计,为了保护油压枕,加工保护装置并置于墩柱顶部和顶板之间,在混凝土泵注过程中完成安装。现对主要出现的2种受力形式进行分析,如图9所示。

图9 现场墩柱受力曲线

(1)混凝土墩柱经历了“增-减-增”3个阶段,墩柱的受力与顶板的活动密切相关。图9(a)的压力曲线出现次数较多,根据顶板的活动规律,呈现相应的受力特征,图9(b)压力曲线出现次数较少,分析可能原因为施工接顶效果较差,前期由相邻接顶效果好墩柱承载,后期相邻墩柱产生让压后,开始起主要承载功能。

(2)以距工作面1 815 m位置处墩柱为例,在滞后工作面39 m处达到峰值应力7 000 kN,随后压力下降至4 750 kN。说明在39 m处,上覆岩层的载荷导致端头顶板的二次断裂。由于墩柱滞后打设,未能捕捉到第一次断裂过程。

(3)以距工作面1 840 m位置处墩柱为例,在滞后工作面120 m处墩柱达到峰值应力3 000 kN,随后压力下降至1 850 kN,说明在120 m处,更高层位的顶板仍会破断,破断后顶板悬臂梁长度降低,墩柱受力降低。最终压力达到8 500 kN,现场墩柱并未破坏,说明承载能力至少在8 500 kN以上。

5 结论

结合何家塔煤矿50108工作面顶板结构,根据理论分析和现场实测,确定了沿空留巷端头顶板断裂位置,得出了以下沿空留巷规律:

(1)通过“O-X”理论,计算得出破断位置在实体煤柱侧2.4 m,现场以钻孔应力计读数降低的位置作为破断位置,实测破断位置在2~3 m;

(2)根据理论计算墩柱载荷为7 473 kN,实验室1∶1比例测试强度为8 030 kN,在刚性约束套管作用下,墩柱呈现塑性破坏特征;

(3)根据煤柱应力计2次读数降低,反演顶板2次破断过程,通过巷旁支护墩柱应力变化验证此过程,破断间距为32~41 m;

(4)巷旁墩柱经历2~3次应力变化,当墩柱强度快速上升时,能够有效承担顶板压力,顶板破断回弹后,墩柱压力也发生下降;在滞后工作面120 m处,更高层位的顶板仍会破断,同样会引起压力的下降。

参考文献:

[1] 孙恒虎, 赵炳利. 沿空留巷的理论与实践[M]. 北京:煤炭工业出版社,1993.

[2] 李晋平. 综放沿空留巷技术及其在潞安矿区的应用[D]. 北京:煤炭科学研究总院,2005.

[3] 王晓利.煤炭绿色完全开采不再是梦[J].西安科技大学学报,2021,41(2):184.

[4] 冯光明, 王成真, 李凤凯,等. 超高水材料开放式充填开采研究[J]. 采矿与安全工程学报,2010,27(4):453-457.

[5] 王军,高延法,何晓升,等. 沿空留巷巷旁支护参数分析与钢管混凝土墩柱支护技术研究[J]. 采矿与安全工程学报, 2015,32(6):943-949.

[6] 康红普,吕华文,王东攀,等. 一种回采工作面“支-卸”组合沿空留巷巷道:CN210509191U[P]. 2020.

[7] WHITTAKER B N, SINGH R N . Design and stability of pillars in longwall mining[J]. Mining Engineer London, 1979,13:68-72.

[8] SMART B, DAVIES D O , SOMERVILLE J . Application of the roof-strata-tilt approach to pack design in an arch-shaped roadway[J]. Mining Engineering ,1984,144:187-192.

[9] 孙恒虎. 沿空留巷顶板活动机理与支护围岩关系新研究[D]. 徐州:中国矿业大学,1988.

[10] 郭育光,柏建彪. 沿空留巷巷旁充填体主要参数研究[J]. 中国矿业大学学报,1992,21(4):1-11.

[11] 涂敏. 沿空留巷顶板运动与巷旁支护阻力研究[J]. 辽宁工程技术大学学报:自然科学版,1999,18(4):347-351.

[12] 王红胜. 沿空巷道窄帮蠕变特性及其稳定性控制技术研究[D]. 徐州:中国矿业大学,2011.

[13] 张东升,缪协兴,茅献彪. 综放沿空留巷顶板活动规律的模拟分析[J]. 中国矿业大学学报,2001,30(3):261-264.

[14] 张东升,马立强,缪协兴,等. 综放沿空留巷围岩变形影响因素的分析[J]. 中国矿业大学学报,2006,35(1):1-6.

[15] 文志杰, 蒋宇静, 宋振骐,等. 沿空留巷围岩结构灾变系统及控制力学模型研究[J]. 湖南科技大学学报:自然科学版, 2011, 26(3):12-16.

[16] 柏建彪,周华强,侯朝炯,等. 沿空留巷巷旁支护技术的发展[J]. 中国矿业大学学报,2004,33(2):183-186.

[17] 陈勇. 沿空留巷围岩结构运动稳定机理与控制研究[D]. 徐州:中国矿业大学,2012.

[18] 张农,陈红,陈瑶.千米深井高地压软岩巷道沿空留巷工程案例[J]. 煤炭学报,2015,40(3): 494-501

[19] 殷帅峰,石建军,冯吉成,等.无巷旁充填支护沿空留巷顶板断裂位置研究[J].煤炭科学技术,2019,47(1):193-198.

[20] 韩昌良,张农,阚甲广,等.沿空留巷“卸压-锚固”双重主动控制机理与应用[J].煤炭学报,2017,42(S2):323-330.

Study on the fracture position of end roof and the support strength of roadway side in gob-side entry retaining in medium-thick coal seam

LIU Yuedong1,2

(1. CCTEG Coal Mining Research Institute, Chaoyang, Beijing 100013, China; 2. Coal Mining Research Branch of China Coal Research Institute, Chaoyang, Beijing 100013, China)

Abstract The uncertain roof fracture position at the end of the gob-side entry retaining greatly affects the calculation of support strength of the roadway side. In view of the problem, according to the roof caving characteristics and pressure law of the end of the working face in the shallow-buried and medium-thick coal seam, the roof fracture position was determined by combination methods of theoretical analysis and field measurement, and the support load and strength of the roadway side were obtained. The research results showed that the breaking position was calculated as 2.4 m from the side of the solid coal pillar through the "O-X" theory, while the field measured breaking position was between 2-3 m from the side of solid coal pillar; the theoretically calculated pier column load was 7 473 kN, while the stress of the pier column measured on site showed three stages of increase, decrease and increase, and the maximum load exceeded 8 500 kN.

Key words gob-side entry retaining; roof fracture; roadway side support; borehole stress meter;medium-thick coal seam

移动扫码阅读

基金项目:中煤科工开采研究院有限公司“科技创新基金”资助项目(KCYJY-2021-QN-01);天地科技开采设计事业部“科技创新基金”资助项目(KJ-2018-TDKCZL-01)

作者简介:刘跃东(1990-),男,山西宁武人,助理研究员,博士,主要从事沿空留巷与岩石力学研究工作。E-mail:812774414@qq.com

引用格式:刘跃东.中厚煤层沿空留巷端头顶板断裂位置及巷旁支护强度研究[J].中国煤炭,2022,48(5):33-40.doi:10.19880/j.cnki.ccm.2022.05.007

LIU Yuedong. Study on the fracture position of end roof and the support strength of roadway side in gob-side entry retaining in medium-thick coal seam[J].China Coal,2022,48(5):33-40.doi:10.19880/j.cnki.ccm.2022.05.007

中图分类号 TD713

文献标志码 A

(责任编辑 路 强)

(责任编辑:admin)